Abstract
Wind power is one of the most efficient, reliable, and affordable renewable energy sources. The Doubly Fed Induction Generator (DFIG) is the most commonly used machine in wind power systems due to its small size power converter, reduced cost and losses, better quality, and the ability for independent power control. This research work deals with the power control of this machine by modeling and designing a suitable controller. Vector control is used to control the stator and grid active and reactive powers along with the proportional integral (PI) controller, fuzzy logic controller (FLC), and PI-fuzzy controllers. Modeling and simulation of the system are done using MATLAB Simulink, and the behavior of the machine with each controller is examined under variable wind speeds. Comparative analysis based on reference power tracking, stability, and grid code requirement fulfillment has been conducted. The obtained results show that among the three controllers, the PI-fuzzy controller meets the required specification with better performance, small oscillation, minimum overshoot, better reference tracking ability, and creating a stable and secure system by fulfilling grid code requirements. This study can be important to further insight into DFIG-based wind turbine systems.
1. Introduction
Due to the rapid population and industrial growth in the whole world, the need for electricity and power consumption are highly increasing in recent years [1]. Commonly, traditional energy resources like petroleum, coal, and gas were used for many decades. Global warming and the harmful effects of carbon emissions on the whole environment have created a new demand for clean and sustainable energy sources, such as solar, wind, geothermal, tidal, hydro, and biomass [2].
Although there are many reasons to use alternative energy sources, mainly, the ability with reduced pollutants and greenhouse gases and the number of toxins that are the result of traditional energy use make them preferable. Moreover, they protect against the harmful by-products of energy use and help to preserve many of the natural resources that we currently used as energy sources [3].
Wind power is one of the most commonly used renewable energy sources in the world. Historically, the invention of windmills was thousands of years ago; since ancient times, wind power was used to irrigate crops (1700 B.C), grind grain (500–900 A.D), and propel ships and in other early industrial applications [4].
Recently, variable-speed wind turbines offer a higher energy yield in comparison to fixed-speed turbines. Their cost-effectiveness, simple pitch control, improved power quality, reduced mechanical stress, and improved system efficiency make them preferable [5].
Among the several wind turbine generators, the Doubly Fed Induction Generator (DFIG) is the most common and applied machine in wind power systems. It is preferable due to the reduced size of the power converter which is 30% of the rated power; hence, the losses in the converter can be minimized. Also, it can operate above and below the machine’s synchronous speed. In super synchronous mode, the rotor converter injects active power into the grid. However, in subsynchronous mode, the power is consumed in the rotor from the grid, and this provides an operating speed range of around ±25–35% of the rated speed. Another advantage of this type is that the mechanical drive train is largely decoupled from the electrical system via the back-to-back converter; i.e., the variations in the prime mover do not have a pronounced impact on the grid. Hence, the flicker levels and the power factor control for the overall system are reduced [6].
The total system configuration is shown in Figure 1. The stator of DFIG is directly connected to the grid, and the rotor is directly connected to the bidirectional converters and then to the grid. The two back-to-back connected converters, namely, the rotor side converter (RSC) and the grid side converter (GSC), provide the required magnetization current at rotor windings [3]. The RSC controls the stator’s active and reactive powers, and the GSC will keep the DC-link voltage constant; it may also be used to compensate for the reactive power or in some cases to remove the reactive power pulsation during unbalanced conditions [7].

Even though Ethiopia’s power development is mainly focused on hydropower, there is also a great wind energy potential. According to statistics [8], there is a good wind source with velocities ranging from 7 to 9 m/with a current installed capacity of 324 MW. Adama II wind farm is the largest substation which is found in Adama city with 102 DFIG-based wind turbines and generates 153 MW of electric power; thus, it has a significant role in the whole electric power sector of the country [3].
The control system for the whole wind turbine system can be classified into mechanical system control, electrical system control, and grid connection system control [8]. The mechanical control mainly considers the outer or the aerodynamic art of the wind system; i.e., the wind flows and hits the wind turbine blade, and the amount of torque and force is depending on the attack angle of wind flow to the turbine blade. The main objective is to achieve maximum power by capturing the maximum wind speed. Current wind turbines have a pitch control mechanism on their structure so that they can capture maximum power at high wind speeds [9].
The electrical system control which is directly referred to as the generator and converter control considers the active and reactive power control of DFIG that flow to the grid. This part is the backbone of all systems, so there is a need for a strong control system to make the system stable and effective [9].
The proportional integral (PI) controller is not the best controller but it is widely used in wind power systems. It is simple and can maintain system stability by reducing the steady-state error in the system and also making fast responses for the overdamped system [7]. The main drawback is it has a high overshoot problem but this can be corrected by adjusting the transfer functions. In contrast with this, the intelligent control system fuzzy logic controller (FLC) can improve the performance of the machine by tuning the fuzzy parameters. It is commonly used to solve problems with uncertain and vague environments [10].
2. Material and Methods
2.1. Mathematical Modeling
2.1.1. Aerodynamic Modelling
The aerodynamic system converts the kinetic energy in the moving wind to mechanical energy by recovering a slowly rotating shaft; then, the gearbox increases the turbine’s low speed by making it suitable for the generator speed [5].
The maximum wind power extracted from the wind turbine will be where is air density; is the radius of the wind turbine, is the tip speed ratio, is the rotational speed of the turbine, and is the maximum power coefficient.
2.1.2. Drive Train and Gearbox Modelling
The drive train system is connected with blades coupled to the low shaft which is then linked to the gearbox. The main advantage of using a gearbox is that it matches the required speed level of the generator with the wind turbine rotor by speeding up the turbine rotor speed to the level needed by the generator [5].
If the efficiency of the gearbox is 100%, then the gearbox ratio can be defined as where and are the generator and turbine rated speeds (rpm), respectively; is the gearbox ratio; and and are the generator and turbine torque (N·m), respectively.
The Adama II wind farm has a gearbox ratio of 94.74 with an 1800 rpm rated value and turbine speed of 19 rpm.
2.1.3. Doubly Fed Induction Generator Modelling
The dynamic modeling of the induction machine can be done by transforming the three axes variables into two axes to reduce the complexity of the differential equation so that the modeling can be simpler [3].
So the stator and rotor voltages with stator reference frame will be
The current equations for both stator and rotor windings will be where , , , , , , , , , , , and are the voltages, flux linkages, and currents of stator and rotor windings in the axis, respectively; , , , and are the stator and rotor winding resistances and inductances; and is the mechanical angular frequency.
After the Clarke transformations, the time-varying two-dimensional signal will be transformed into a rotating two-dimensional time-invariant signal using the park transformation. So the park transformation will be or simply multiplying the variable by and for stator and rotor windings.
The stator and rotor voltages will be where , , , , , , , , , , , and are the voltages, flux linkages, and currents of stator and rotor windings in the axis, respectively.
The stator and rotor currents will be where .
For a sinusoidal supply of voltages, at a steady state, the components of the voltages, currents, and fluxes will be constant values, in contrast to the components that are sinusoidal magnitudes. Assuming no power losses on the stator and rotor resistances, the active and reactive power can be where , , , , , and are stator and rotor active, reactive, and total powers. If or is positive, that means DFIG is supplying power to the grid, and if it is negative, that means DFIG is absorbing power from the grid.
The electromagnetic torque () can be expressed as
If is positive, DFIG is working as a generator, and if not, it is working as a motor.
2.1.4. Power Converter Modeling
The power converters used for wind power generation are back-to-back power converters in which one of each does a rectifier and the other one as an inverter. Each converter consists of resistances, inductances, six IGBT with body diodes, and a DC output capacitor. It has a main role in controlling active and reactive power. It has two parts that are the machine or rotor side converter which is used for controlling the generator speed, the active and reactive power, and also the torque and the grid side converter which is used for making the Dc-link voltage constant to maintain stable power flow. The DC-link capacitor is used for energy storage [5].
2.2. Control System
Among the numerous control strategies for DFIG due to its ability to control the active and reactive power independently, vector control is selected in this research work. There are mainly two types of field-oriented control in DFIGs, which are stator flux-oriented control and stator voltage-oriented control, for RSC and GSC, respectively [4].
The rotor currents which have the main role in controlling the stator’s active and reactive powers are as follows:
The grid currents which are capable of controlling the grid’s active and reactive powers are as follows:
The overall modeling of DFIG-based wind system using MATLAB Simulink is shown in Figure 2. All mathematical equations with variable transformation stated in the literature are contained in the simulation diagram.

2.2.1. Designing Controllers
Controllers are very essential in any control system to minimize error with the actual and measured parameters tuning gains for better performance. Among the many controllers, the conventional PI and modern fuzzy controllers are selected in this study.
Hence, indirect power control technique is selected, the inputs for the controllers will be the actual and measured currents, and the controller output will be voltages. The difference between the actual and measured current is the error in which this value will determine the performance of the controller.
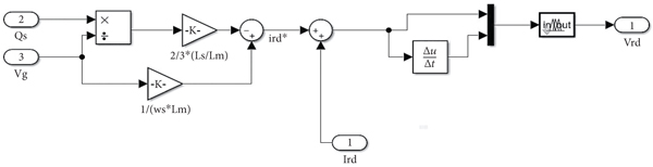
(1) PI Controllers. Figure 3 shows the control system for stator active and reactive power using a PI controller. There are five PI regulators in the modeling, two for each converter (RSC and GSC), and there is also a PI voltage regulator on the grid side used from which the grid active power reference is obtained. The PI gains are properly tuned by changing proportional and integral gains (Kp and Ki) until we get the best result using the trial and error method.

(2) Fuzzy Logic Controllers (FLC). Among the two types of FLC, the Mamdani type with two inputs and one output parameter is used. The active and reactive powers are controlled using the two converters so that four independent FLC blocks are used in the modeling for the stator and grid active and reactive powers (, , , and ), respectively. The two inputs shown in Figures 4 and 5 for the controller are current error () and change in current error , and the output in Figure 6 is voltage.



The RSC controls the stator and rotor active power by the quadrature axis currents and reactive power by the direct axis currents, so the inputs will be axis current errors () and change of error and the output process will be the rotor voltages, respectively. The main task in this study is to control the active and reactive power of the DFIG by using the vector control technique so that both powers cannot be controlled directly; rather, we can control them using the direct axis and quadrature axis currents.
The grid side active and reactive powers are controlled using the voltage frame orientation, so the inputs will be axis current error () and change of error and the output process will be the grid voltages, respectively.
Seven triangular trigonometric membership functions (MFs), namely, BN, MN, SN, AZ, SP, MP, and BP, in which they represent big negative, medium negative, small negative, about zero, small positive, medium positive, and big positive, respectively, are selected for the inputs and output of the FLC.
The ranges of MFs are determined using optimization techniques or simply by trial and error method by varying the scaling factor [11].
Rules will be assigned using the above linguistic variables to make a stable and good control system. There will be () a total of 49 rules as shown in Table 1 which are constructed using the properties of the machine. Each rule combination expresses the operating characteristics of the control system. For instance, when the current error () and the rate of change of current error are both BN, i.e., the positive value with actual current is more than the reference current and is increasing dramatically so that we must decrease the output to create a stable system, therefore, the output must be BN. Also, if both inputs are BP, the actual current is less than the reference current and is so that the output will have a value of BP.
The membership functions can be seen in Figure 7 on the surface with their respective values and ranges. After all, this procedure is done; then, the next step will be replacing the former PI controller with FLC. In this case, the inputs are not only the difference between actual and measured currents but there is also a change in their differences as shown in Figure 8.


(3) PI with Fuzzy Control. The above two controllers have their advantages and disadvantages. High starting overshoot with high transients at starting points is the common drawback of the PI controller. FLC reduces the overshoot, but this controller requires high expert knowledge to design the parameters. So these limitations on both sides can be reduced by combining both controllers to achieve better system performance using a simpler method. This combination can be done using PI gains and FLC. The former fuzzy block with a seven-membership function is used with a fixed range [-1 1].
For better results, the MFs will be tuned by shifting left and rightwards with their respective ranges [11]. It is better if the error MFs are tuned towards zero and away from zero for the change in current error as shown in Figures 9 and 10. The output in Figure 11 is less sensitive to the controller so there is no need of tuning the membership functions.



The MATLAB Simulink model using PI-tuned fuzzy controller is shown in Figure 12. To determine the gains, it is better to use the common technique which relates the PI controller gains and FLC scaling factors stated as follows: where and are input scaling factors, and are PI gains (proportional and integral coefficient), is the sampling time, and is the output scaling factor. has less influence than and on the system performance [11].

3. Results
The simulated system comprises a 1.5 MW DFIG connected to the 690 V, 50 Hz grid. The time for the simulation is 20 sec. The assumed wind speed used here by repeating the sequence of MATLAB Simulink is [4 6 11 11].
4. Discussion
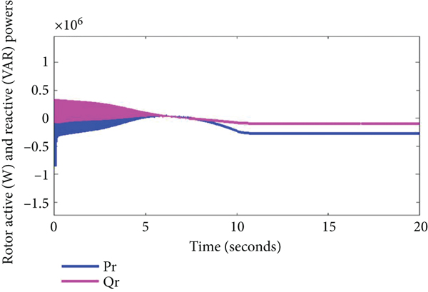
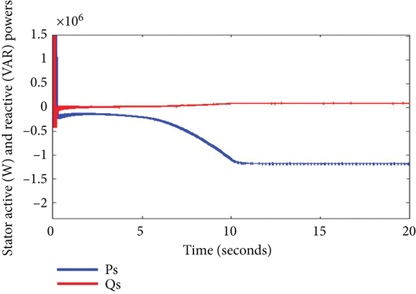
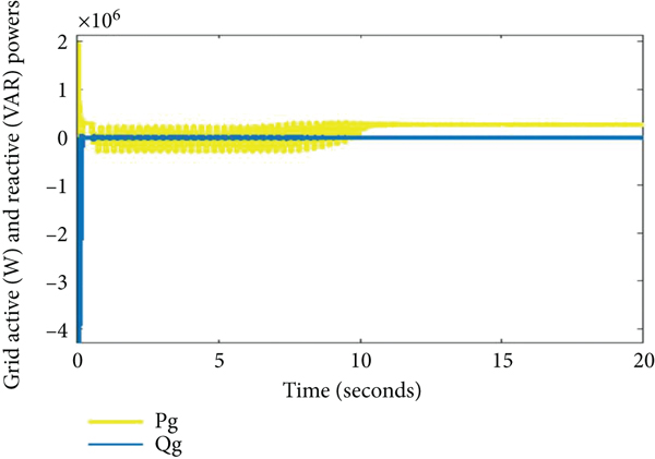
The active and reactive powers are controlled using PI, fuzzy, and PI-tuned fuzzy controllers separately from the vector control techniques. The stator and rotor active powers are negative, and this is because the machine is operating as a generator and running at super synchronous speed; i.e., the rotor is rotating at a speed faster than the stator winding with negative slip. The stator and rotor are delivering active power to the grid by direct connection with the grid and through the power converters, respectively. The power generation can be different depending on the wind speed. The maximum power can be generated at a higher wind speed. In Figures 13(a)–13(c), the stator active power at an assumed wind speed of 11 m/s over a simulation period is near 1.2 MW when using the conventional PI controller. The rotor power is increasing from zero to its maximum value at maximum speed. The stator reactive power is near zero; i.e., the power factor is controlled at unity at the machine side; however, there is a high deviation at high wind speeds as the machine tries to support the grid with reactive power. The rotor’s reactive power delivers reactive power. The grid reactive power is zero, which means the power factor is maintained at unity so that the stability of the system can be enhanced.

(a)

(b)

(c)
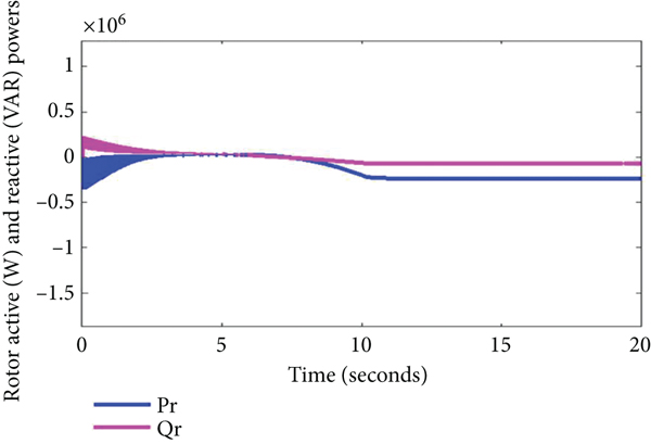
The stator active power at a higher wind speed of 11 m/s has a value of 1.3 MW while using FLC. The reactive powers on both stator and grid sides are going towards zero in Figures 14(a)–14(c). Also, the fluctuation at starting is reduced to 3 sec compared with the former PI controller.

(a)

(b)

(c)
In Figures 15(a)–15(c), we can see that the reactive powers at both the stator and grid sides have values very close to zero. Thus, unity power factor at both sides can be maintained while using PI-tuned FLC. Also, the oscillation and overshoot at starting minimum speeds are highly reduced to 0.1 sec.

(a)

(b)

(c)
4.1. Comparisons
In this section, comparative analysis between conventional PI and modern FLC controllers will be done based on the above results. The obtained results using each controller are compared based on different parameters like reference tracking and stability.
4.1.1. Reference Power Tracking
The stator reference active power () is the maximum aerodynamic power extracted from the wind. The grid active power reference is the output from the PI voltage regulator on the grid side. The reactive power on both the stator and grid side is referred to be zero.
The active and reactive powers generated from the generator are compared with their respective references using the three different controllers as follows: (a)Using PI controller(b)Using fuzzy controller(c)Using PI-fuzzy controller
(1) Stator active powers.
(2) Stator reactive powers.
(3) Grid active powers.
(4) Grid reactive powers. From Figures 16(a)–16(c) and 17(a)–17(c), we can see that the stator active and grid active powers are well tracked using PI-fuzzy controllers in Figures 16(c) and 17(c). Also, the reactive powers on both the stator and grid sides are well tracked with their references while using PI-fuzzy controllers in Figures 18(c) and 19(c).

(a)

(b)

(c)

(a)

(b)

(c)

(a)

(b)

(c)

(a)

(b)

(c)
Both three controllers track their references with different tracking times. The active and reactive powers using PI controllers are well tracked after time sec, and FLC has improved performance with reduced tracking time sec, but PI–fuzzy controller has better tracking time sec than both controllers.
Also, conventional PI controllers have high overshoots with a high rise of maximum deviation up to 6 sec in Figures 13(a)–13(c). The modern FLC has shown some improvement with reduced overshoot time 3 sec in Figures 14(a)–14(c)), but we can see that this variation is highly decreased when using PI-tuned FLC in Figures 15(a)–15(c).
4.2. Stability and Grid Code Requirement Fulfillment
Stability is the major concern in the electric power system. Zero reactive power makes a stable power system over the entire network. In DFIG power system, stability can be assured when the system at both the stator and grid side is performing its task at unity power factor. The stator reactive power in Figures 18(a)–18(c) and Figures 19(a)–19(c) is close to zero using the three controllers, but it is better achieved in Figures 18(c) and 19(c) while using the PI-tuned fuzzy controller.
Also, among the three controllers, PI-tuned fuzzy has a better approach to fulfill the power factor regulation grid code requirement.
5. Conclusion
In this paper, the active and reactive power control system for DFIG-based wind turbine system is described. At first, theoretical and mathematical modeling of wind turbine system with a detailed explanation is described; then, a control system is established using a conventional PI controller, modern FLC, and PI-tuned fuzzy controllers. The vector control technique is used to independently control the flow of the active and reactive power between the stator of the DFIG and the grid. Stator flux orientation is used for the RSC, and voltage frame orientation is used for the GSC. Both controllers are properly tuned to get the desired result. Simulink modeling is conducted in MATLAB through the response characteristics obtained by the simulation results, and these results have been done under random wind fluctuations.
The active and reactive powers are controlled using the three controllers, and a comparison is conducted between them based on reference power tracking, stability analysis, and so on.
Among the three controllers, PI-tuned FLC has better results in terms of reference power tracking, reduced transient, and stability.
Practically, PI controller is most commonly used in wind power applications; however, it has a high starting overshoot problem. Modern FLC can reduce the drawbacks of PI controllers when well-designed is more efficient, but if it is not well-designed, fuzzy controllers can lead to mistakes. The fuzzy control system is more robust and flexible, but the design of FLC needs expert knowledge so that it is even normal to design an FLC that performs less than that of PI. But, the fuzzy logic controller along with the PI controller helped to enhance the designed system by almost eliminating the overshoot.
Currently, implementation of this method is rare, but in the near future, it will become applicable in wind farms. Finally, from all results and discussions, we can conclude that for controlling the active and reactive power in DFIG-based wind power systems, combining the two controllers will give better performance than using each alone.
Data Availability
The manuscript entitled Power Control of Wind Energy Conversion System with Doubly Fed Induction Generator has major findings like precise control of active power, reactive power using proportional plus integral (PI) controller, the fuzzy logic controllers, and PI-fuzzy controllers. This has been done after carrying out a complete model of grid tied wind energy conversion system. Precise control of active and reactive power using different alternatives has huge significance in real-time applications. Especially, the performance analysis of the controllers for better implementations and recommendations brings greater advantages. This has been done in this manuscript. The details can be seen in the actual document.
Conflicts of Interest
The authors declare that they have no conflicts of interest.