Abstract
We introduce a composite right- and left-handed travelling-wave field-effect transistor (CRLH TWFET) for developing large-scale platform to support left-handed waves. The device represents two electromagnetically coupled CRLH transmission lines by capacitance and FET transconductance. Owing to the couplings, two different modes can support waves in CRLH TWFETs. It was experimentally established that waves supported by one of the modes were amplified, while those supported by the other mode were significantly attenuated. To quantify the wave propagation in CRLH TWFETs, we developed a numerical model based on the transmission line theory that well simulated measured results. This paper discusses the results of numerical calculations that validate the design criteria of CRLH TWFETs.
1. Introduction
Composite right- and left-handed (CRLH) transmission lines (TLs) have been extensively studied and several important breakthroughs have been achieved in the management of electromagnetic continuous waves [1]. CRLH TLs have a single series and shunt inductance-capacitance (LC) pair in each unit cell. They exhibit lefthandedness; that is, at certain frequencies, their phase velocity has a sign opposite to that of their group velocity. Figure 1 shows the unit cell of a CRLH TL, where , , , and are the series inductance, series capacitance, shunt inductance, and shunt capacitance, respectively. The series LC pair consists of and , and the shunt pair consists of and . These parameters define the upper and lower zero-wavelength frequencies of the CRLH TL, which are given by and ββrespectively. The line exhibits righthandedness at frequencies greater than and left-handedness at frequencies lower than . A frequency band gap exists between and in which all supporting modes are evanescent.

The use of CRLH TLs may sometimes be impractical because of their finite electrode resistance and substrate current leakage, and may require loss compensation schemes. Recently, several authors have investigated methods for amplifying LH waves in 1D using transistors [2β4].
In particular, we analyse the use of two CRLH TLs that interact continuously via transistor transconductance together with both capacitive and inductive couplings, which we call a CRLH travelling-wave field-effect transistor (TWFET), or CRLH TWFET for brevity.
There are two different schemes to achieve loss compensation or amplification of left-handed waves. One of the methods is to interconnect passive CRLH sections with amplifier section. Based on this methodology, Casares-Miranda et al. [2] fabricated a leaky-wave antenna, whose gain was much enhanced compared to its passive counterpart. Multiple cascades of the interconnecting sections enable extension of the effective propagation length of a LH wave. However, a phase jump occurs at the amplifier section. Another method is continuous amplification. Si et al. [3] proposed a microwave CRLH TL incorporating ideal gain devices in each unit cell. They demonstrated a simple circuit cell consisting of two FETs operated as such gain devices. On the other hand, Maezawa et al. [4] proposed a CRLH TL periodically loaded with resonant tunnel diode (RTD) pairs. The negative differential resistance (NDR) of RTDs can compensate the loss in passive CRLH TLs. It is suggested that the line can amplify signals traveling along the line by the NDR of the RTD. In either case, the unit-cell structure is much simpler than CRLH TWFETs. The CRLH TL has inductance-capacitance pairs in each unit cell. With the simple introduction of an NDR device, these pairs can exhibit resonant behaviour. We carried out the stability analysis with respect to CRLH TWFETs to establish the fact that they succeed in suppressing instability and amplifying the LH waves [5]. On the other hand, as far as we know, such stability analysis has not been carried out for the schemes that employ NDR device in each unit cell. Table 1 summarizes the merits and demerits of the above-mentioned three platforms for compensating attenuation of LH waves.
In the following, we first clarify our design concept of CRLH TWFETs. We then discuss several fundamental properties of a CRLH TWFET including the device configuration, dispersion relationship, and design criteria for wave amplification and termination schemes. Next, we describe the numerical model to simulate the measured results. Then, we numerically confirm the validity of the design criteria of a CRLH TWFET.
2. Design Concept of CRLH TWFETs
Figure 2 illustrates our design concept of CRLH TWFETs. Owing to couplings, two different propagation modes, called the c- and -modes, can support waves in CRLH TWFETs. Each mode has its own speed, characteristic impedance, and the voltage fraction between the gate and drain lines. In general, the c-mode waves have the even parity between the gate and drain lines. On the other hand, the -mode waves have the odd parity between the gate and drain lines.

Our design concept stems from the fact that a CRLH TWFET can amplify the waves carried by one of two modes, and attenuate ones carried by the other mode significantly. We can exclude the influences caused by waves carried by the attenuating mode to suppress modal dispersions. Moreover, wave reflection at the ends can be minimized by the matched terminations with the characteristic impedances corresponding to the amplifying mode.
At present, we consider the case where the -mode is the unique one to be amplified. Then, the terminal resistances and are set equal to the -mode characteristic impedances for the gate and drain lines, respectively. In order to develop the waves carried by the -mode, the input ports and are excited by the waves satisfying the -mode voltage fraction. In this study, we describe the results of numerical calculations using a model of a CRLH TWFET based on the elemental transmission line theory. The model well simulates the measured properties of the device and can evaluate the contributions of the finite series inductors to both LH and RH waves travelling in a line. The operation bandwidth is limited by the FET cutoff frequency. Moreover, the influences of parasitic inductance and capacitance, which cannot be assumed a priori, increase at high frequencies. However, as far as the line is based on the print-circuit-board (PCB) technologies, we can well suppress the influences of parasitic elements, whose operation bandwidth presently extends the microwave frequencies.
3. CRLH TWFETS
Figure 3 shows the circuit configuration of the unit cell of a CRLH TWFET. Each unit cell includes an FET. For the gate (drain) line, , , and represent the series inductor, series capacitor, shunt inductor, and shunt capacitor, respectively. The gate line is connected with the gate electrode of the FET, whose drain electrode is connected with the drain line. The source electrode is grounded. Note that the biasing voltages to the gate () and drain () of the FET can be rendered via and , respectively. Every inductor accompanies finite parasitic resistance, which is denoted as , , , and for , , , and , respectively. The drain-source current of an FET is modelled as , where , , and V are the transconductance coefficient, threshold voltage, and the gate line voltage, respectively. For analytical evaluations, we consider the small-signal counterpart of , that is, , where is the transconductance given by 2 Moreover, an FET includes the gate-source capacitance , gate-drain capacitance , and drain-source capacitance . These FET parasitic capacitances can be embedded in elements in Figure 2. Concretely, , , and can be included in , , and , respectively.

Owing to the presence of the passive coupling between the gate and drain lines, two different propagation modes can carry the waves [6].
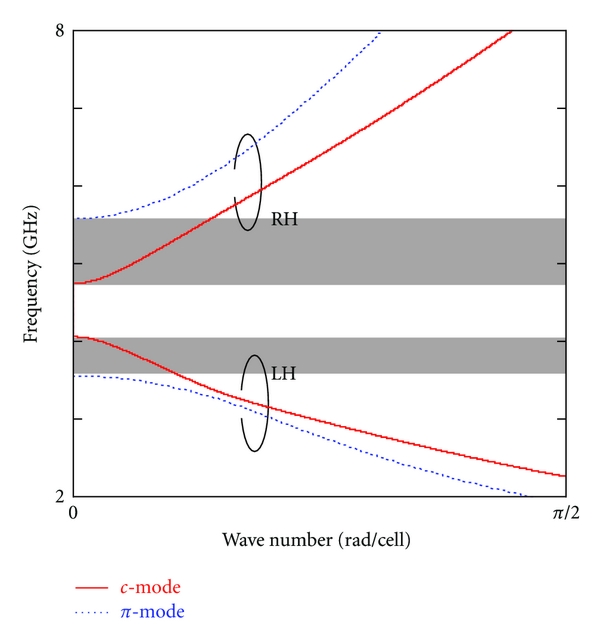
Each mode has its own dispersion, characteristic impedance, and the voltage fraction between the lines. Figure 4 shows a typical dispersion relationship of each mode. To obtain this, we set , , , and to 0.75βnH, 1.5βpF, 1.25βnH, and 1.0βpF, respectively. Moreover, , , , , and are set to 1.0βnH, 2.0βpF, 0.5βnH, 1.5βpF, and 0.2βpF, respectively. There are mostly two different modes for a given frequency, although only the unique mode is allowed in the filled frequencies in Figure 4. For definiteness, we call the fast and slow modes the and c, respectively. Accordingly, the solid and dotted curves correspond to the - and - modes, respectively. The upper (lower) two exhibit RH (LH) properties.

By inputting the voltage signals having the c- (-) mode voltage fraction between the lines, they are carried by the c- (-) mode. In addition, the matched termination with the c- (-) mode characteristic impedance suppresses the multiple reflections that terribly distort the waves in the line. When the voltage fraction is positive (negative), the corresponding mode becomes in phase (out of phase).
We consider the cases when a small is introduced. We can then obtain the c- (-) mode per-unit-cell gain by series-expanding the complex dispersion with respect to , which is given by where represents the phase velocity of the c- (-) mode. Moreover, is defined by where , ,, , , , , and . Note that can become imaginary for frequencies for which the RHS of (3) becomes negative. Moreover, (3) becomes singular for . In such a situation, should be written as
In the above, is defined to be negative for amplifying RH waves. Correspondingly, the amplitude of the wave increases if becomes positive for LH waves, because the phase velocity has the opposite sign from the group velocity. By definitions, is always greater than ; therefore, for any frequencies if is negligible. It is concluded that one of the two modes can be uniquely amplified. More specifically, the c- (-) mode can be uniquely amplified for LH (RH) waves if or , where and . On the other hand, the c- (-) mode can be uniquely amplified for RH (LH) waves if .
By the introduction of any small but finite resistance R, we obtain the form with some coefficients and for complex dispersion. Irrespective of , only one of the two modes is possibly amplified, if . Thus, the key criteria that a CRLH TWFET can be designed to satisfy the condition for the unique mode to be amplified are equally valuable even with any loss or leakage.
In general, the resistance becomes larger for higher frequencies. It tends to reach a saturated value. Instead of modelling this frequency dependence, we employ the saturated resistance for all the frequencies for overestimating. We assigned the values of parasitic resistance to be proportional to the inductance, such that the resistance for 1.0-nH inductor becomes 0.15β. By adding the linearized contribution of resistances in per-unit-cell gain, we obtain Figures 5 and 6, setting to 2.0βmS. Figure 5 shows the per-unit-cell gain for low frequencies corresponding to the LH branches. The amplified waves are expected only for the -mode at the frequencies between 3.0 and 3.3βGHz. The gain becomes maximal at 3.2βGHz, where the discrepancy between and becomes minimal. Figure 6 is for high frequencies corresponding to the RH branches. The amplified waves are expected only for the c-mode at the frequencies greater than 4.95βGHz.


4. Numerical Simulation of Test Line
Recently, we experimentally characterized a CRLH TWFET using discrete components on a breadboard [7]. We built a 90-section device. For convenience, all the series inductances were eliminated. As a result, the test line exhibited LH property for all the frequencies allowed to travel. The transistors used were Toshiba 2SK30A, whose typical threshold voltage was β1.8βV. The inductors and capacitors were implemented using the TDK SPT0406 series and the TDK FK series, respectively. The values of , , , , and were set to 470, 47, 470, 470, and 47βpF, respectively. Moreover, the values of and were set to 10.0 and 4.7βΞΌH, respectively. The gate and drain lines were fed by the envelope pulses generated by an NF WF1974 two-channel function generator. The waveforms were detected by Agilent 10073C passive probes and monitored in the time domain by using an Agilent DSO90254A oscilloscope. Through the measurements, we found that the -mode gains amplitudes, while the c-mode loses them. Moreover, when the test line is terminated with the -mode characteristic impedance, the multiple reflections of waves could be effectively suppressed.
To reinforce these observations, we simulate the measured results by solving the transmission equations of the test line using finite-difference time-domain method. The equations are given by where and represent the gate and drain line voltages at the nth cell, respectively. Moreover, and represent the gate and drain line current flowing into the nth cell, respectively. Figures 7(a) and 7(b) show the measured and calculated waveforms, respectively, when gaussian envelope pulses with a carrier frequency of 2.5βMHz were input at one of the ends with the -mode voltage fraction between the gate and drain lines. The upper and lower waveforms were monitored at the 10th and 40th cells, respectively. We can clearly see that the waves gain amplitude during propagation in Figure 7(a). Similar comparison between the measured and calculated waveforms is carried out for the c-mode envelope pulses in Figure 8. The upper and lower waveforms were monitored for the carrier frequency of 2.5βMHz at the 5th and 10th cells, respectively. In contrast to the -mode waves, the c-mode ones lose amplitude during propagation. In both cases, the calculated waveforms well simulate the measured ones, including the amplitude gain and dispersive waveform distortions. By varying the carrier frequency of the input envelope pulses and voltage fractions, we obtain the frequency dependence of the per-unit-cell gain in Figure 9. Circles and squares represent the measured and calculated results for the -mode inputs, respectively. The similarity between the measured and calculated results is established, so that we conclude that the numerical evaluations predict sufficiently the quantitative performance of CRLH TWFETs.

(a)

(b)

(a)

(b)

To discriminate the c- and -modes clearly, we carried out calculations of a large-size line. We set the total cell number to 500 and an envelope pulse with the carrier frequency of 2.3βMHz was input to the 1st cell of the gate line. The pulse was split into the c- and -mode components, which were well separated in space after the long-length propagation. Figures 10(a) and 10(b) show the calculated results for and , respectively. Upper and lower waveforms correspond to the pulses before and after the long-length propagation, respectively. The -mode components preceded the c-mode ones and was amplified when. On the other hand, it is clearly seen that the c-mode components was more attenuated for than for .

(a)

(b)
5. Numerical Performance of CRLH TWFETs
We evaluate numerically the performance of a CRLH TWFET including series inductors. We employed the same reactance values as those used to obtain Figures 5 and 6. The parasitic resistance and the gate bias voltage were tuned to clearly see the contributions of FET gain. It is expected that the line can amplify both the LH and RH waves, which are supported by the - and c-modes, respectively. The numerical model we developed is equally applied not only to the MHz circuits but also to the microwave circuits, when the print-circuit-board techniques are effectively utilized; therefore, the results obtained by our model can be considered to be sufficiently reliable for these parameter values. Responses to the sinusoidal inputs were evaluated, considering practical situations where CRLH TWFETs would be applied. The thick and thin waveforms in Figure 11(a) correspond to the steady-state LH sinusoidal waves for and for , respectively. The frequency was set to 3.2 GHz, where the -mode was supposed to be uniquely amplified. We thus designed terminal resistances to be matched with the -mode characteristic impedances. Wave attenuation was well compensated by the FET contribution.

(a)

(b)
Finally, the properties of steady-state RH sinusoidal waves are shown in Figure 11(b). The frequency was set to 5.8βGHz. According to Figure 6, the c-mode is uniquely amplified, so that we set the terminations to be matched with the c-mode impedance. Compensation of attenuation was also established for the RH waves.
In both cases, it was confirmed that development of standing waves was well suppressed by the matched terminations.
6. Conclusions
We characterize waves in CRLH TWFETs. We found that one of the possible two propagation modes is uniquely amplified for wide range of frequency. By the terminations with the characteristic impedance corresponding to the amplifying mode, the multiple reflections of waves can be effectively suppressed. These design criteria may be practically useful to produce large-scale platform to support both the LH and RH waves.