Abstract
Whiteflies greatly contribute to low yields and quality in tomato production. Continuous use of synthetic pesticides leads to whiteflies developing resistance to these pesticides. This research aimed at promoting the use of rabbit urine as a biopesticide against whiteflies in tomato production. Although rabbit urine is been used as a biopesticide against different pests, the best concentration to control whiteflies in tomato production is unknown. Six treatments compared in the two experiments of this study included: 2 L rabbit urine : 9 L water; 2 L rabbit urine : 6 L water; 2 L rabbit urine : 3 L water; 2 L rabbit urine : 0 L water; 0 L rabbit urine : 2 L water, and 20 mL Duduthrin 1.75EC : 20 L water. The first experiment was conducted in a randomized complete block design with six treatments and four blocks to investigate the effects of rabbit urine on the control of whitefly eggs, nymphs, and adults. The second experiment was conducted in a completely randomized design to determine the effect of rabbit urine on the bioactivity of adult whiteflies. Results indicated that plots treated with rabbit urine foliar spray registered reduced populations of whitefly eggs, nymphs, and adults, and lower LT50 values of repelling and killing compared to the negative control (0 L rabbit urine : 2 L water). However, a high ratio of rabbit urine caused significant scorching to tomato leaves. A solution of 2 L rabbit urine : 6 L water optimally controls whiteflies without scorching the plant foliage. Rabbit urine has both repelling and killing effects on whiteflies. In the future, further research can be conducted to investigate the effect of rabbit urine on populations of other important insect pests of tomato.
1. Introduction
Tomato (Solanum lycopersicum L.) is the second most-grown vegetable crop in the world after potato [1]. In 2019, the leading tomato producers globally were China (39.40%), India (11.91%), and Turkey (8.05%) [2]. The demand for tomatoes is rapidly increasing due to the growing consumer awareness of their medicinal and nutritional values [3]. For instance, a tomato contains about 1.98 g of protein, 320 IU of vitamin A, 31 mg of vitamin C, and 1.8 mg of iron in every 100 g edible tomato [4]. Tomato also has lycopene, an antioxidant that protects the body from prostate, lung and breast cancers, and high blood pressure [5].
Biotic constraints like arthropod pests and bacterial, viral, and fungal diseases have a major negative impact on tomato yields in Kenya [6]. Whiteflies are among the major arthropod pests that attack tomato plants [7]. The whiteflies directly damage tomato plants by feeding directly on the plant and sucking phloem sap, hence weakening the plant and causing leaf and fruit spotting [8]. These pests also indirectly damage the plant by transmitting viral diseases that cause reduced yields and irregular fruit ripening [9].
Farmers have also opted to use synthetic chemicals such as lambda-cyhalothrin and neonicotinoids (imidacloprid and thiamethoxam) against whiteflies. However, the continued use of these synthetic pesticides has led to resistance development by whiteflies to the chemicals. This has therefore rendered whitefly chemical control ineffective [10]. Moreover, these chemicals have harmful effects on the natural enemies of whiteflies, human health, and the environment [11]. Breeders have also developed virus-tolerant tomato genotypes. However, these genotypes have become both unavailable and ineffective [12]. Although biological control of whiteflies in greenhouse tomato production is well-established, its efficacy under open field conditions is reduced and unreliable, hence unprofitable [13]. An increased number of necrotic rings was observed on tomato plants treated with parasitic wasps like Eretmocerus modestus and predatory mirids such as Nesidiocoris tenuis [14].
Farmers in Uganda have been using both human and animal urine to control pests in their farms [15]. Specifically, rabbit urine has been proven by different farmers and researchers to be a biopesticide. For instance, potato farmers in Cameroon have been using rabbit urine to control whiteflies and aphids in their farms [16]. Due to its pungent smell, rabbit urine can repel insect pests [17]. Moreover, ammonia in rabbit urine extirpates the respiratory surfaces of whiteflies, hence killing them [18]. Rabbit urine can be cheaply sourced, hence reducing the cost of controlling whiteflies on vegetables [19].
Rabbit urine is also considered environmentally friendly and nontoxic to human beings and animals [17, 20]. However, there has been a wide knowledge gap on the best dilution level of rabbit urine foliar spray to control whiteflies in tomato production. As a result, different farmers have been using different concentrations of rabbit urine foliar spray on their crops, leading to underuse and overuse of this biopesticide. For instance, different rabbit urine : water ratios used include 2 L : 9 L [21], 2 L : 3 L [22], and 2 L : 6 L (consultation with Kibuku rabbit farm, Nakuru, Kenya). Therefore, the main objective of this study was to investigate the effect of different dilution levels of rabbit urine foliar spray on whitefly control.
2. Materials and Methods
2.1. Plant Material
Tomato cultivar “Anna F1” seeds were sourced from a commercial seed dealer in Nakuru, Kenya, in 2022. Tomato seedlings were raised by a commercial propagator in Nakuru before being transplanted into the plots. “Anna F1” is an indeterminate tomato variety and has been chosen due to its high resistance to Alternaria stem canker, nematodes, verticillium, and fusarium wilts. In addition, it is high-yielding under greenhouse conditions [8].
2.2. Experiments
The study was conducted in two experiments. The first experiment was to investigate the effects of rabbit urine on whitefly control. The second experiment consisted of two efficacy trials to determine the effect of rabbit urine on the bioactivity of adult whiteflies.
2.2.1. Effect of Rabbit Urine on Whitefly Control
The experiment was conducted in two trials. Trial 1 ran from February to July 2022, while trial 2 ran from August 2022 to January 2023. The two trials were conducted at the Horticulture Research and Teaching Field in a high tunnel at Egerton University, Njoro, Kenya. The field lies at a latitude of 0°23 S and longitude 35°35 E in the Lower Highland III Agro-Ecological Zone (LH3) at an altitude of about 2,238 m above sea level. The soils are well-drained Mollic Andosols with a pH of 6.0–6.5 [23].
The study was conducted using a randomized complete block design (RCBD) with six treatments and four replications. The distance from one block to another was 2 m. Each plot measured 2.7 m by 1.5 m. The three inner sides of each plot were boxed with polythene films to prevent interference between plots. The remaining side of each plot facing outside of the greenhouse was left for ventilation and to allow whiteflies to move freely in and out of the plot. This was done in case the treatments used repelled the whiteflies away from the plots. The treatments included: 2 L rabbit urine : 9 L water; 2 L rabbit urine : 6 L water; 2 L rabbit urine : 3 L water; 2 L rabbit urine : 0 L water (pure rabbit urine); 0 L rabbit urine : 2 L water (plain water spray or negative control) and 20 mL Duduthrin 1.75 EC : 20 L water (positive control). The active ingredient of Duduthrin 1.75EC (registration number: PCPB (CR)0481) is 17.5 g/L lambda-cyhalothrin. Six different treatments were randomly allocated to the six plots in each block. In each plot, 10 L of the respective treatment (spray) solution was applied at 7-day intervals, starting when the adult whitefly population reached 15–20 whiteflies per sample plant. The total experimental area measured 34 m by 8 m. Treatment application commenced three weeks after transplanting. The sprays were applied using 20-L knapsack sprayers. Six plants from the middle rows in each plot were randomly selected and tagged for data collection.
(1) Crop Establishment and Maintenance. Diammonium phosphate (D.A.P 18% N, 46% P2O5) fertilizer was incorporated into the soil in every planting hole at a rate of 150 kg/ha (69 kg P2O5/ha) [24]. Uniform-sized tomato seedlings were transplanted when the seedlings were 28 days old at a spacing of 60 cm × 45 cm [8]. Each plot accommodated three rows of tomato plants. Each row had seven tomato plants. The plots were weeded and irrigated whenever necessary.
Top dressing with calcium ammonium nitrate (C.A.N 27% N, 8% Ca) fertilizer was done at a rate of 200 kg/ha (54 kg N/ha) in two equal splits during the vegetative growth stage of the plants. The first split was applied 2 weeks after transplanting. The second split was applied 2 weeks after the first split application [8]. NPK (17 : 17 : 17) fertilizer was also applied in two equal splits at a rate of 200 kg/ha. The first split was applied at the onset of flowering, while the second split was applied 2 weeks after the first split application [24]. The tomato plants were single-stem pruned. At about 35 cm height, the tomato plants were trained to wires running above the plants and parallel to the ground using nylon twine. Weed control was done manually by uprooting.
(2) Data Analysis. Data collected was subjected to analysis of variance (ANOVA) and means of significant treatment separated using Tukey’s honestly significant difference (HSD) Test at a 5% level of significance. Statistical analysis was performed using SAS (Version 9.4; SAS Institute, Cary, NC). The statistical model fitted for this experiment was as follows [25]:i = 1, 2, 3, 4, 5, 6; j = 1, 2, 3, 4, where Yijk is the whitefly population from the kth plot receiving the ith treatment in the jth block, μ is the overall mean, τi is an effect due to the ith treatment, βj is an effect due to the jth block, and εijk is a random error associated with the whitefly population from the kth plot receiving the ith treatment in the jth block.
2.2.2. Effect of Rabbit Urine on the Bioactivity of Adult Whiteflies
Two experiments on the bioactivity of rabbit urine against adult whiteflies were conducted. The first experiment was set up to determine the efficacy of adult whitefly repellence by rabbit urine, and the second experiment was to determine the toxicity effect of rabbit urine on whiteflies.
(1) Adult Whitefly Repellence by Rabbit Urine. The experiment was conducted in two trials inside a greenhouse at the Horticulture Research and Teaching Field at Egerton University, Njoro, Kenya.
A completely randomized design (CRD) with six treatments and three replications was used to experiment. The same treatments mentioned above were used. An experimental unit was a cage measuring 20 cm long, 20 cm wide, and 50 cm tall. The distance between the cages was 1 m. Polythene films, each 1 m high, were erected between the cages due to the volatile nature of the treatments. Each cage was covered with four layers of insect-proof net to keep the whiteflies inside the cage environment. A sealable opening was fixed on the top part of each cage for placing potted tomato plants, watering the potted plants, and data collection. One potted tomato seedling with 10 adult whiteflies was placed inside each cage through the opening. Each cage was then tightly closed immediately to allow the whiteflies to settle on the potted tomato seedlings for 24 hr.
After 24 hr, the seedling with whiteflies in each cage was sprayed with 20 mL of the respective treatment (spray) solution. Immediately after spraying, another unsprayed potted tomato seedling with no whiteflies was placed inside each cage. The distance between the two potted tomato seedlings inside each cage was 10 cm. The whole experimental area measured 2.6 m by 6.2 m.
Data were collected after every 2 hr up to 72 hr. This was done by lifting the lid located on the top of every cage. The number of adult whiteflies that migrated and settled on the untreated tomato plant within each cage was recorded at 2-hr intervals up to 72 hr. The opening on the top of each cage was closed tightly with the lid immediately after data collection to maintain a constant number of whiteflies within each cage.
Data collected was subjected to analysis of variance (ANOVA) and means of significant treatment separated using Tukey’s HSD test at a 5% level of significance. Statistical analysis was performed using SAS (Version 9.4; SAS Institute, Cary, NC). The statistical model fitted for this experiment was as follows [26]:
i = 1, 2, 3, 4, 5, 6; j = 1, 2, 3, where Yij is the time taken to repel 50% of 10 adult whiteflies toward the untreated tomato seedling in the ith treatment in the jth cage, μ is the overall mean, τi is the effect of the ith treatment, and εij is the random error component which is normally and independently distributed about zero mean with a common variance σ2.
(2) Toxicity Effect of Rabbit Urine on Adult Whiteflies. The experiment was conducted on a laboratory bench inside the biotechnology laboratory at the Horticulture Research and Teaching Field at Egerton University, Njoro, Kenya.
The experiment was conducted using a CRD with six treatments and three replications. The same treatments mentioned above were used. A total of 18 transparent plastic tins, each with a closeable lid, were used as the experimental units. Each plastic tin had a diameter of 15 cm. A 2 cm diameter hole was made at the middle of each lid for aeration to make sure that the whiteflies do not die of suffocation when the tin is sealed. The hole was then covered with a layer of insect-proof net to prevent the escape of the whiteflies in the tin and the entry of intruders into each tin. The distance between the tins was 30 cm. The entire experimental area measured 105 cm by 240 cm.
A tomato leaf with six adult whiteflies was inserted into each tin by slightly and carefully lifting the lid of each tin. The leaf with whiteflies in each tin was sprayed directly and thoroughly with about 10 mL of the respective treatment (spray) solution lifting the tin lid. Each tin was then tightly sealed immediately and the lid was slightly and carefully lifted again only during data collection.
The number of dead adult whiteflies inside the tins was recorded at 2-hr intervals up to 72 hr. A camel brush was used to determine the number of dead adult whiteflies. An adult whitefly was declared dead if it did not make any movements after being gently disturbed by the camel brush.
Data collected were subjected to analysis of variance (ANOVA) and means of significant treatment separated using Tukey’s HSD test at a 5% level of significance. Statistical analysis was performed using SAS (Version 9.4; SAS Institute, Cary, NC). The statistical model to be fitted for this experiment is as follows [26]:
i = 1, 2, 3, 4, 5, 6; j = 1, 2, 3, where Yij is the time taken to kill 50% of six adult whiteflies in the ith treatment in the jth plastic tin, μ is the overall mean, τi is the effect of the ith treatment, and εij random error component which is normally and independently distributed about zero mean with a common variance σ2.
3. Results
3.1. Effect of Rabbit Urine on Whitefly Control
3.1.1. Effect of Rabbit Urine Concentrations on the Population of Adult Whiteflies
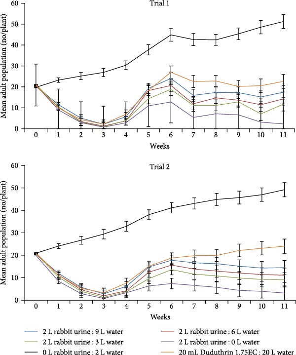
The population of adult whiteflies was significantly influenced by rabbit urine foliar spray (Figure 1). In most sampling weeks of both trials, treatment 0 L rabbit urine : 2 L water (negative control) registered significantly () higher populations of adult whiteflies than all other treatments. Pure rabbit urine (2 L rabbit urine : 0 L water) registered the lowest adult whitefly population (0.75 in trial 1 and 0.79 in trial 2). Treatment 2 L rabbit urine : 9 L water, registered significantly () higher populations of adult whiteflies than pure rabbit urine in most sampling weeks of both trials. The other two rabbit urine dilutions (2 L rabbit urine : 6 L water and 2 L rabbit urine : 3 L water) registered intermediate adult whitefly populations. During the first trial, there were no significant differences among the adult whitefly populations between the treatments 2 L rabbit urine : 9 L water, 2 L rabbit urine : 6 L water, 2 L rabbit urine : 3 L water, and 20 mL Duduthrin 1.75 EC : 20 L water in most sampling weeks. During the first 5 weeks of the second trial, the populations of adult whiteflies in treatment 20 mL Duduthrin 1.75EC : 20 L water were not significantly different from those in treatments 2 L rabbit urine : 9 L water and 2 L rabbit urine : 6 L water. However, beyond week 5, the populations of adult whiteflies in treatment 20 mL Duduthrin 1.75EC : 20L water were significantly () higher than those in treatments 2 L rabbit urine : 9 L water and 2 L rabbit urine : 6 L water. The reduced effectiveness of Duduthrin 1.75EC may be due to the resistance of the whiteflies developed to lambda-cyhalothrin.

3.1.2. Effect of Rabbit Urine Concentrations on the Population of Whitefly Nymphs
The use of rabbit urine foliar spray also significantly influenced the population of whitefly nymphs (Figure 2). In most sampling weeks of both trials, treatment 0 L rabbit urine : 2 L water (negative control) registered significantly () higher populations of whitefly nymphs than all other treatments. Pure rabbit urine (2 L rabbit urine : 0 L water) registered the lowest whitefly nymph population (12.96 in trial 1 and 13.13 in trial 2). In both trials, the populations of whitefly nymphs in treatments 2 L rabbit urine : 6 L water, 2 L rabbit urine : 3 L water, and 2 L rabbit urine : 0 L water (pure rabbit urine) decreased with time. This was contrary to the trend shown in 0 L rabbit urine : 2 L water and 20 mL Duduthrin 1.75 EC : 20 L water. The population of nymphs in treatment 2 L rabbit urine : 9 L water remained fairly constant in the first trial but exhibited a decreasing trend over time in the second trial. Among the different concentrations of rabbit urine, the whitefly nymph population decreased with an increase in the concentration of rabbit urine in all sampling weeks of both trials. In both trials, nymph populations in treatment 20 mL Duduthrin 1.75EC : 20 L water were significantly () higher than those in 2 L rabbit urine : 6 L water and pure rabbit urine treated plots.

3.1.3. Effect of Rabbit Urine Concentrations on the Population of Whitefly Eggs
There were significant differences between treatments as affected by the different concentrations of rabbit urine foliar spray (Figure 3). In most sampling weeks of both trials, whitefly egg populations in the negative control (0 L rabbit urine : 2 L water) were significantly () higher than in all other treatments. The highest whitefly egg population (192.59 in trial 1 and 141.59 in trial 2) was recorded in the negative control (water-treated plots), while the lowest (11.04 in trial 1 and 16.46 in trial 2) was recorded in pure rabbit urine-treated plots. In both trials, the populations of whitefly eggs in plots treated with 2 L rabbit urine : 6 L water, 2 L rabbit urine : 3 L water, and 2 L rabbit urine : 0 L water (pure rabbit urine) decreased with time. However, the whitefly egg populations in water- and lambda-cyhalothrin (20 mL Duduthrin 1.75 EC : 20 L water) treated plots increased with time in both trials. The whitefly egg population in plots treated with 2 L rabbit urine : 9 L water remained fairly constant in the first trial but exhibited a decreasing trend over time in the second trial. Among the different concentrations of rabbit urine, the whitefly egg population decreased with the increase in the concentration of rabbit urine in all sampling weeks of both trials. In both trials, egg populations in 20 mL Duduthrin 1.75 EC : 20 L water-treated plots were significantly () higher than those in the treatments of 2 L rabbit urine : 3 L water and pure rabbit urine.

3.1.4. Phytotoxicity of Rabbit Urine on Tomato Plants
It was also observed that scorching of the plant foliage increased with an increase in the concentration of rabbit urine foliar spray.
3.2. Effect of Rabbit Urine on the Bioactivity of Adult Whiteflies
3.2.1. Effects of Rabbit Urine Concentrations on the Length of Time Taken to Repel 50% of 10 Adult Whiteflies
There were significant differences between the treatments in the degree of repellence of adult whiteflies as affected by different concentrations of rabbit urine foliar spray (Table 1). In both trials, pure rabbit urine (2 L rabbit urine : 0 L water) took the shortest time to repel 50% of 10 adult whiteflies, while 2 L rabbit urine : 9 L water took the longest in both trials. Among the different concentrations of rabbit urine, LT50 values decreased with the increase in rabbit urine concentration. The LT50 values of both 20 mL Duduthrin 1.75EC : 20 L water and 2 L rabbit urine : 6 L water were not significantly different in both trials. However, the LT50 values of 2 L rabbit urine : 3 L water were significantly () lower than those of 2 L rabbit urine : 9 L water, 2 L rabbit urine : 6 L water, and 20 mL Duduthrin 1.75EC : 20 L water. In both trials, the negative control (0 L rabbit urine : 2 L water) did not produce any LT50 values within the maximum allocated time (72 hr). This indicates that rabbit urine has a significant repelling effect on whiteflies.
3.2.2. Effect of Rabbit Urine Concentrations on the Length of Time Taken to Kill 50% of Six Adult Whiteflies
Different concentrations of rabbit urine foliar spray exhibited significantly different levels of toxicity to adult whiteflies (Table 2). In both trials, 20 mL Duduthrin 1.75EC : 20 L water (lambda-cyhalothrin) took significantly () the shortest time to kill 50% of six adult whiteflies among all treatments. Although slightly shorter, the time taken by 2 L rabbit urine : 9 L water to kill 50% of six adult whiteflies did not differ significantly from that of the negative control (0 L rabbit urine : 2 L water). Among the different concentrations of rabbit urine, LT50 values decreased with the increase in rabbit urine concentration in both trials. This indicates that rabbit urine has a killing effect on whiteflies.
4. Discussion
The populations of adult whiteflies and whitefly nymphs and eggs were significantly lower in plots sprayed with the four different dilution levels of rabbit urine compared to those sprayed with water (negative control) in most sampling weeks of both trials.
Rabbit urine contains higher proportions of ammonia than urine from other mammalian animals. This is because rabbits drink very little amounts of water [26]. Since the ammonia in rabbit urine is highly volatile, it easily dissolves in water to form toxic ammonium bicarbonate [27]. The ammonium bicarbonate controls insect pests like whiteflies through contact. Once inhaled by whiteflies, the corrosive ammonium bicarbonate destroys the respiratory surfaces of the whiteflies, hence killing them [18]. Therefore, this explains why the time taken to kill 50% of six adult whiteflies (LT50 values) in the efficacy trials decreased with an increase in rabbit urine spray concentration.
The pungent smell of rabbit urine also repels whiteflies [17]. The higher the concentration of rabbit urine, the higher the ammonia gas concentration, and hence the stronger the pungent smell of the urine [28]. This also explains why the time taken to repel 50% of 10 adult whiteflies (LT50 values) in the efficacy trials decreased with an increase in rabbit urine concentration. Reduced adult whitefly populations automatically led to reduced rates of egg laying and hatching, hence low whitefly egg and nymph populations in the greenhouse trial (whitefly population determination experiment).
The populations of whitefly adults, nymphs, and eggs decreased with increase in rabbit urine foliar spray concentration. The mortality rate among invertebrates like whiteflies increases with increase in the amount of ammonia [28]. In the current study, pure rabbit urine had the highest ammonia content than all other rabbit urine dilution levels. In this study, it was also noted that the intensity of plant leaf scorching increased with increase in the concentration of rabbit urine foliar spray. Spraying plants with concentrated rabbit urine scorches plant foliage [15]. This is in agreement with the current study. Consequently, the most scorched plants registered lower populations of whitefly adults, nymphs, and eggs compared to the least scorched plants. Plants with high foliage intensity attract more insect pests like whiteflies compared to those with low foliage intensities [29]. Therefore, in this study, plant foliage scorching also increased the efficacy of rabbit urine in the control of whitefly populations.
In both trials, the populations of whitefly adults, nymphs, and eggs in plots sprayed with water (0 L rabbit urine : 2 L water) and lambda-cyhalothrin (20 mL Duduthrin 1.75 EC : 20 L water) increased over time. Therefore, this suggests that the efficacies of both water and lambda-cyhalothrin sprays to control whitefly populations were lower than those of the different rabbit urine concentrations used. Although water sprays kill whiteflies by suffocating them, this method is less effective than chemical, biological, cultural, and integrated pest management methods of pest control [30]. Repeated spraying of whiteflies with synthetic pesticides like lambda-cyhalothrin leads to the development of pest resistance and eventual resurgence [31]. Additionally, plant foliage in treatments 0 L rabbit urine : 2 L water (water spray) and 20 mL Duduthrin 1.75 EC : 20 L water (lambda-cyhalothrin) was not scorched, thus attracting more whiteflies.
5. Conclusions and Recommendations
Based on the findings of this study, it can be concluded that foliar spraying of tomato plants with rabbit urine significantly reduces the populations of whitefly adults, nymphs, and eggs. Also, pure rabbit urine foliar spray (2 L rabbit urine : 0 L water) controls whitefly adults, nymphs, and eggs with the highest efficacy. However, plant foliage scorching increased with increase in rabbit urine concentration. Therefore, it can also be concluded that treatment 2 L rabbit urine : 6 L water optimally controls whitefly populations without scorching the plant foliage. Lack of foliage scorching will therefore maintain a high photosynthetic area of tomato plants, hence leading to high yields and fruit quality.
The findings of this study are therefore important in reducing the underuse and wastage of rabbit urine foliar spray in the control of whitefly populations on tomato plants. These findings also help in preventing the scorching of tomato plant foliage by high concentrations of rabbit urine foliar spray.
Further research can also be conducted in the future to investigate the effect of different concentrations of rabbit urine foliar spray on other important pests of tomatoes like aphids and tomato leafminers.
Data Availability
Raw data are available from the corresponding author. Data used to support the findings of this study are included in the article.
Conflicts of Interest
The authors declare that they have no conflicts of interest.
Authors’ Contributions
The experiments conducted were made successful through the combined efforts of the authors as follows: Elvis Kalonzo Mutua, Liu Gaoqiong, and Jane Nyaanga conceived the idea of the experiments and designs; Elvis Kalonzo Mutua, Mariam Mwangi, and Liu Gaoqiong performed the actual field experiment, carried out data analysis, and developed the article.
Acknowledgments
The authors would like to sincerely thank the Mastercard Foundation through the Regional Universities Forum for Capacity Building in Agriculture (RUFORUM) and Transforming African Agricultural Universities to meaningfully contribute to Africa’s growth and development (TAGDev) program at Egerton University for their financial support toward this study.