Abstract
The Yang-Mills-aether theory is considered. Implications of the non-Abelian aether-like term, which introduces violation of the Lorentz symmetry, are investigated in a thermal quantum field theory. The thermofield dynamics formalism is used to introduce the temperature effects and spatial compactification. As a consequence, corrections due to the non-Abelian aether term are calculated for the non-Abelian Stefan-Boltzmann law and for the non-Abelian Casimir energy and pressure at zero and finite temperature.
1. Introduction
In recent years, attention has increased to the possibility that tiny violations of the Lorentz symmetry may arise in theories that unify quantum mechanics and gravity [1, 2]. This fundamental theory is expected to emerge at a very high energy scale. This symmetry breaking leads to the possibility that the Lorentz symmetry might not be absolute, but only approximate. The Lorentz symmetry violation opens up many opportunities to extend the well-known physics into new theories or corrections to standard physics. In order to explore the effects of this symmetry breaking, an effective theory has been constructed. The framework that describes all possible Lorentz violation is the Standard-Model Extension (SME) [3ā5]. The SME is composed of the general relativity and the standard model by adding all possible terms that violate Lorentz. Our interest is to study a non-Abelian extension of the Lorentz-breaking terms [6]. There are some studies about these terms. For example, non-Abelian Carrol-Field-Jackiw term has been generated perturbatively [7, 8]; some analyses about the generations of this term have been investigated [9, 10], among others. Here, the goal will be the non-Abelian aether-like term. The abelian aether term and its classical aspects have been analyzed [11], and its perturbative generation has been carried out [12]. The non-Abelian version of the aether term in four dimensions has been investigated, and its perturbative generation has been performed [13, 14]. There are studies that have not yet been development for the non-Abelian aether term, such as the Casimir effect. Thus, additional theoretical predictions about the quantum vacuum are provided in this non-Abelian extended theory. The study proposed here is an extension of the analysis developed in [15], where the Lorentz invariant non-Abelian theory is considered.
The Casimir effect can be interpreted as the force per unit area on bounding surfaces due to the confinement of a quantum field in a finite volume of space. As a consequence, two conducting parallel plates in the vacuum of a quantum field are attracted to each other due to boundary conditions, where the boundaries can be material media, interfaces between two phases of the vacuum, or topologies of space. This phenomenon was theoretically proposed by Casimir [16], and the first experimental observation was carried out by Sparnaay [17]. In this work, the Casimir effect in the vacuum of the non-Abelian field with the Lorentz violation is investigated. Since the Casimir force is a very sensitive measurement of quantum fluctuations of the field, it is a good way to investigate small Lorentz violating parameters. Furthermore, thermal corrections will be added to the Casimir effect for the non-Abelian field in the presence of a non-Abelian aether term.
There are two ways to introduce temperature effects into quantum field theory: (i) imaginary-time formalism and (ii) real-time formalism. The first formalism was proposed by Matsubara [18], which is based on a substitution of time, , by a complex time, . The second formalism is divided into two structure: the closed time path formalism [19] and the thermofield dynamics (TFD) formalism [20ā25]. The real-time formalism is applied to some studies where it is desirable to have an explicit dependence on time in addition to temperature. Here, the TFD formalism is used. This approach depends on the doubling of the original Fock space and of the Bogoliubov transformation. The thermal space is composed of the original Fock space and a tilde (dual) space. The original and tilde spaces are related by a mapping, tilde conjugation rules, associating each operator acting in the Fock space with two operators in the thermal Fock space. The Bogoliubov transformation is a rotation involving these two spaces, original and tilde, which introduce the temperature effects. TFD is a field theory on the topology with , where are the space-time dimensions and is the number of compactified dimensions. Here, any set of dimensions of the manifold can be compactified, where the circumference of the is specified by , that is, the compactification parameter. Here, three different topologies are considered. (1) The topology , where . In this case, the time axis is compactified in , with circumference . In this topology, the temperature effects are investigated. (2) The topology with , where the compactification along the coordinate is considered. Such a mechanism is quite suitable to treat, in particular, the Casimir effect. (3) The topology with is used. The double compactification allows the calculation of the Casimir effect at finite temperature.
This paper is organized as follows: in Section 2, the model that describes the non-Abelian aether term is introduced. The non-Abelian energy-momentum tensor and its vacuum expectation value are calculated. The 2-, 3-, and 4-point functions associated with the gluon field are analyzed. In Section 3, the TFD formalism is briefly presented. The energy-momentum tensor is written in terms of the compactification parameter. In Section 4, the non-Abelian Stefan-Boltzmann law and the non-Abelian Casimir effect at zero and finite temperature are investigated. The effect due to the non-Abelian aether term is discussed. In Section 5, some concluding remarks are presented.
2. The Model: Non-Abelian Aether-Like Term
The Lagrangian that describes the aether-like term that introduces a Lorentz-breaking Yang-Mills theory is where is the non-Abelian Lie algebra value field strength tensor, is a parameter, and is the constant Lorentz-violating vector which is dimensionless in four dimensions. Using that the Lagrangian (1) becomes
with being the non-Abelian field strength tensor.
In order to investigate applications of this non-Abelian aether term at finite temperature, the energy-momentum tensor associated with such theory is calculated. It is defined as
Using equation (2), the energy-momentum tensor becomes where is the Yang-Mills standard part, which is given by
and is new part corresponding to the non-Abelian aether term given as
It should be noted that the standard part of the energy-momentum tensor given by equation (5) is symmetric, but the aether part, equation (6), is not symmetric. This is characteristic of theories where the Lorentz symmetry is violated.
To analyze problems and corrections due to the aether term, the vacuum expectation value of the energy-momentum tensor must be calculated. However, the vacuum state is not possible due to the product of field operators at the same point of the space time. To avoid divergences, the energy-momentum tensor is written at different space-time points such as where is the time ordering operator. In order to use the quantization of the non-Abelian gauge fields, the canonical momenta is written as and its components are
Then, the standard canonical commutation relation is given as
All other commutation relations are zero. It is important to note that the aether field is regarded as an interaction with the Yang-Mills field. Therefore, quantization is performed only in the pure Yang-Mills field.
Then, the energy-momentum tensor becomes where with
and is a time-like vector.
Now, let us calculate the vacuum expectation value of the energy-momentum tensor which is defined as where is the ground state. Applying this definition to the energy-momentum tensor of the non-Abelian field with contributions of the aether term, we obtain
Here, it is possible to define the following: (1)Two-point functionwith
being the gluon propagator and the massless scalar field propagator which is given as (2)Three-gluon vertexwhere (3)Four-gluon vertexwith
Using these definitions, our objective is to obtain the energy-momentum tensor (15) in the presence of finite temperature. To achieve this goal, the TFD formalism will be introduced in the next section.
3. TFD Formalism
Here, a brief introduction to the TFD formalism is presented. TFD is a quantum field theory at finite temperature where the statistical average of any operator is interpreted as an expectation value in a thermal vacuum. This formalism is composed of two ingredients: (i) doubling of the original Hilbert space and (ii) the Bogoliubov transformation. The doubling is defined by the tilde conjugation rules which associates each operator in the original Hilbert space, , to two operators in expanded space , where , with being the tilde or dual space.
The Bogoliubov transformation consists of a rotation in the tilde and nontilde variables that introduces the effects of temperature. As an example, let us consider this transformation acting on a duplicated space, such as where is the Bogoliubov transformation defined as with and related to the Bose distribution. Here, the parameter is assumed as the compactification parameter defined by , where are the space-time dimensions. For example, the effect of temperature is described by the choice and .
In order to introduce the effects of temperature, let us write the -point () Green function using the TFD formalism. The free scalar field propagator in a doublet notation is where and . Then where with
The physical information is given by the component , the nontilde component. In addition, the generalized Bogoliubov transformation [26] is given as
with being the number of compactified dimensions, for fermions (bosons), denotes the set of all combinations with elements, and is the 4-momentum.
Similarly, the 3- and 4-point functions are given, respectively, as
Using this formalism, the parameter is introduced in the vacuum expectation value of the energy-momentum tensor (15). Then where is defined as
To obtain a renormalized energy-momentum tensor, the Casimir prescription is carried out, i.e.,
Thus with
Furthermore, the Fourier representation of the -point functions is and a similar expression is obtained for the 4-point function.
Therefore, such development led the energy-momentum tensor to be written in the context of TFD formalism. Now, some applications are investigated for different choices of -parameter.
4. Application at Zero and Finite Temperature
In this section, three different topologies are considered. (i) The time axis is compactified and . (ii) The compactification along the coordinate is carried out and . (iii) The parameter is choice as . In this case, the double compactification consists in one being the time and the other along the coordinate .
4.1. Non-Abelian Thermal Energy Density
For the first case, i.e., , the generalized Bogoliubov transformations are
Taking these results to the Green functions, we get
where . Similar procedures are performed for the 3- and 4-point Green functions. Using these definitions, the energy-momentum tensor becomes with
To investigate the corrections due to the non-Abelian aether-like term, let us consider the vector as a time-like vector, i.e., . Using this choice and , after several calculations, the non-Abelian energy density is given as where . Here, it should be noted that the product of the Dirac delta functions with identical arguments is not well defined. However, to avoid this problem, the regularized form of delta function is defined as [27]
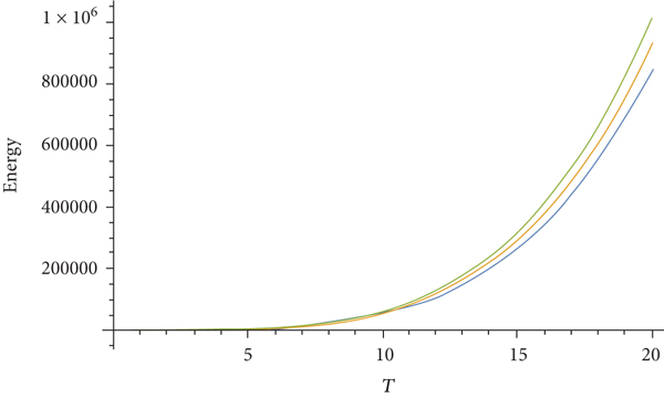
Equation (42) is the non-Abelian Stefan-Boltzmann law with corrections due to the non-Abelian aether term which leads to the Lorentz symmetry breaking. This correction affects all self-interactions of gluons. The temperature dependence is different for each contribution. In the high-temperature limit, the correction with dependency is dominant, while for low-temperature, the four-gluon self-interaction term is dominant. Furthermore, in the case where the non-Abelian aether term is zero, the standard non-Abelian Stefan-Boltzmann law for gluons is recovered. In order to visualize the corrections due to the aether term, in Figure 1, the energy as a function of temperature is plotted. However, as a first approximation, only the first term is considered, since the product of the Dirac delta functions is not well defined.

4.2. Non-Abelian Casimir Effect with the Non-Abelian Aether Term
Here, the corrections of the non-Abelian aether term will be investigated for two cases: the Casimir effect at zero and finite temperature.
4.2.1. Non-Abelian Casimir Effect at Zero Temperature
In this case, the -parameter is choice as . This leads to the Bogoliubov transformations
Using these transformations in the Green functions, the energy-momentum tensor becomes
Taking , the non-Abelian Casimir energy at zero temperature is
And for , the non-Abelian Casimir pressure at zero temperature is
Since the distance between the plates is small, the first term is dominant compared to the other terms that come from the self-interaction of the gluons. Furthermore, corrections due to the non-Abelian aether term contribute to increase the Casimir force, which is an attractive force. Figure 2 shows the Casimir pressure, which is dependent on the aether term, as a function of the distance between the plates. Here, only the first correction is considered due to the difficulty of numerically expressing the terms that relate to the Dirac delta functions and their sum.

4.2.2. Non-Abelian Casimir Effect at Finite Temperature
To investigate both effects, finite temperature, and spatial compactification, the -paramenter is given as . As a consequence, the Bogoliubov transformations become
In these expressions, the first term leads to the non-Abelian Stefan-Boltzmann law and the second term to the non-Abelian Casimir effect at zero temperature. The combined effect of temperature and spatial compactification that leads to the non-Abelian Casimir effect at finite temperature is given by the third term.
Then, the energy-momentum tensor is given as
For , we get
This is the non-Abelian Casimir energy at finite temperature. Choosing leads to
This is the non-Abelian Casimir pressure at finite temperature. It is interesting to note that the non-Abelian aether term modifies the Casimir effect in both cases, at zero and finite temperature. Figure 3 shows the Casimir pressure at finite temperature with corrections due to the aether term. One can see the contributions of the aether term as a function of temperature. It is important to note that Figures 1ā3 present only a simple attempt to visualize the standard effect and how the Lorentz violation effects change these quantities. Furthermore, it is worth emphasizing that for a complete representation, more experimental results on this theory at finite temperature must be obtained, as well as more information about the numerical values of the product involving the Dirac delta functions with the same arguments.

5. Conclusion
High energy physics which discusses a fundamental theory with general relativity and standard model together leads to the possibility that tiny violations of the Lorentz symmetry may arise. In this context, the Yang-Mills theory with a non-Abelian aether term is considered. The energy-momentum tensor for the Yang-Mills theory with the Lorentz violation is determined. Then, some applications at finite temperature are investigated. The temperature effects are introduced using the TFD formalism, a real-time formalism for the thermal quantum field theory. First, the expression for the energy-momentum tensor in terms of the TFD propagator considering a topology is derived. This is used to analyze the non-Abelian field with the Lorentz violation at finite temperature, where the time coordinate is compactified. The Stefan-Boltzmann law with corrections due to the non-Abelian aether term is obtained, and the possible consequences due to this Lorentz-violating term are discussed. The next analysis is done with the compactification along of coordinates. Then, the non-Abelian Casimir energy and pressure are calculated. The non-Abelian aether term contributes to increase the attractive Casimir force. The last investigation considered a topology . This was used to study the non-Abelian field compactified in spatial coordinate and at finite temperature. In this case, the Casimir energy and pressure at finite temperature are determined. Therefore, the deviations of the Casimir force in the Lorentz violating extension of the Yang-Mills theory at zero and finite temperature have been calculated.
Data Availability
This is a theoretical work, and all previous results are listed in the references.
Disclosure
It is important to emphasize that the ideas developed here are a generalization of the study carried out in reference [15] by the same authors. However, although some parts are similar, the results obtained in this manuscript are investigated in a context of violation of the Lorentz symmetries, which leads to new and different results.
Conflicts of Interest
The authors declare that they have no conflicts of interest.
Acknowledgments
This work by A. F. S. is supported by the National Council for Scientific and Technological Development (CNPq project No. 313400/2020-2).