Abstract
In the present article, we have investigated a new family of nonsingular solutions of static relativistic compact sphere which incorporates the characteristics of anisotropic fluid and electromagnetic field in the context of minimally coupled theory of gravity. The strange matter bag model equation of state (EoS) has been considered along with the usual forms of the Karori–Barua metric potentials. For this purpose, we derived the Einstein–Maxwell field equations in the assistance of strange matter EoS and type ansatz by employing the two viable and cosmologically well-consistent models of and . Thereafter, we have checked the physical acceptability of the proposed results such as pressure, energy density, energy conditions, equation, stability conditions, mass function, compactness, and surface redshift by using graphical representation. Moreover, we have investigated that the energy density and radial pressure are nonsingular at the core or free from central singularity and always regular at every interior point of the compact sphere. The numerical values of such parameters along with the surface density, charge to radius ratio, and bag constant are computed for three well-known compact stars such as (, , and and are presented in Tables 1–6. Conclusively, we have noticed that our presented charged compact stellar object in the background of two well-known models obeys all the necessary conditions for the stable equilibrium position and which is also perfectly fit to compose the strange quark star object.
1. Introduction
Several few decades ago, an intellectual thinking came in mind of research collaborators why our Universe is much rapidly growing towards large expansion. They tried to find out reasons behind this accelerating growth of Universe. Then, in 1990s, it was found that our Universe is expanding due to two hidden key factors of the nature, in which one of them is the theorized form of the matter known as dark matter and the other is unknown dark energy. Later on, the right picture of these factors was revealed by the international research collaboration team in 1998 by observing supernovae type-Ia [1–9], which was later proved by surveying of the cosmic microwave background radiation [10, 11], huge scale structure [12–17], and Wilkinson Microwave Anisotropy Probe [18]. The above phenomenological factors of accelerating cosmic Universe can be well interpreted in higher order modified gravity theories rather than the concept of general relativity (GR) theory because these gravity theories could easily identify the right cosmological scenario of this mysterious Universe at the higher order curvature scale. For their assessment, several theoretical researchers and astrophysicists have contributed a quite exceptional work in different mathematical advances. To obtain these required mathematical setups, we can simply modify the Einstein–Hilbert action of corresponding to alternative theories of gravity such as [19–22], [23], [24–26], and [27] gravity theories.
Exploring the physical stable configuration of relativistic stellar bodies, e.g., black hole, strange quark stars, pulsars, neutron stars, and white dwarfs in modified gravity theories, would be a good task to grasp this issue at the theoretical and the astrophysical gauge for the researchers. In the massive stellar bodies, the analysis of huge gravitational attraction clearly defines the basic differences between GR and its alterations. The formation of huge dense star in an alternative theory of gravity has included several fruitful characteristics to star models [28–36]. Psaltis [37] investigated that the huge gravitational field can be reviewed as modified theories of gravity. Briscese et al. [38] have proposed the stable position of objects in gravity as a test of the theory’s consistency. They reported that some paradigms of gravity cannot maintain the stable position of star and are treated unreliable. From the analysis of Tsujikawa et al. [39], the unreliability regarding the stable position of these stellar bodies can be eluded due to scalar tensor theory. Despite of these outcomes, various concrete solutions have been made in the modeling of neutron stars by employing the theory of gravity [40–48].
In the current investigation, we tried to find out new verity of nonsingular solutions of charged anisotropic relativistic compact stellar models in minimally coupled gravity that were priory propounded by Alcock et al. [49] and Haensel et al. [50]. In regard to the existence of these objects, many attempts have been performed with different mechanisms during the last decade. Very recently, Shamir and Fayyaz [51] studied different properties of anisotropic compact celestial objects for Tolman–Kuchowicz spacetime by considering two viable classes of models. The same author and his collaborators [52] determined the physical aspects of compact stellar bodies for line-element in modified context. Yousaf et al. [53] investigated the impacts of different viable paradigms on the existence of anisotropic stellar compact objects and found that these paradigms are well behaved at the astrophysical and the theoretical scales. The physical features of anisotropic spherically symmetric strange stars with quintessence field were discussed by Abbas et al. [54] for the specific pattern of the model. Zubair and Abbas [55] found various realistic solutions of anisotropic interior compact celestial systems in the framework of gravity. Sussman and Jaime [56] explored the viable characteristics of the model for nonstatic LTB spacetime in the presence of traceless anisotropic pressure tensor. Shabani and Ziaie [57] revealed the influence of the particular model on the stability of an emerging Einstein Universe by employing the dynamical and numerical approaches. Garattini and Mandanici [58] proposed some equilibrium stable formations of different compact stellar systems and analyzed that additional higher order curvature terms emerging from rainbows gravity are likely to support different models of stellar systems. Several results of the anisotropic cosmic evolution in the background of different particular choices of models were suggested by Sahoo et al. [59, 60]. From the literature survey, several phenomenal findings regarding these compact objects have been investigated in different alternative gravity theories with distinct approaches [61–69].
In spite of these consequences, several realistic features of anisotropic compact stellar systems have been examined in during the couple of few decades. Some notable exact solutions for the Einstein field equations with anisotropic source distributions in different backgrounds have been determined by Bayin [70], Cosenza et al. [71], and Harko and Mak [72, 73]. Mak and Harko [74] found a class of exact solutions of gravitational field equations for the physical existence of a compact object made of a strange quark matter. Kalam et al. [75, 76] proposed different analytical solutions of anisotropic compact stellar objects with spacetime. Hossein et al. [77] analyzed the physical aspects of the anisotropic celestial system in the presence of a cosmological constant. The analytical results of Einstein field equations describing the static anisotropic matter distributions of compact objects were examined by Bhar et al. [78, 79]. Very recently, the new family of exact solutions of the embedding class 1 method for relativistic anisotropic stellar bodies was explored by Singh et al. [80]. The same author and his collaborators [81] established new exact solutions of Tolman for anisotropic spherically symmetric compact star candidates in the presence of exotic matter nonlinear . Various physical aspects of relativistic anisotropic compact celestial objects with the dark matter density profile were evaluated by Sarkar et al. [82]. Moreover, the physical realistic solutions of the profile for anisotropic relativistic compact stellar bodies were determined by Errehymy and Daoud [83].
The motivation for introducing an electromagnetic source in a matter distribution can be well justified in light of some theoretical manifests based on new techniques allowing for the appearance of a greater charge in relativistic compact celestial bodies. Particularly, there is a chance of an immense electromagnetic field in compact stellar bodies with a strange quark matter. A concerning problem emerges from the fact that, if star can hold a nonzero amount of charge, the contraction of such star can lead to a Reissner–Nordström black hole. A quite novel study presented by Rosseland [84] affirmed that the independent electrons of the extremely ionized gas that creates the star can be expelled due to its immense thermal velocities. In fact, a stellar body can hold a large value of electric charge maintaining stability [85, 86]. Rahaman et al. [87] studied several realistic properties of charged anisotropic compact objects with strange matter . The embedding class 1 solutions of spherically symmetric compact stellar objects with charge distribution were investigated by Maurya et al. [88]. Thirukkanesh and Maharaj [89] concluded that the stability of a relativistic stellar object boost up with the infusion of an electric charge. Esculpi and Aloma [90] reported that the charge and anisotropy increases the stability of the object under certain bounds. Eiroa and Simeone [91] found that the electromagnetic field enhances the region of consistency for both shells and bubbles around a black hole.
The strange matter based on the bag model has a crucial role in the modeling of very massive dense strange quark stars. It has been foreseen that a neutron star is an end state of the gravitationally collapsed object which after consuming all its thermonuclear fuel comes into stabilized position by degenerating pressure. After a short period of the detection of the particle “neutron” by Chadwick, the occurrence of neutron stars was forecasted. Subsequently, the notion got observational assistance with the detection of pulsars [92]. With the progress in our thinking of particle interaction at greater energy, theoretical composition of neutron stars has quite enhanced during the last few decades [93]. The speculation that the quark matter can be the most probable state of hadrons [94, 95] has focused to the debates of a complete new class of celestial objects composed of deconfined , , and quarks, generally says that strange quark stars.
According to above certain particulars, we have attempted to discuss the interior charged sphere distribution in the assistance of strange matter within the context. The realistic features of the physical parameters for the obtained solutions have been comprehensively studied, and its numerical estimation is also obtained. The arrangement of this manuscript as follows: in Section 2, the Einstein–Maxwell field equations for static anisotropic charged sphere case are formulated, and its corresponding solutions with central and surface values are also obtained. Section 3 deals with the unknown arbitrary constants that have been derived from the smooth matching conditions of the interior metric and exterior Reissner–Nordström solution. The estimated values of the physical parameters for our strange star candidates and their physical significance including energy conditions, equation, anisotropy, and stability conditions are thoroughly discussed in Sections 4 and 5, respectively. In subsequent section, we have examined various physical profiles such as effective gravitational mass, compactification factor, and surface redshift for our presented star candidate. Finally, Section 7 comprises the final remarks for our present strange star candidate.
2. Charged Interior Anisotropic Matter Configuration
We considered the static spherically symmetric strange star configuration which is bounded by interiorly charged anisotropic source distribution within the framework of so-called gravity theory. The general formulation of Einstein–Hilbert (EH) action in GR is expressed by
The above action in metric formalism with minimally coupled Maxwell source has the following form:where determines the role of Maxwell invariant, corresponds to the generic function of Ricci scalar , and represents the coupling constant. Therefore, the set of field equations can be acquired by the variation of equation (2) w.r.t metric tensor:
Here, is an electromagnetic tensor, indicates an energy-momentum tensor, is the derivative function of Ricci scalar , corresponds to the D’Alembert operator, and stands for the covariant derivative. The above equation can be rearranged in the form of Einstein tensor which yield aswhere with
The role of as an effective energy-momentum tensor arrives from the theory parameter, which literally describes that the nature of dark energy correlates with early and late time accelerating expansions of the cosmic Universe in the gravitational system. In other words, this factor expresses the fourth order differential geometry to identify the huge curvature at the astrophysical and cosmological backgrounds. Now, we presume the interior static strange star distribution defined by the [96] line-element and is given bywhere and are the two metric variables that depend on function and positively assumed. It is equivalent to the type solutions where and . Thus, , , and are the arbitrary constants and would be investigated later through matching conditions. The Einstein–Maxwell field equations can be arranged with the help of equations (3) and (6) by employing and read bywhere signifies the total charge inside the matter spheroid of radius . The following specific bag model [49, 94, 95, 97, 98] determines the strange matter distribution in the interior celestial object and is read as
Here, is defined as the bag constant. The difference between the bag constant and mass density of the perturbed and nonperturbed vacuum was investigated by Mak and Harko [74], and the units of bag constant is derived by Chodos et al. [98].
2.1. Solution of Modified Field Equations
There are five independent equations together with above given in five unknowns, namely, energy density , pressures ( and ), electric field , and proper charge density . The solution sets of these unknown parameters are determined from equations (7)–(11); by implementing the type ansatz and , it becomeswhile the charge density is evaluated aswhere
The total charge within a compact sphere of radius becomes
2.2. Constraints on Physical Parameters
To examine the regular value (from central singularity free) at the core of the strange stars models for the physical acceptability of energy density and pressure . These physical parameters are analyzed in the form of analytical expressions and are given by
The above solutions ( and ) are free of central singularity and finite (regular) at the core of the different strange star candidates. There is also nonnegative behavior and maximum position at the center of the compact sphere. The numerical values of the said parameters are provided in Tables 1–6 for three different strange stars ( , , and ) with two cosmologically prominent viable models. Moreover, at the core of compact sphere, the electric field must disappear for the requirement of regularity condition. The regularity of the electric field turned out to be
From the above result, we obtain the value of the bag constant .
We used the value of the bag constant in equation (16) and then obtained the parameter in terms of the central density and modified terms which is expressed by
The numerical values of are provided in Tables 1–6 for three distinct strange star candidates through two different viable models for the values of free parameter .
3. Matching Conditions
We explore the three unknown arbitrary constants in terms of , , and by imposing the smooth matching conditions between the interior spacetime and exterior Reissner–Nordström solution at the bounding three-surface (where ) of the fluid sphere. Both interior and exterior metrics at the bounding hypersurface must be continuous. Hence, the exterior line-element of the spherical star was well depicted by the Reissner–Nordström solution [99, 100] and is expressed bywhere , , and are the total charge surrounded within a bounding three-surface, the total mass of the gravitational system, and the radius at the bounding hypersurface (i.e., where exterior and interior spacetimes are smoothly matched). The continuity of the gravitational potentials , , and across the junction interface between the exterior and interior geometries of the sphere provides the following expressions:
The resulting expressions (22)–(24) yield the following outcomes for the arbitrary unknown constant parameters:
Consequently, we found the solutions of these unknown parameters , , and in the form of total charge , mass , and radius for our proposed different strange stars which are quite suitable to describe the graphical evolution. The approximated numerical values of these unknown parameters for three different strange star candidates , , and with two distinct viable models are given in Tables 1–6. Here, it would be very necessary to examine the analytical expression of the charge of the strange star. So, we employed the above equations on the system constraint and is given by
Alternatively, we obtained the numerically solved estimated value of the above result to the ratio of charge and radius for the given compactness of star. In spite of this condition, there is another estimation that should be validated between the charge radius ratio and the compactness as . The maximum allowable limit of the charge to radius ratio is given in Tables 1–6 for different celestial objects with two well-known models for different choices of free parameter . These numerical estimated values signify that our presented celestial objects are very capable to be strange stars instead of neutron stars.
4. Analysis of Physically Estimated Values
Since we have examined the physical bounds of the compact stars along with their corresponding unknown parameters that are well-consistent to our standard observational data, we noticed from this investigation that the compactification of the star is greater than that of a neutron star. This analysis would be very fruitful to obtain an estimation of the physical reliable results, namely, matter density, pressure, charge to radius ratio, and the bag constant. We studied compact star candidates of distinct compactness and computed the relevant unknown constant parameters. The numerical values are given in Tables 1–7. For instance, we observed the estimated values of candidate of mass and radius in the background of the viable model for the value of , and the numerical values of the unknowns are gained as , , and in units of and . Substituting the values of and into the corresponding expressions, afterwards, the values of the physical parameters and the bag constant are , , , and , respectively. Note that for the next increasing values of , the corresponding values of the unknowns, energy density, pressure, and bag constant increase, but the value of charge to radius ratio decreases (Table 1). At similar fashion, one can also check the values of these physical parameters against another well-known viable model . From the constraint of equation (26), the minimum value of the charge to radius ratio is 0.0128 against the minimum compactness of the given star data. Hence, for the star of mass , the relevant maximal radius is . For the feasible reliable investigation of the physical parameters at the interior of the celestial object, we have considered the object and drawn different evolutions of the matter density, pressures (radial and tangential), electric field, energy conditions, equilibrium equation, and stability parameters.
Moreover, in this scenario, the value of escalates with the increment of the compactness (i.e., is the density reliant). An ultradense object wants maximum . The corresponding attentions were determined in [101], where a density-reliant has been considered to paradigm magnetized strange quark structures. To continue this description, the leading motivation of Farhi and Jaffe [95] presented that for the stable strange matter configuration and estimated that the must encompass nearly . In comparison of these results, our outcomes indicate that with the incorporation of electromagnetic charge and anisotropy, returns in a greater value. In regard of the study by Farhi and Jaffe [95], the investigation was identified for a -stable strange quark matter fulfilling the baryon number conservation principle where the uncharged state was considered. The framework of stability was constituted by three factors such as , the mass of the quark particles, and the coupling constant. What comes off if the uncharge state is not implemented is not clear from the study. For a likely immense strange quark matter, there might be a gathering of an absolute positive charge in the interior of the object. Perhaps, in the inclusion of electric charge, to resist the directed outward force produced due to the electromagnetic field, the bag pressure escalates. The point, although, is a problem of more analysis. Thus, when one wants to employ a mathematical consistent and physically reliable exact result to paradigm strange objects, the does not carry a constant. Therefore, it becomes a free parameter that depends on the compactification of the object.
5. Physical Aspects of the Object
5.1. Evolution of Matter Density, Pressure, and Electric Field
In this conjecture, we described suitable aspects of the various physical parameters, namely, energy density, radial and transverse pressures, electric field, and derivative function of the energy density and radial pressure for the proposed candidate in the background of two popular and cosmologically viable classes of models. These types of feasible models are [102] and [42], in which one of them is recognized as quadratic curvature formulation of the generic function of Ricci scalar and the other is the modified form of the prior model in terms of cubic corrections. Several reasonable outcomes of these models have been devoted in the literature [53, 103–106] for the physical evaluation of the collapsing star and the stable equilibrium condition of the star at the theoretical as well as the astrophysical backgrounds.
It would be very necessary to discuss on the role of model parameters because they should be quite consistent and right for the stable formation of the interior celestial object. Besides other unknown parameters, these are considered as initial parameters and govern the physical aspects and their graphical evolution of the stable object. Hence, in our first suggested paradigm , the value of is considered as 0.1–0.3 at equal intervals of units, and this similar approach was used for the model , in which .
To obtain the stable configuration of the compact star, there are several feasible features available from which first we analyze matter density and radial and transverse pressures for their physical credibility and graphical evolution. These said parameters must be free of central singularity or regular at the core of the interior compact stellar object as well as nonnegative throughout the whole distribution. Also, the nature should be maximum around the center where and minimum at the boundary surface of the sphere where . The derivatives of the matter density and radial pressure are monotonically decreasing functions of , i.e., their evolution satisfies the bound .
The evolution of the energy density with their respective models for the interior compact object is studied and shown in Figure 1. It is seen from Figure 1 that each plot of the energy density shows nonnegative nature within the entire region of the star, and it suggests maximum behavior at the center and minimum towards the boundary surface of the sphere. Apart from this description, one important point to discuss is that the numerical value of the central density is up most in competition of the surface density of the compact star candidates (Tables 1–6), which is actually the property of massive strange quark stellar objects [107–110]. Figures 2 and 3 show the evolutionary nature of the radial and transverse pressures through graphical analysis by using two well-known models. One can easily understand from Figures 2 and 3 that the radial and tangential pressures with their respective models represent positive evolution in the entire distribution of the star and indicate the utmost regular behavior at the core of the star but low most at the boundary surface where . In particular, we note that the radial pressure sharply dies out at the boundary sphere [111], but transverse pressure does not disappears promptly at the surface of the sphere which displays the spheroidal nature of the strange celestial star [112–114]. Figure 4 shows the distribution of the derivative function of energy density and radial pressure by employing the numerical values of different unknown parameters. It can be eminently seen from Figure 4 that both combined plots with their respective models indicate monotonically decreasing nature within the entire region of the sphere, i.e., they possess negative behavior at the interior of the star. Moreover, we plot the evolution of the electric field for the proposed object with two viable models (Figure 5). The evolutionary behavior of the electric field in each respective plot suggests positive nature and increases with the increase of of the celestial star.

(a)

(b)

(a)

(b)

(a)

(b)

(a)

(b)

(a)

(b)
5.2. Equation of State
We shed light over the results of parameters for the presented interior candidate with two prominent and cosmologically viable models. Various consequences of the parameters have been observed in different mechanisms [115–117]. Thus, the required analytical expressions of parameters for our proposed object are given as
Here . Figure 6 shows the examination of the physical evolution of parameters, namely, and for our presented stellar object in the background of two well-known models. It can be clearly seen from Figure 6 that each combined plot with a magnified image of and shows positive behavior within the entire configuration of the system and gradually decreases from the center towards the boundary surface of the star. We also note that the nature of and remains in the range between 0 and , i.e., , which clearly signifies the nonexotic behavior [118] of the principal matter configuration.

(a)

(b)
5.3. Energy Conditions
Here, we confirmed various energy conditions for charged anisotropic relativistic strange matter distribution in the framework of metric gravity. These energy conditions earned a much significant role for any physically realistic choice of interior matter configuration because these must be positive at any interior point of the entire region of the star. Therefore, we satisfied various energy conditions, namely, null energy conditions , weak energy conditions , and strong energy conditions . The following inequalities fulfill simultaneously for all interior points of the strange star distribution.
We determined the combined nature of above inequalities (28)–(30) for our presented strange star candidate with two viable classes of models in Figure 7. It is obviously seen from Figure 7 that both plots of the combined energy conditions with their respective models show positive nature within the whole distribution of the star. Thus, the representation tells us that all the energy conditions are satisfied and well tested for our proposed strange star object, which actually indicates towards the physically realistic configuration of the system.

(a)

(b)
5.4. Equilibrium Condition
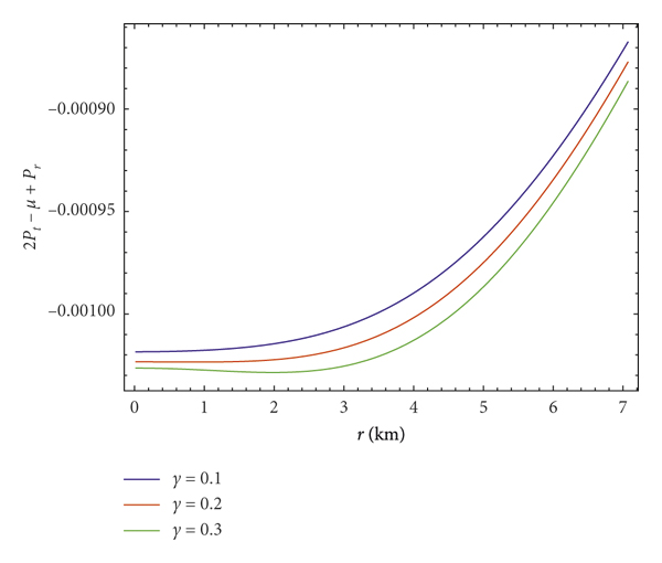
In this analysis, we focused on the modified hydrostatic equilibrium condition for the investigation of physical viability of our presented strange celestial object. In the modified equilibrium condition, any anisotropic-charged relativistic matter composition is in the stable state under the combined effect of several forces, which are dark force, electric force, anisotropic force, hydrostatic force, and gravitational force. The stable state of any matter composition can be studied by proving the generalized Tolman–Oppenheimer–Volkoff equation [119,120,121]. Thus, the modified equation has turned out to be the following form.
The result of equation (31) defines the stable position for the anisotropic-charged matter sphere under the combined effective behavior of five forces such as dark force due to dark source term, electric force , anisotropic force , hydrostatic force (), and gravitational force . So, the above result can also provide the following stable formation:where
Here, represents the dark source term determines from the fourth order geometry and is given by
We plot the combined action of five different forces predicted by equation (32) for the presented object with two different choices of viable models as shown in Figure 8. One can easily note from Figure 8 that each plot of the equilibrium condition with their respective models suggests that the hydrostatic, anisotropic, electric, and dark forces act in outward direction or have a repulsive role in nature and gravitational force acts in inward direction or have an attractive role in nature. As a result, we can say that our present strange star candidate is in better equilibrium situation and a physically more reliable candidate.

(a)

(b)
5.5. Anisotropy Estimation
We examined the anisotropic stress for our obtained solutions of the stellar system in the background of two specific models. The anisotropy of the present strange star object can be defined as
Equation (35) describes the effect of anisotropic force on the charged spherical system that generates due to the anisotropic stress of the source. If the pressure anisotropy acts in outward direction or will be repulsive in nature, then , i.e., , whereas if it acts inward direction or attractive in nature, then , i.e., , as predicted by Hossein et al. [77]. Figure 9 shows the graphical nature of anisotropic stress of the fluid sphere by using two well-known models. It is obviously seen from Figure 9 that the anisotropic pressure gradually boosts from the center towards the boundary surface of the star where , and it remains positive throughout the whole configuration of the sphere or . This constraint yields that the pressure anisotropy is in outward direction or repulsive in nature, and it helps to construct the ultradense compact stellar body [122, 123].

(a)

(b)
5.6. Stability Analysis
We investigated the stability via Herrera’s causality condition and the cracking method [124, 125] for the physical acceptability of the presented solutions by employing different unknown parameter values. The causality condition of the stability analysis tells us that the square of the radial sound speed and the transverse sound speed should always remain in the range between and . Another method describes that the region for which the radial sound speed exceeds than that of tangential sound speed is a potentially stable region [124–128]. As a result, Herrera [125], Abreu et al. [127], and Andréasson [128] suggest the inequality for stable matter configuration. This inequality is familiarized as “no cracking” to occur, i.e., potentially stable region. The generic formulae of the squares of radial and tangential sound speeds can be written as
Figure 10 explains the nature of the causality condition for the proposed object w.r.t. two well consistent models. The profile of the causality condition shows that the squares of radial and tangential sound speeds does not cross the certain range within the whole distribution of the star. From Figure 11, we determine the potential stable configuration for the inequality . This inequality suggests that “no cracking” occurs within a fluid sphere, which indicates the confirmation of Herrera’s cracking concept [125]. The magnitude of the difference between the squares of tangential and radial sound speeds is shown in Figure 12. It can be easily understood from Figure 12 that each plot of with their respective models represents the monotonically increasing nature with the increase of , but it always less than one. Consequently, our present system maintains the stability with Herrera’s cracking method and resumes the stable position.

(a)

(b)

(a)

(b)

(a)

(b)
5.7. Static Stability Criterion
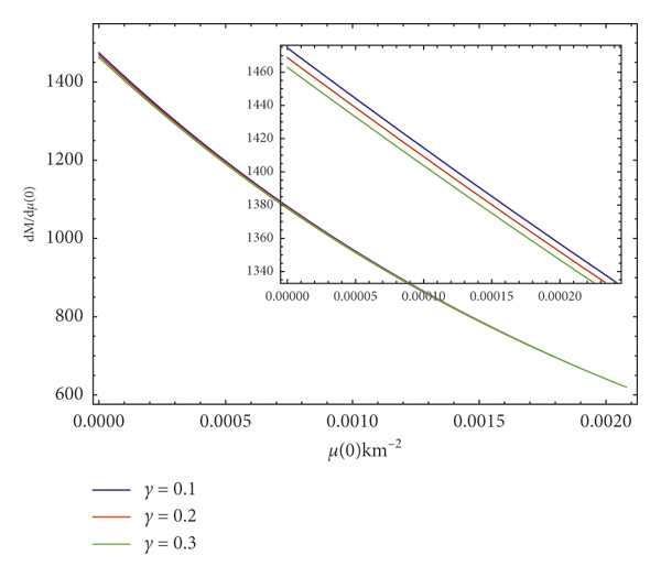
Another important criterion is the static stability to study the stable position of the compact celestial object. This criterion was considered by Harrison et al. [129] and Zelʼdovich–Novikov [130] for stable equilibrium position of the matter object. They proposed that the matter of the celestial body should be the boosting function w.r.t. of the central density for the stable equilibrium position, i.e., , and it will be the unstable position in case of . For our proposed candidate, the mass in terms of central density is defined as
Alternatively, we obtain
We plot the graphical evolution of mass as a function of central density for candidate with their respective models of (Figure 13). Each profile of with a magnified image represents the positive evolution in the entire region of the star, and it attains the maximum amount at the center of the sphere. Accordingly, there is another condition that confirms the stability position for our stellar system.

(a)

(b)
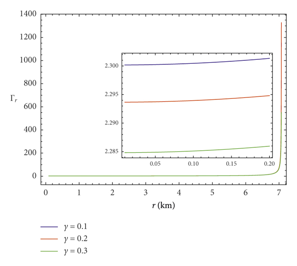
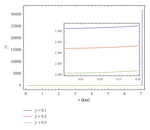
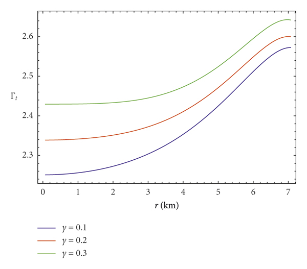
5.8. Adiabatic Index
The term adiabatic index is described as the ratio of two specific heats [131]. The adiabatic index is the foremost parameter that ruins the stability of any celestial body. We can employ it to examine the stability of relativistic and nonrelativistic source systems. For anisotropic source distribution, the Bondi [132] analysis reveals that the adiabatic index can be written as radial and transverse adiabatic indices and , respectively. According to Bondi [132], for the stable Newtonian system, and are the constraints of neutral equilibrium. For the relativistic isotropic system, the above constraint changes due to the regenerative effect of the pressure which manifests the system more unstable. In case of the general relativistic anisotropic system, more problems emerge because the nature of anisotropy determines the stability of the celestial body. The adiabatic index must be greater than in an interior relativistic anisotropic stable star as proposed by several researchers [131, 133, 134]. Thus, the adiabatic indices ( and ) for our obtained solutions are expressed as
The evolutionary nature of both adiabatic indexes ( and ) in Figures 14 and 15 indicate the viability of our presented object w.r.t. two specific models. One can eminently observe that from Figures 14 and 15, both the profiles of adiabatic indices show monotonically increasing nature with the increase of and remain positive in the whole configuration of the star. It would be necessary to mention here that and exceed than within the entire region of the celestial sphere, which signifies the potentially stable position of the object against the radial perturbation.

(a)

(b)

(a)

(b)
6. Effective Mass Function, Compactification Factor, and Surface Redshift
In this evaluation, we studied the effective gravitational mass function as well as other standard prominent profiles for the physical credibility of our proposed compact celestial object in the presence of two viable models. Thus, we initially discuss the modified effective gravitational mass function for the charged anisotropic source distribution as reported by equation (7) which reads
The physical determination of effective gravitational mass for the candidate in the presence of two specific models is shown in Figure 16. It is clearly seen from Figure 16 that each plot of effective gravitational mass indicates that the evolution is positive throughout the interior distribution of the star and is a monotonically increasing function of the radial parameter . It is also noticed here that the mass function is regular at the center of the star, i.e., and . Besides this picture, one vital point to mention here is that the maximal numerical value in each profile remains in the limit 2.1166 (Table 7). Hence, this result strongly suggests that our proposed strange star candidate is physically acceptable and well consistent.

(a)

(b)
According to Buchdahl [135], for static isotropic fluid sphere, the maximum allowable limit of twice the mass to radius ratio of a compact object should be less than , i.e., . Later, this result was generalized by Mak et al. [136] for the charged relativistic source distributions. In 2009, Andreasson [128] generalized Buchdahl’s result for relativistic charged anisotropic matter configuration and formulated the upper bound on the mass to radius ratio for the charged spherical system as . To derive this solution, Andreasson considered the relation between pressures ( and ) and energy density as . This condition must be fulfilled for the allowable limit of Andreasson. So, the required compactification factor of the stellar star is as follows:
Figure 17 illustrates the compactification factor against the radial coordinate for the present stellar configuration with two prominent types of models. Each plot transparently shows that the compactification increases with the increase of and attains the maximum position at the boundary surface of the star. Moreover, this maximum position of always remain in the specified range of Buchdahl [135]. We analyzed the evolution of Andreasson inequality w.r.t. radial parameter (Figure 18). One can easily observe from Figure 18 that both profiles of represent the negative evolution at every interior point of the fluid sphere that actually confirms Andreasson bound. Hence, these results evidently suggest that our considered celestial object should be a strange star candidate.

(a)

(b)

(a)

(b)
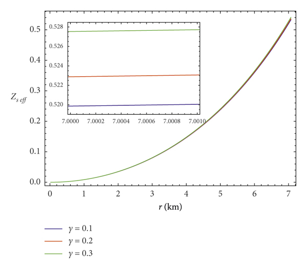
The surface redshift corresponding to the compactification factor can be defined as
Here, we report some novel results of surface redshift upper bound for isotropic and anisotropic matter distributions with and without a cosmological constant. Barraco and Hamity [137] investigated for isotropic fluid sphere in the absence of a cosmological constant, whereas Ivanov [138] proved that the maximum allowable value of surface redshift must lie in the range for the isotropic star. In the presence of a cosmological constant, Bohmer and Harko [139] calculated the maximum upper bound of surface redshift as for anisotropic fluid sphere. In connection of this discussion, for anisotropic-charged strange star models, the maximum value of surface redshift is in better position for our present candidate. We plot the graphical behavior of surface redshift as a function of for the present stellar star candidate w.r.t. two viable models (Figure 19). It can be clearly seen from Figure 19 that both profiles of surface redshift show monotonically increasing nature throughout the interior star distribution, and it is finite at the center of the sphere where . So, this position ultimately indicates that our strange star models are in good agreement and physically well consistent (Figure 20).

(a)

(b)

(a)

(b)
7. Conclusions
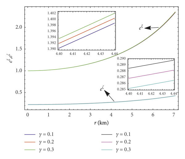
The present manuscript explored the new viable solutions of charged anisotropic strange star models by implementing the observational values of well-known compact objects within the framework of so-called theory of gravity. This investigation was made for relativistic charged fluid sphere case in the assistance of the simple bag model and type metric solutions and [96]. The results of this technique for our compact star candidates are free from central singularity as well as physically acceptable with two well-known and cosmologically viable models such as [102] and [42] at the theoretical and the astrophysical gauge. For this evaluation, from the set of equations (7)–(11) along with type metric solutions, we have found out the solutions of different physical parameters for the graphical nature of our proposed compact object. Thereafter, we have determined unknown arbitrary constant values by employing the smooth matching between the interior and exterior Reissner–Nordström spacetimes at the bounding three-surface. Moreover, the numerical values of these unknown arbitrary constants, central parameters ( and ), and surface parameter () for distinct intervals of free parameter of two viable models and against three distinct compact celestial objects ( , , and ) are given in Tables 1–6. Accordingly, we have mentioned several important silent features for our proposed candidate in the following way:(i)Metric coefficients: the metric coefficients or metric potentials are geometrical representatives of the spacetime, and it is also independent from physical and geometrical singularities. Their evolution in both models for candidate represents positive nature within the entire region of the star and gradually increases with the increase of the radial parameter (Figure 20).(ii)Density, pressure, and electric field: we plotted the evolution of several physical parameters, namely, energy density, radial and tangential pressures, electric field, and derivative function of energy density and radial pressure w.r.t. two particular types of models in Figures 1–5, respectively. One can easily observe from Figures 2–5 that each profile of energy density, radial pressure, tangential pressure, and electric field suggests positive evolution throughout the whole interior distribution of the fluid sphere and remains regular (finite) at every interior point of the star. One important point that should be necessarily discussed is that the numerical values of central density are greater than the surface density (Tables 1–6), which actually expected the very massive strange quark star objects [107–110]. We have also noted that the radial pressure sharply dies out at the boundary surface of the sphere, but tangential pressure does not exactly vanish, which clearly signifies the spheroidal nature for our candidate [112–114]. We have observed that from the evolutionary behavior of electric field, it remains positive and finite at every point of the interior compact sphere. Next, we investigated the combined graphical nature of derivative function of energy density and radial pressure as shown in Figure 4. The nature of both profiles with their respective models remains nonpositive within the whole distribution of the compact star and disappears at the core, which strongly supports the maximum rate of energy density and radial pressure for our presented model.(iii)Energy conditions: we shed light over different energy conditions such as null energy conditions , weak energy conditions , and strong energy conditions for the physical viability of our obtained solutions. These energy conditions have been satisfied at every interior point of the fluid sphere and always remain positive in the entire region of the star (Figure 7).(iv)Hydrostatic equilibrium equation: there is another important feasible criterion that has been fulfilled by the modified conservation equation or generalized equation (31) as predicted by under the action of five different forces, namely, additional dark force , electric force , anisotropic force , hydrostatic force , and gravitational force . We examined the combined graphical nature of five forces with their respective models for our proposed compact star candidate as shown in Figure 8. The combined effect of dark force, electric force, anisotropic force, and hydrostatic force balanced the effect of gravitational force. So, the presented situation has satisfied the equilibrium position [120, 121] for our object. The modified equation (31) can be reproduced into the standard form by simply imposing .(v)Anisotropy: in our proposed star candidate, the anisotropy of pressure maintains positive nature, i.e., within the entire region of the star, and it is regular (singularity free) at the core of the fluid sphere (Figure 9). Moreover, it monotonically increases from the center towards the boundary surface of the star and attains maximum limit. This maximum limit tells us that our proposed compact object predicted an ultradense strange quark star [123].(vi)Stability analysis: we checked the stability condition by employing Herrera’s causality condition and the cracking method [124, 125] for our physically acceptable solutions (Figures 10–12). The inequalities , , , and have been satisfied inside the compact celestial object and always remain in the certain range throughout the whole distribution of the sphere (Figures 10–12). Therefore, the presented position strongly defends that our proposed object is in good situation or physically in a potential stable state [124–128].(vii)Static stability criterion: Harrison-Zelʼdovich–Novikov criterion of static stability [129, 130] was estimated (Figure 13) for candidate. We observed from Figure 13 that the physical evolution of mass function w.r.t. central density remains nonnegative in the entire configuration of the star, i.e., . Consequently, our presented stellar system obeys the stability condition by the Harrison-Zelʼdovich–Novikov approach.(viii)Adiabatic indices: the adiabatic indices and were graphically analyzed for our presented object with two specific viable models, respectively (Figures 14 and 15). Each plot of adiabatic indices with their respective profiles suggests the positive nature in the whole interior distribution of the star, and it is a monotonically increasing function of the radial coordinate . Moreover, it is finite at every interior point of the sphere and also greater than at the core of the star, which actually indicates the stable Newtonian position for our star [132].(ix)Equation of state: we have proved another stability criterion by using parameters for our physically realistic solutions. From Figure 6, we have observed that the variation of parameters ( and ) always remains in the range between 0 and . It transparently shows that and are nonnegative within the entire region of the sphere and attain maximum amount at the core of the star where and gradually decreases with the increase of radial parameter . Indeed, as a result, the matter configuration is nonexotic in nature [118].(x)Mass function, compactification factor, and surface redshift: the physical variation of different profiles such as mass function, compactification factor, Andreasson bound, and surface redshift was examined (Figures 16–19). The gravitational mass function is regular (free from singularity) at the core and gradually increases from the center towards the boundary surface of the star where . The compactification factor obeys Buchdahl condition [135] and does not cross the allowable range for the mass to radius ratio. It is finite at every interior point of the star and positively increases from the center towards the surface area. The inequality has been satisfied Andreasson bound for charged compact sphere. We have determined that the inequality is negative inside the stellar object and remains negative at every interior point of the star. From Figure 19, we studied the evolutionary nature of surface redshift with their respective models. It suggested that the evolution is positive and attains maximum allowable value at the boundary of the star where . Hence, the present results suggest that our proposed compact star object should be a strange quark star.
In the present scenario, we explored the new viable solutions of charged strange star models with the strange matter bag model along with type metric ansatz in the background of so-called gravity. From this study, we obtained a wide family of solutions for our proposed compact object. The solutions are free of central singularity, physically realistic, and stable in the entire distribution of the fluid sphere. Conclusively, we expect that our presented celestial object is an ultradense strange quark star and quite fit with two specific viable models at the theoretical and the astrophysical scales. Moreover, in future, we will try to find out these results in other alternative theories of gravity such as , , and theories of gravity.
Data Availability
The data used to support the findings of this study are available from the corresponding author upon request.
Conflicts of Interest
The authors declare that they have no conflicts of interest.