Abstract
The experimental data from the RHIC and LHC experiments of invariant spectra for most peripheral and collisions are analyzed with Tsallis distributions in different approaches. The information about the freeze-out surface in terms of freeze-out volume, temperature, chemical potential, and radial flow velocity for , , and and their antiparticles is obtained. Furthermore, these parameters are studied as a function of the mass of the particles. A mass dependent differential freeze-out is observed which does not seem to distinguish between particles and their antiparticles. Furthermore, a mass-hierarchy in the radial flow is observed, meaning heavier particles suffer lower radial flow. Tsallis distribution function at finite chemical potential is used to study the mass dependence of chemical potential. The peripheral heavy-ion and proton-proton collisions at the same energies seem to be equivalent in terms of the extracted thermodynamic parameters.
1. Introduction
High-energy heavy-ion collisions provide a unique opportunity to study the nuclear matter under extreme conditions, that is, at high temperature and/or density. Due to high multiplicities produced in and collisions, the statistical models are more suitable to describe the particle production mechanism. Such a statistical description of transverse momentum of final state particles produced in high-energy collisions has been proposed to follow a thermalized Boltzmann type of distribution as given by [1]
To account for the high- tail, a power-law in has been proposed [2–4], which empirically accounts for the possible QCD contributions. Hagedorn proposed a combination of both the aspects, which describes the experimental data over a wide range [5] and is given bywhere , , and are fitting parameters. This becomes a purely exponential function for small and a purely power-law function for large values. A finite degree of deviation from the equilibrium statistical description of identified particle spectra has already been observed by experiments at RHIC [6, 7] and LHC [8–11]. Contrary to a thermalized system, where is associated with the temperature of the hadronizing matter, one fails to make such a connection in case of systems which are far from thermal equilibrium. In the latter systems, the temperature fluctuates either event by event or within the same event [12]. This creates room for possible description of the spectra in high-energy hadronic and nuclear collisions, using the nonextensive Tsallis statistics [13–15]. A thermodynamically consistent nonextensive distribution function is given by [16]Here, is the transverse mass and is called the nonextensive parameter, a measure of degree of deviation from equilibrium. Equations (2) and (3) are related through the following transformations for large values of :
In the limit , one recovers the standard Boltzmann-Gibbs distribution (see (1)) from the Tsallis distribution (see (6)). Here the effective kinetic freeze-out temperature () as obtained from the inverse slope of the -spectra using (1) is related to the Tsallis temperature bywhere and and they are obtained numerically for distributions with same mean transverse momentum, , as discussed in [17] for collisions in the low- ( GeV/c) regime.
Tsallis statistics is used widely to explain the particle spectra in high-energy collisions [12, 22–27] starting from elementary , hadronic, and heavy-ion collisions [6, 28–44]. The produced particles from the collisions carry the information about collision dynamics and the subsequent space-time evolution till the occurrence of the final freeze-out. The evolution of the partonic system created in high-energy experiments is generally believed to be best described by hydrodynamics of an almost ideal fluid [45]. This approach gives a fair description of data on the transverse momentum spectra of hadrons, which are treated as one of the important tools to understand the production dynamics of particles in high-energy collisions. The systematic analysis with the help of an appropriate model or approach guides us to understand various thermodynamical as well as hydrodynamical properties of the fireball at different stages of its evolution. The integrated yields of various hadronic species at different center of mass energies are used in the present work. The corresponding freeze-out parameters for each hadronic species at the time of their freeze-out can be obtained from the analysis of their respective transverse momentum distributions. Different forms of the invariant yields using Tsallis distribution are available in the literature [24, 46, 47]. In the present work we have used all of these forms to study the temperature , chemical potential , radial flow , volume , and nonextensive parameter . It should be mentioned here that the parameter is not necessarily related to the volume one obtains from HBT like experimental measurements. Further, we study the mass dependence of these parameters, which are obtained by analyzing invariant transverse momentum spectra. For the present analysis, we have used the data of and collisions of different experiments at RHIC and LHC. We observe a clear mass dependence of the above parameters, and the behaviour is found to be consistent from most peripheral collisions to collisions. The obtained thermodynamic parameters in collisions are similar to those extracted for most peripheral collisions at the same center of mass energies. This indicates a thermodynamical similarity between both the systems at a given collision energy.
In the heavy-ion collision, the interaction volume of fireball decreases from most central to most peripheral collisions. So the number of participant nucleons also decreases from most central collisions to most peripheral collisions depending on the interaction volume. The system having more participants will quickly reach the equilibrium because of large number of binary collisions by rescattering of partons/hadrons as can be the case in central collisions. But in case of peripheral collisions due to smaller number of participants the system will be away from equilibrium for a while as compared to central collisions. Such a nonequilibrium system is better described by Tsallis nonextensive statistics, giving information about the various thermodynamic parameters of the system.
The paper is organized as follows. In Section 2, we present three forms of Tsallis distribution functions. Firstly, we discuss invariant yields with and without chemical potential in the Tsallis function. Then we show the Tsallis form of invariant yields with radial flow which is introduced analytically in one of our recent works [24]. In Section 3, results and discussions are made. Lastly, we conclude our findings in Section 4.
2. Nonextensivity and Transverse Momentum Spectra
In Sections 2 and 3, we discuss the transverse momentum spectra of identified particles (, , and and their antiparticles) produced in RHIC and LHC experiments using different forms of invariant yields using Tsallis nonextensive statistics.
2.1. Nonextensive Statistics without Radial Flow
The Tsallis distribution function at mid-rapidity, with finite chemical potential and without radial flow [46], is given bywhere is the transverse mass of a particle given by , is the degeneracy, and is the chemical potential of the system. In view of higher center of mass energies, where , the transverse momentum distribution function [47] becomes
2.2. Nonextensive Statistics with Radial Flow
The value of the nonextensive parameter for high-energy collisions is [48]. To study the order of deviation of the -spectra from an equilibrium Boltzmann distribution, the Tsallis distribution function has been expanded in a Taylor series in view of being very small, after successful inclusion of radial flow in a relativistic scenario. The details of the method are described in [24]. The functional form of the distribution up to first order in is given by where and are the modified Bessel functions of the first and second kind. There are four parameters involved, namely, , , , and , where is the volume, is the Tsallis temperature, is the radial flow velocity, and is the Tsallis nonextensive parameter.
We use (8) to fit the particle spectra of identified particles in heavy-ion collisions to study the radial flow parameter.
3. Results and Discussion
It is expected that the number of binary collisions in a system with smaller number of participant nucleons is quite low. Hence, the probability of mutual interaction (resulting in momentum transfer) between the system quanta partons or hadrons becomes less for the systems with small value of participating nucleons. This makes the system stay away from a possible thermal equilibrium. On the other hand, an appreciable increment in the number of binary collisions is observed in a system possessing a large number of participant nucleons and consequently the system can reach quickly its thermal equilibrium or be in the close vicinity of it. It has been shown in [49] that the nonextensivity parameter () is close to 1 in central Au + Au collisions and increases towards peripheral collisions. A higher value of reflects that the system is away from thermal equilibrium. These results suggest that the degree of nonequilibrium is higher in peripheral collisions. Such systems are best described by Tsallis distributions, for example, the most peripheral and systems. We perform the fitting of spectra for GeV/c around mid-rapidity at = 200 GeV and = 2.76 TeV. Keeping all the parameters free, we try to fit the spectra with (6), (7), and (8) independently for different particles like , , and and their antiparticle for Pb + Pb and Au + Au most peripheral collisions using TMinuit class available in the ROOT library [50] to get a convergent solution. The same procedure is followed for collisions as well.
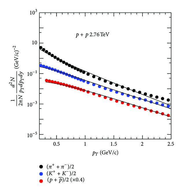
We have discussed the present work in three sections. Now, (7) is used to analyze invariant spectra of identified particles (, , and and their antiparticle) for most peripheral Au + Au collisions at = 200 GeV and most peripheral Pb + Pb collisions at = 2.76 TeV along with collisions at both energies. The fitting of spectra of identified particles for Au + Au collisions at 200 GeV and Pb + Pb collisions at 2.76 TeV are shown in Figures 11 and 12 for most peripheral collisions. Also, Figures 13 and 14 show the fitting of invariant spectra to collisions at 200 GeV and 2.76 TeV, respectively, for identified particles. The fitting is performed up to the maximum of 3 GeV/c for collisions and 2.5 GeV/c for collisions although the spectra in Au + Au collision are fitted only up to 2.0 GeV/c due to unavailability of data [18]. The fittings of Tsallis function with seem to be better for peripheral heavy-ion collisions. obtained by minimization in TMinuit are shown in Figures 1 and 2.


A systematic study of the extracted parameters like volume (), temperature (), and Tsallis nonextensive parameter () is made with identified particle masses. The values of extracted parameters are summarized in Table 1. We have calculated the radius of the fireball at freeze-out and plotted it as a function of the mass of the identified particles. Figures 3 and 4 show the variation of common mass dependent parameters at = 200 GeV and = 2.76 TeV. We have then compared the parameters obtained for peripheral heavy-ion collisions with that of collisions at the same center of mass energies to understand the thermodynamic properties of the produced systems.


It is found that the volume parameter decreases with increase in particle mass. It indicates that different particles have different freeze-out surfaces depending on their mass. This is observed for both and collisions and thus indicates a mass dependent differential freeze-out scenario in high-energy collisions. In view of the above freeze-out picture, taking as the freeze-out temperature, we observe from Figures 3 and 4 that the freeze-out temperature slightly increases with particle mass. This observation goes in line with the earlier findings of [51], which uses a slightly different approach. It clearly indicates that the heavier particles have higher freeze-out temperature as compared to lighter particles. This observation goes in line with an intuitive expectation of mass dependent particle freeze-out or differential freeze-out. In literature, one finds various freeze-out scenarios like single freeze-out [26], strange and nonstrange particles having two different freeze-outs [52, 53], and so forth. However, our findings from the analysis of high-energy particle spectra with nonextensive statistics reveal a consistent differential freeze-out scenario with particles and their counter parts, the antiparticles freezing out at the same time (characterized by freeze-out temperature, freeze-out volume) from the produced fireballs. The nonextensive measure, that is, the -parameter obtained from our studies, is consistent with its value, , for both and collisions. This goes in line with the expectations of the -values in high-energy collisions [48].
Also, Figures 3 and 4 indicate a similar mass ordering for systems, which indicates that the systems formed in most peripheral collisions and collisions are of similar thermodynamic nature. However, it should be noted that the obtained parameters seem to be unphysical; that is, volume or the radius in collisions seems to be higher than the peripheral collisions at the same energy. This problem is observed to be circumvented, when one adds the radial flow to the distribution. This is seen in the subsequent discussions and in Table 3.
Secondly, we perform the fitting of invariant spectra of identified particles using (6) which contains an additional parameter as chemical potential (). The same fitting procedure is used to fit Au + Au most peripheral collisions at = 200 GeV for identified particles as well as their antiparticles. The Tsallis form of invariant yields including is used in Figure 15. It fits up to ~3 GeV/c for most peripheral collisions. The goodness of fit can be seen from /ndf values shown in Figure 5.

The mass dependence of extracted parameters is shown in Figure 6. Also, the values of the parameters are tabulated in Table 2. In Figure 6, it is shown that all the parameters follow the same mass dependent trend as is discussed in the previous cases. Besides, an additional parameter, chemical potential (), is shown.

It is to be mentioned here that the chemical potential is extracted from the invariant yields at the thermal freeze-out, where all the elastic processes cease. Hence the obtained chemical potential here is called thermal chemical potential. At this stage one can introduce chemical potentials for all particle species (). Following [54], the relationship between chemical potential at kinetic freeze-out and chemical potential at chemical freeze-out is given bywhere and are temperature and chemical potential at chemical and thermal freeze-out, respectively. Equation (9) clearly shows a mass dependency of thermal chemical potential.
The extracted parameters shown in Figure 6 show a consistent picture for particles and antiparticles in case of most peripheral collisions. It is evident from Figure 6 that the -parameter increases with particle mass. It shows that particles and antiparticles have same freeze-out conditions. It is worth mentioning here that the parameters and extracted from identified particle spectra using (6) are related by [17]where for . Our extracted parameters using (6) (i.e., , and ) and (7) (i.e., ) seem to obey the above relation.
Finally, the invariant spectra of identified particles are fitted with (8) for most peripheral collisions of Au + Au at = 200 GeV and Pb + Pb at = 2.76 TeV. Besides, the fitting of identified particles for collisions is done for the same energies. The fitting results for Au + Au collisions at = 200 GeV and the results for Pb + Pb collisions at = 2.76 TeV are shown in Figures 16 and 17, respectively. Also, the fitting results for collisions at = 200 GeV and = 2.76 TeV are shown in Figures 18 and 19, respectively.
The fitting is performed up to ~3 GeV/c in collisions and ~2.5 GeV/c in collisions; only a slight deviation at higher is observed in pion spectra. The values of various parameters obtained from the fits are provided in Table 3. It is observed from the values of (Table 3) that the performance of the present approach is quite satisfactory, except in case of pion, which can be seen from Figures 7 and 8.


Then we make a mass dependent study of these parameters. Figures 9 and 10 represent the behaviour of the extracted parameters. The parameters like volume, temperature, and show a similar mass dependent behaviour as that of the parameters obtained from the fitting using (6) and (7). Here, through (8), we have introduced an additional radial flow parameter (). Figures 9 and 10 show the decrease of radial flow with increase of particle mass, which is a signature of hydrodynamic evolution of the system created in high-energy collisions. The change of temperature parameter with the use of different forms of Tsallis distribution could be observed in [55]. In our analysis we have also observed that not only the temperature but also the other parameters are changing with the use of different forms of Tsallis distribution. For example, it is observed that, with the inclusion of radial flow, the value of the -parameter becomes less, as compared to that observed in the other forms of Tsallis distribution, while describing the -spectra. This may hint that the nonextensivity is shared by the dynamics of the system [56–58].











4. Conclusion
We present a systematic study of the parameters extracted from transverse momentum spectra of produced identified particles in Au + Au collisions at = 200 GeV and Pb + Pb collisions at = 2.76 TeV. Furthermore, the same analysis is done for collisions at both, RHIC and LHC energies. In the present work different forms of invariant yields using Tsallis distributions are used. Parameters obtained from three different forms in most peripheral Au + Au collisions at = 200 GeV and in most peripheral Pb + Pb collisions at = 2.76 TeV follow a similar trend. Similar behaviour has been observed in collisions for both the energies. The chemical potential plays an important role in particle production mechanism. We observe that the particles produced at early stage have higher thermal chemical potential as compared to particles produced at the later stage. The radial flow extracted from the particle spectra of peripheral collisions is similar to collisions at the same center of mass energy. In the discussed low- region, the radial flow decreases with increasing mass, which goes in line with hydrodynamic description of the evolution of a fireball created in high-energy collisions. Therefore, the present analysis gives a systematic information of hydrodynamical and thermodynamical evolution of the system, while making a direct comparison with hadronic and peripheral nuclear collisions. We observe a mass dependent differential freeze-out scenario in high-energy hadronic and nuclear collisions, which is also supported by similar observations by other authors [59].
Appendix
See Figures 11–19 and Tables 1–3.
Disclosure
Prakhar Garg’s current affiliation is Department of Physics and Astronomy, Stony Brook University, SUNY, Stony Brook, NY 11794-3800, USA.
Competing Interests
The authors declare that they have no competing interests.
Acknowledgments
Dhananjaya Thakur acknowledges the financial support from UGC, New Delhi, and Sushanta Tripathy acknowledges the DST-INSPIRE scheme of Government of India for financial support.