Abstract
This paper mainly investigates the dynamical behaviors of a chaotic system without ilnikov orbits by the normal form theory. Both the stability of the equilibria and the existence of local Hopf bifurcation are proved in view of analyzing the associated characteristic equation. Meanwhile, the direction and the period of bifurcating periodic solutions are determined. Regarding the delay as a parameter, we discuss the effect of time delay on the dynamics of chaotic system with delayed feedback control. Finally, numerical simulations indicate that chaotic oscillation is converted into a steady state when the delay passes through a certain critical value.
1. Introduction
In the past decades, both the chaotic synchronization and chaos control have excited amusements in many areas of science and technology due to their potential application. As is known some chaos is desirable and needs not to be controlled, but others are undesirable and need to be controlled. Therefore, the investigation of chaotic control is of great significance. Moreover, many schemes have been presented to implement chaotic control [1–18], of which the time-delayed feedback controlling forces is proved to be a simple and viable method for a continuous dynamical system. Fortunately, the time-delayed feedback controller can also be used to realize the control of a bifurcation. As is well discussed the chaotic dynamical behaviors of the chaotic system will be varied if the steady state is stable or the bifurcating periodic solutions are orbitally asymptotically stable.
Some authors study the chaotic systems with ilnikov orbit, such as Elhadj and Sprott [9]. Some others investigate chaotic systems without ilnikov orbit, like Wang and Chen [19–21], and so on. Recently, a chaotic system of non-ilnikov type has been introduced in [19, 22] as follows:where , , and . The bifurcations and period orbits of (1) will appear taking as the bifurcation parameter values and fixing , . When especially, there appears a chaotic attractor (see Figure 1). The system has two equilibria: , .

(a) The trajectories

(b) Phase graph
Inspired by the above, in this paper, we focus on the control of chaotic attractor of chaotic system (1). In order to better reflect the dynamical behaviors of system (1) depending on the past system information, it is reasonable to incorporate time delay into this system. The signal error of the current state and the past state of the continuous time system will be fed back to the system itself. Following the idea of Pyragas [13], we add a time-delayed force to the second equation of system (1) and then system (1) takes the form as follows:where is a real constant.
The structure of this paper is organized as follows. In Section 2, the stability and the existence of Hopf bifurcation are determined. In Section 3, based on the normal form method and the center manifold theorem presented in Hassard et al. [23], the formulae of determining the direction, the stability, and the period of the bifurcating period solutions are presented. To verify the theoretic analysis, numerical simulations are given in Section 4. Finally, a summary of the main conclusions is provided in Section 5.
2. Bifurcation Analysis of the Chaotic System without ilnikov Orbits
In this section, we analyze the influence of time delay on the stability of the steady state by taking as bifurcation parameter and fixing the value of . The stability of system (2) will be changed and a family of periodic orbits will bifurcate from the equilibria with the increasing of .
By the linear transformationsystem (2) becomesThen, the Jacobian matrix of (4) at any point can be written as The characteristic equation of (4) is given bywhere , , , , , and . Thus, we will study the distribution of the roots of the third-degree exponential polynomial equation of (6), obviously, if is a root of (6) and satisfiesSeparating the real and imaginary parts of (7), we getwhich is equivalent toLet and denote , , and ; (10) becomesFrom (11), we havewhere .
Then, .
Denote and ; the equation has two real roots as follows:
Notice that and . We introduce the following results proved by Lü and Chen [24].
Lemma 1. For the polynomial equation (11), we have the following results:(1)If , then (11) does not have positive real root.(2)If , then (11) has positive real roots if and only if and .
Without loss of generality, we give the following assumption:If we make an assumption that (14) is true, then (11) has two positive roots and . Supposing , we have . Substituting into (8), we find thatwhere and ; then is a pair of pure imaginary roots of (7) with . Define
Lemma 2. If (14) holds, when , then (11) has a pair of pure imaginary roots and all the other roots of (11) have nonzero real parts.
Lemma 3. If (14) holds, then we have the following transversality condition:(i) and .(ii) and have the same sign.
Proof. Substituting into (6) and taking the derivative with respect to , we obtainFrom (9), we find thatwhere . Since , we conclude that and have the same sign. This completes the proof.
Theorem 4. Suppose (14) and Routh-Hurwitz criteria for (7) are satisfied. Moreover, if , there exists such that .(i)For , the equilibriums of system (2) are unstable.(ii)For the equilibriums are asymptotically stable.(iii)When and , system (2) undergoes a Hopf bifurcation at the equilibriums .
3. Direction and Stability of Hopf Bifurcation Period Solution
In the previous section, we obtained the conditions of Hopf bifurcation occurring. In this section, the direction and the stability of the bifurcations are analyzed using the central manifold theorem. Assuming that system (2) always undergoes Hopf bifurcation at the equilibrium for and , then, letting , , , , and and dropping the bars for simplifications of notations, the nonlinear system (2) can be transformed into an FDE in aswhere and and are given, respectively, byIf we choosewhere is a Dirac delta function and , then there is
For , defineFor convenience, we can write system (9) into an operator equationwhere
For , defineand a bilinear inner productwhere . Obviously, and are adjoint operators. In line with the discussion in Section 2, we know that are eigenvalues of . Thus they are eigenvalues of . Next, we need to calculate the eigenvectors of and corresponding to and , respectively. Let be the eigenvalue of ; that is, ; we haveThen it is easy to obtainSimilarly, supposing , from the definition of , we haveSo we havewhere is a constant such that . By (26), we getTherefore, we can choose asBelow we apply the idea in Hassard et al. [23] to compute the coordinates describing the center manifold coat . Let be the solution of (2) when . DefineOn the center manifold , we getwhereand and are local coordinates for center manifold in the direction of and . Noting that is also real if of (2), so we deal with real solutions only. For solution , since , we haveThat is,whereThen we havewhereNoticing and , we haveIn view of (38), (39), and (41), we getwherewhereSince in are unknown, we still need to compute them. By (24) and (36), we driveWe can rewritewhere
Comparing the coefficients, we getFor ,Comparing the coefficients of (49) with (50), we find thatBy (48) and (51) and the definition of , we obtainSince , we getwhere is a constant vector.
Similarly, in view of (49) and (52) and the definition of , we getwhere is a constant vector.
Next, we will seek appropriate , in (54) and (55), respectively. By means of the definition of , (51) and (52), we havewhere . In view of (48), we getFor is the eigenvalues of and is the corresponding eigenvector, we obtainSubstituting (54) and (57) into (59), we obtainThat is,It follows thatwhereSimilarly, substituting (51), (52), and (60) into (58), we have
Consequently, we can determine and . Thus, all can be determined by [13]. Following the basic idea of [25] and the method in [26], one can draw the conclusion about the bifurcation direction and the stability of the Hopf bifurcation, which are determined by the following parameters:Thus, we have the main results of this section.
Theorem 5. determines the direction of the Hopf bifurcation; that is, if , the Hopf bifurcation is supercritical (subcritical) and the bifurcating period solutions exist for ; determines the stability of the bifurcating period solutions: the bifurcation period solutions are orbitally stable (unstable) if , and determines the period of the bifurcating periodic solutions: the period increases (decreases) if .
4. Application to Control of Chaos
In this section, we apply the results in the previous sections to system (2) for the purpose of control of chaos. From Section 2, we know that, under certain conditions, a family of periodic solutions bifurcate from the steady states of system (2) at some critical values of and the stability of the steady state maybe changes along with increasing of . If the bifurcating periodic solution is orbitally asymptotically stable or some steady state becomes locally stable, then chaos may vanish. Let , , and , and system (2) will become the following delayed feedback control form:which has the equilibria , , and the linearized system of system (68) at is where .
The characteristic equation of (69) is given byWhen , (70) becomesFrom Routh-Hurwitz criterion, it is easy to know that the equilibrium is unstable, and, using Matlab 7.8.0, we can get chaotic phenomena (see Figure 1).
In the following, we discuss the condition under which Hopf bifurcation occurs at the equilibria ; supposing is a root of (71), we getLet ; (72) becomes
Let , , and , ; then .
Equation (73) has two real roots:
From Lemma 3 we have
In addition, notice that .
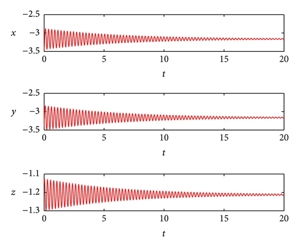
By Theorem 4, the equilibria points are unstable; when (see Figures 2 and 4), the system varies from the chaos to the inverse double period bifurcation, the unstable bifurcating period solution, and double period bifurcation and the chaos occurs from the equilibria (see Figures 2 and 3). When pass through , Hopf bifurcation occurs. When , the equilibria are asymptotically stable (see Figure 5). When , the equilibria lose their stability and the stable bifurcating period solutions occur (see Figure 6). By the theory of Hale [11], from formula (62), we also determine the direction of Hopf bifurcation and the other properties of bifurcating periodic solutions. From the formulae in Section 4 we evaluate , , , and ; it follows thatSince , , and , the Hopf bifurcation is subcritical; these bifurcating period solutions from are stable and the period of the bifurcating periodic solutions decreases.



(a) The trajectories

(b) Phase graph

(a) The trajectories

(b) Phase graph

(a) The trajectories

(b) Phase graph
5. Conclusions
In this paper, our goal is to control a chaotic system to be of stable state by applying the time-delayed feedback control method. It is shown that time delays play an important role in controlling the chaotic behaviors of system (1). The sufficient conditions are obtained to ensure local stability of the equilibria , and the existence of local Hopf bifurcation. In virtue of functional differential equations and Hassard method, the nature of the Hopf bifurcation of the time delay chaotic system is determined by the designed controller. Numerical simulation results demonstrate that the new feedback controller using the time delay is a specially effective method to control chaos behavior. Through further investigation, we expect to decide on which bifurcation arises in the chaos system by proper setting on the feedback parameters for building programs to suppress chaos.
Conflict of Interests
The authors declare that there is no conflict of interests regarding the publication of this paper.
Acknowledgments
The authors would like to thank the anonymous referee for the very helpful suggestions and comments which led to the improvement of the original paper. And this work is supported by the Education Department of Henan Province (Grant no. 15A110046) and the Research Innovation Project of Zhoukou Normal University (Grant nos. ZKNUA201410 and ZKNU2014126).