Abstract
An adaptive backstepping control scheme for a class of incommensurate fractional order uncertain nonlinear multiple-input multiple-output (MIMO) systems subjected to constraints is discussed in this paper, which ensures the convergence of tracking errors even with dead-zone and saturation nonlinearities in the controller input. Combined with backstepping and adaptive technique, the unknown nonlinear uncertainties are approximated by the radial basis function neural network (RBF NN) in each step of the backstepping procedure. Frequency distributed model of a fractional integrator and Lyapunov stability theory are used for ensuring asymptotic stability of the overall closed-loop system under input dead-zone and saturation. Moreover, the parameter update laws with incommensurate fractional order are used in the controller to compensate unknown nonlinearities. Two simulation results are presented at the end to ensure the efficacy of the proposed scheme.
1. Introduction
Due to the unique advantages in describing the hereditary and memory properties of multifarious materials and processes, fractional calculus as a research hotspot has recently attracted more and more attentions and interests in viscoelastic systems, control theory, engineering, and some interdisciplinary fields although it is considered as a branch of mathematics that has few applications for a long time [1–4]. As a powerful tool used to model many real-world behaviors, fractional order systems can provide more practical value and accurate results in many practical system applications [5–18], such as fractional oscillators, fractional damping, quenching phenomenon, and some biological systems. Sequentially, many researchers have paid close attention to the applications of fractional order differential equations in both engineering and theory and have drawn some wonderful and meaningful results in the literatures [19–24].
It is known that a precise physical model of the engineering plant is difficult to build because of the uncertainties and noises. Thus, most studies have concentrated on the controller design of the fractional order nonlinear system with uncertainties [25–28]. Due to the inherent approximation capability, neural networks (NNs) or fuzzy logic systems are usually used to approximate the system uncertainties in the integer order system. The scholars in [24] have designed an adaptive fuzzy control scheme for a class of fractional order systems with parametric uncertainty and input constraint. In [29], an adaptive backstepping controller is designed for a class of fractional order systems with unknown parameters based on the indirect Lyapunov method, in which the control problem of fractional order is converted to the integer order one. Using the fractional order extension of the Lyapunov direct method, an adaptive backstepping control method for a class of fractional order nonlinear systems with unknown nonlinearity is developed in [30]. In [31, 32], an output feedback control scheme for a class of triangular fractional order nonlinear systems is given. For a class of a fractional order rotational mechanical system with disturbances and uncertainties, a robust adaptive NN control is presented in [33]. Based on dual radial basis function (RBF) NNs, an adaptive fractional sliding mode controller is proposed to enhance the performance of the system in [34]. In [35], an adaptive NN control scheme is given for a class of fractional order systems with nonlinearities and backlash-like hysteresis. For a class of uncertain fractional order nonlinear systems with external disturbance and input saturation, an adaptive NN backstepping control method based on the indirect Lyapunov method is designed in [36]. In [37], an adaptive fuzzy control scheme for a category of uncertain nonstrict-feedback systems with constraints is designed. The authors of [38] design an observer-based adaptive fuzzy controller for a class of single-input single-output nonlinear systems with unknown dynamics.
There are many fractional order nonlinear multiple-input multiple-output (MIMO) systems in practice, and it is important to develop control approaches for fractional order nonlinear MIMO systems. In comparison with plenty of research studies on fractional order SISO nonlinear systems, there are few research studies on the fractional order nonlinear MIMO systems due to existing uncertainties in the coupling matrices and unknown nonlinear functions in the nonlinear MIMO, where they are very challenging issues. For a class of incommensurate fractional order nonlinear MIMO systems with external disturbance, a fractional adaptive RBF NN backstepping control scheme is designed in [39], which is constructed using the backstepping technology. In [40], the consensus problem of fractional order MIMO systems with linear models is researched via the observer-based protocols. In [41], a discontinuous distributed controller is proposed for a class of fractional order MIMO systems. In [42], an adaptive output feedback controller is designed for a class of nonlinear fractional order MIMO systems with input nonlinearities. For a class of fractional order uncertain nonlinear MIMO dynamic systems with dead-zone input and external disturbances, a fractional adaptive type-2 fuzzy backstepping control scheme is presented in [43], which is constructed using the backstepping dynamic surface control and fractional adaptive type-2 fuzzy technique.
In many industrial processes, actuators usually possess the input saturation and dead-zone which are the most important nonsmooth nonlinearities and severely limit the system performance. However, as far as we know, although many previous works have been proposed to control fractional order nonlinear MIMO systems, no works have studied the tracking problem of incommensurate fractional order nonlinear MIMO systems with unknown nonlinearities, input dead-zone, and saturation.
Motivated by the above observations, a new adaptive NN backstepping control method is proposed for a class of incommensurate fractional order nonlinear MIMO systems with unknown nonlinearities, input dead-zone, and saturation. In summary, our contributions mainly include the following three aspects. Firstly, our proposed adaptive incommensurate fractional order NN controller can apply to both commensurate and incommensurate fractional order nonlinear MIMO systems with unknown nonlinearities, input dead-zone, and saturation, which is more broadly applicable. Secondly, the structure of adaptation laws with incommensurate fractional order closer to the characteristics of the system itself and the orders of the parameters adaptation laws cannot be consistent with the fractional order system binging more degree of freedom.
The paper is organized as follows. Section 2 gives the basic preliminary results on fractional order systems, and RBF NN are presented. Section 3 presents the adaptive fractional order controller design. Section 4 gives the simulation results to verify the proposed controller. Section 5 draws the conclusions.
2. Preliminary
The Caputo fractional derivative is defined as follows [44]:where , , and is the classical order derivative operator. When , can be abbreviated as .
Remark 1. The fractional order derivative is an extension of the conventional integer order derivative, and the main difference is that the fractional order derivative has interesting properties and potential applications. However, under the Caputo fractional derivative, the fractional order derivative of constant is 0, which is the same as the integer one.
Lemma 1 (see [45]). Consider a nonlinear fractional-order system:The system is exactly equivalent to the continuous frequency distributed model described bywhere . is the infinite dimension distributed state variable.
In the developed control design procedure, the RBF NN will be used to approximate any continuous function on a compact set .
Lemma 2 (see [46]). For a given desired level of accuracy , any smooth function can be approximated by the RBF NN aswhere is the neural network node number, is the input vector, and is the weight vector; , and can be selected aswhere δ is the width of the Gaussian function and is the center of the respective field.
3. Adaptive Neural Network Backstepping Controller
In this paper, we consider a class of incommensurate fractional order nonlinear MIMO systems with unknown nonlinearities presented as follows:where is the system incommensurate fractional order, and are the state vectors, is the system output, is the known constant, is an unknown continuous nonlinear function, is an known continuous nonlinear function, , and .
is the control input suffering from saturation and dead-zone. The dead-zone is in the following form:where and are unknown parameters of the dead-zone and and are slope of the dead-zone, and they are positive constants; the saturation nonlinearity is defined as follows:where and are the saturation limits.
Define the right inverse of D as
According to [16], the nonsymmetric saturation and dead-zone control input can be rewritten as follows:
It is clear that the input saturation and dead-zone problem can be transformed by an input saturation (11), in which is the control law to be designed.
Our target is to design the input such that the system output can follow the desired signal . Some following assumptions for the controller design are given.
Assumption 1. It is supposed that the reference signals and the th order derivatives are continuous and bounded.
Assumption 2. For input constraints (11), there exist such that , where , .
In the following parts, the output feedback neural network fractional adaptive control based on backstepping and stability procedure will be developed. The recursive design algorithm has steps according to the backstepping design method. In step , a virtual control function is developed, and the true control law is designed at the final step. The virtual controllers and the real control functions will be developed according to the following steps.
The recursive backstepping algorithm can be presented as the follows. Step : based on Lemma 1, a RBF NN can be used to approximate the unknown function from (7) by a RBF NN as follows:where is parameter estimation. The ideal parameter is described by LetAccording to [47], the optimal approximation error is bounded, i.e., , and is unknown. Therefore, one can obtainDue to (1) and the estimated error from (14), the following equation can be given:where . According to Lemma 1 and (16), the following frequency distributed model can be obtained:where and . Denoting , it follows from (7) and (15) thatLet a virtual control input bewhere and are the design parameters. LetSubstituting (19) and (20) into (18) givesAccording to Lemma 1, equation (21) will bewhere . Selecting the Lyapunov function aswhere . Based on frequency distributed model (17) and (22), the derivative of is expressed asBased on LaSalle invariance principle [48] and equation (24), if , , , and the fractional order adaptation laws are designed asone can obtain . Step : it follows from (7) and (20) thatwhere is the unknown function. According to the procedures in step , a RBF NN is used to approximate as follows:where is the parameter estimation. With the estimated error and (1), the following equation can be obtained:where . According to Lemma 1 and (28), the following frequency distributed model can be obtained:where and . Rewrite (26) aswhere , satisfying , and is the unknown positive constant. A virtual control input is designed aswhere and are the design parameters. LetSubstituting (31) and (32) into (30) givesIts frequency distributed model corresponds towhere . Selecting the Lyapunov function aswhere . According to frequency distributed model (30) and (34), the derivative of (35) isBased on LaSalle invariance principle and equation (36), if , , , and the fractional order adaptation laws are designed asone can get . Step : definewhere is the virtual control input. Just like the procedures in step and , one haswhere is the unknown function. According to Lemma 2, letwhere is the parameter estimation. With the estimated error defined as and (1), the following equation can be obtained:where . According to Lemma 1, (41) can be written described aswhere and . From (40), (39) can be rewritten as follows:where , satisfying , . Design a virtual control input aswhere and are the design parameters. Substituting (38) and (44) into (43) givesIts frequency distributed model corresponds towhere . Selecting the Lyapunov function aswhere . Then, its derivative on the basis of frequency distributed model (42) and (46) is expressed asAccording to LaSalle invariance principle and equation (48), if , , , and the fractional order adaptation laws are designed asone can get . Step : definewhere is a virtual control input. From Assumption 2 and (50), one haswhere is an unknown function. Letwhere is parameter estimation. Define the estimated error , and then the following equation can be obtained:where . Due to Lemma 1, (53) will bewhere and . From (52), (51) can be rewritten aswhere , , and . Design the controller aswhere and are design parameters and is the estimation of the unknown constant . Define , and then the following equation is obtained:where . Due to Lemma 1, (57) will bewhere . Substituting (50) and (56) into (55) givesthen the following frequency distributed model is obtained:where . Selecting the Lyapunov function aswhere . Based on the procedures in step , the derivative of on the basis of frequency distributed model (54), (58), and (60) isTo update and , design the fractional order adaptation laws as follows:According to (62)–(64), and LaSalle invariance principle, if and , one can get .
The following Theorem 1 gives the stability result of the closed-loop system.
Theorem 1. Consider the incommensurate fractional order nonlinear MIMO system (7) with unknown nonlinearities and external disturbance; if the control input is chosen as (56) with (19), (31), and (44) and the adaptation laws are designed as (25), (37), (49), (63), and (64), then all the signals in the closed-loop system are globally uniformly bounded with the proper design parameters , and , and the tracking error tends to zero asymptotically when .
Proof. According to step , if the control input is chosen as (56) with (19), (31), and (44), and the adaptation laws are designed as (25), (37), (49), (63), and (64), then with a proper choice of the design parameters , and , one can get . Due to the LaSalle invariant principle, , , and can be close to the set of all points. When , , , and can be obtained, which is the only equilibrium point. That is the error variables , , and convergent to zero asymptotically. Therefore, the tracking error tends to zero asymptotically and all the signals are uniformly bounded.
Remark 2. The orders of the parameter estimation laws and are not fixed to the system order . This brings more degree of freedom in our design and we can achieve better control performance by adjusting and . In addition, if , the result will be commensurate fractional order system with input constraints. Our design scheme is still applicable.
Remark 3. It can be found that the tracking errors can be made smaller by increasing the parameters , when the parameters , and are fixed. Meanwhile, when the control gain is too big, the parameters may be drifting. In order to balance the system performance and control action in applications, the design parameters must be carefully chosen.
Remark 4. In fact, the tracking error may get into a smaller range of zero due to the sign function used in controller (56) with (19), (31), and (44), which may result the chattering phenomenon. Meanwhile, the sign function can be replaced by the continuous function to alleviate the chattering phenomenon.
4. Simulation
Two examples are presented in this simulation section to show the effectiveness of the proposed method.
4.1. Example 1
The following incommensurate fractional order nonlinear MIMO system is consideredwhere , , and are the unknown functions. , , , and are the known continuous nonlinear functions.
The slop parameters of dead-zone are . The dead-zone ranges are considered as and . The saturation levels are , , , and .
The reference signal for the system output are chosen as and .
The following membership functions to deal with the unknown nonlinear terms are designed as
The design parameters are chosen as , , , , , , and . The initial condition are , , and .
The trajectories of system output, reference signal, and tracking error are presented in Figure 1 to show the tracking performance of the control system. It demonstrates that the reference signals could be tracked well by the output signals subject to the unknown nonlinear terms and uncertain disturbances. Figure 2 displays the trajectories of the system states and . The estimation of and are displayed in Figure 3, and system control input and are presented in Figure 4. It is clear that all the signals in the closed loop adaptive control system are bounded.




4.2. Example 2
To show more results of the proposed method, the following incommensurate fractional order nonlinear MIMO system is considered:where , , , and are the unknown functions. , , , and are the known continuous nonlinear functions.
The slop parameters of dead-zone are . The dead-zone ranges are considered as and . The saturation levels are , , , and .
The reference signal for the system output are chosen as and .
The following membership functions to deal with the unknown nonlinear terms are designed as
The design parameters are chosen as , , , , , , and . The initial conditions are , , and .
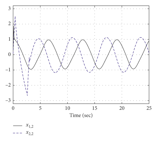
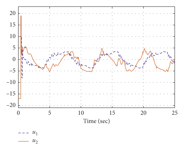
Figure 5 represents the tracking performance, and the tracking errors and converge to a smaller range of zero. Figure 6 shows the trajectories of the system states and . Figure 7 depicts the estimation of the and . The control inputs and are depicted in Figure 8. It is clear that the signals in the closed loop system are bounded.




The abovementioned simulation results demonstrate that although there are unknown nonlinearities and input constraints, the proposed adaptive NN controller can guarantee the good tracking performance, and all the closed-loop signals are bounded.
5. Conclusion
An adaptive NN backstepping control scheme for a class of incommensurate uncertain fractional order nonlinear MIMO systems subjected to with dead-zone and saturation is proposed in this paper. The RBF NN is used to approximate an unknown nonlinear terms in each step of the backstepping procedure. The adaptive NN controller is constructed by the backstepping and adaptive technique. The adaptation laws with incommensurate fractional order for parameters estimation are designed to compensate unknown nonlinearities in the controller. Through the simulation results, it is verified that the tracking errors of the closed-loop system can reach a small neighborhood of zero even in the presence of dead-zone and saturation simultaneously. This ensures the efficacy of the proposed approach. In the future, the selection of the orders of the parameter estimation laws will be considered for the control adjustment.
Data Availability
The data used to support the findings of this study are included within the article, which are available for researchers.
Conflicts of Interest
The authors declare that they have no conflicts of interest.
Acknowledgments
This paper was supported in part by the Doctoral Program of Shandong Provincial Natural Science Foundation of China (ZR2019BF048), Key R&D Program of Shandong Province in 2019 (Public Welfare Science and Technology Tackling Category) (2019GGX104071), Shandong Scientific Research Projects of Colleges and Universities (J18KA062), and Foundation of State Key Laboratory of Automotive Simulation and Control (20171105).