Abstract
A nonlinear coupled wing model subject to unknown external disturbances is proposed in this paper. Since the model is modeled by partial differential equations, the traditional control design scheme based on the ordinary differential equation model is not applicable, and the control law design becomes very complex. In this paper, a new antidisturbance boundary control scheme based on a finite time convergent disturbance observer is proposed. The control laws are designed based on the new disturbance observers to make the external disturbance errors converge to zero in a finite time and ensure the uniformly bounded stability of the controlled system. Finally, the effectiveness of the controllers and the finite-time convergence of disturbance errors are verified by the simulation and comparison.
1. Introduction
Due to the characteristics of maneuverability, flexibility, and wide vision, aircrafts are widely used in various fields. Aircrafts include the fixed-wing, rotary-wing, and flapping-wing aircraft. Among them, the flapping-wing aircraft has unique advantages, including higher flight maneuverability and low flight costs. In addition, although the size is small and the flight resistance is large, the flight efficiency of the flapping-wing aircraft will not be reduced [1]. Therefore, more and more researchers are engaged in the research of flapping-wing aircraft [2–6]. Researchers combined the structural design with bionics to develop and research the flapping-wing aircraft. Some researchers used rigid materials to make the wings, which ignored the influence of fluid dynamic changes caused by the deformation of insect wings so that the fuselage may not be flexible enough and prone to failure during execution [7]. Because flexible materials have the advantages of improving the running speed of the mechanical system and further reducing the weight of the structure, they are widely used in the mechanical structure manufacturing in recent years [8, 9]. Therefore, we can use flexible materials to make flapping-wing aircraft wings [10]. Although the flexible wing can improve the flexibility of flapping-wing aircraft, the vibration and deformation of wings will affect the control effect and flight performance. Consequently, the problem of wing vibration needs to be solved urgently, which inspired our research. In this paper, we regard a single wing as a coupled distributed parameter system and use the combination of partial differential equation and ordinary differential equation (PDE-ODE) to describe the wing dynamic model. Due to the complexity of distributed parameter system control design, more and more attention has been paid in recent years [11–21].
For the problem of vibration suppression of distributed parameter systems, several researchers have proposed various control methods including the modal reduction method [22] and boundary control [23–29]. The modal reduction method can effectively reduce the order of the infinite-dimensional system and treat the system as a finite dimension, but this method can easily cause spillover effects. The boundary control strategy can effectively solve this problem and improve the robustness of the system. In recent years, the research on vibration suppression of flexible structural systems based on the boundary control has made great progress. For example, in [30], with the method of barrier Lyapunov function, the controller could suppress the vibration of the system and cope with the input and output constraints at the same time. In [31], a boundary controller was constructed to suppress the vibration excursion of the hose using the backstepping control method, and a smooth hyperbolic tangent function was introduced to cope with the input amplitude and rate constraints. In [32], a boundary control was designed for the flexible string system with vibration and input backlash. In [33], with the help of a new disturbance observer, the external disturbance was effectively suppressed, and the purpose of vibration reduction was achieved. A robust adaptive controller was proposed to deal with parameter uncertainties and stabilize the system in [34]. In [35], the authors put forward an adaptive NN control strategy for flexible string systems with input constraints and actuator failures. Two iterative learning boundary control schemes were designed for a flexible microair vehicle under spatiotemporal variation disturbances to suppress structural vibration and make it track the target trajectory in [36]. As for the boundary control of the flexible aircraft wing system, many scholars have researched in recent years [37–39]. However, these studies did not consider that the system was affected by both distributed disturbances and boundary disturbances, and their existence may bring great side effects to the system. Therefore, disturbance suppression has become a key problem in the wing control design.
In the past few years, one of the most commonly used antidisturbance methods is the disturbance observer technique. This method can be used for nonlinear systems with uncertainties and efficiently improve the robustness of the system [40–42]. The boundary disturbance observer-based control problem of a vibrating single-link flexible manipulator system with external disturbances was studied in [43]. In [44], considering the influence of extraneous disturbance acting on the wing, a new observer was proposed for controller design. A new disturbance observer was proposed to deal with the distributed disturbance and boundary disturbance of a flexible-link manipulator in [45]. However, it is noted that although the disturbance observer proposed in the above research could effectively track the change of unknown disturbance, it must be assumed that the disturbance changes slowly, and it could not ensure that the disturbance error converged in a finite time. For systems affected by the external disturbance with unknown varying frequency, it is very important to ensure that the disturbance error converges in a finite time [46]. So far, there has been no research on the finite-time convergence control of the coupled aircraft wing system, which motivates this research.
In this article, the stability of nonlinear flexible coupled wing systems under external disturbances is studied. We briefly describe the contributions of this work: (i) Considering the unknown boundary disturbances of the flexible wing, the model is updated on this basis. (ii) The proposed observer can guarantee that the disturbance errors can converge to zero in a finite time. (iii) The vibration problem of the wing structure is well solved, and there is no spillover effect in the system control.
The rest of this paper is organized as follows: the dynamics of the coupled aircraft wing system are presented in Section 2. Section 3 presents the new finite-time control scheme and a detailed analysis of the stability of the closed-loop system. Simulation and analysis are carried out in Section 4. Finally, the conclusion is given in Section 5.
2. Problem Statement
2.1. System Model
A vibrating flexible flapping-wing aircraft subject to unknown disturbances is depicted in Figure 1. In this paper, represents a collection of real numbers, is the length between the shear center and the mass center of the wing cross section, and is the distance from the aerodynamic center to the shear center of the wing. is the mass per unit of the wing, describes the polar moment of inertia, denotes the bending rigidity, represents torsion rigidity, denotes the distributed disturbance, represents the Kelvin–Voigt damping coefficient, and and represent the control inputs. Besides, and are the unknown disturbances at the wing tip . For simplicity, some symbols are replaced with , , , , and .

The kinetic energy of the flexible wing in this study is given directly as follows:
denotes the potential energy of the flexible wing:
The virtual work of damping on the wing is expressed by
The virtual work of the coupling of bending and torsion stiffness is presented as follows:
The virtual work of unknown disturbance is given as
The virtual work performed by the control inputs can be obtained as follows:
Then, we add all the virtual works of the system:
Hamilton’s principle is formulated as follows [47, 48]:
According to (8), we can obtain the flexible wing dynamics as follows:
Moreover, we can get the boundary conditions of the system:
2.2. Preliminaries
The lemmas and assumption are proposed here to facilitate the later controller design and stability analysis.
Assumption 1. For , , and , we suppose that there exist , , and such that , , and , . This assumption is reasonable because the energy of external disturbances is limited.
Lemma 1 (see [49]). If there exist , with , we can obtain
Lemma 2 (see [49]). If satisfies the condition , thenwhere .
Lemma 3. The following inequality for the positive definite function is used to derive our main results as follows:
Then, the function will have an equilibrium point. It can converge to the point in a finite time as follows:with , , and being undetermined constants.
3. Control Design
The emphasis of the research is how to construct boundary controllers to suppress the vibration of a coupled wing system. For the sake of the control goal, a new control scheme based on finite-time disturbance observer is adopted, which can ensure the stability of the closed-loop system. The control block diagram of the system is shown in Figure 2.

First, the boundary control laws are proposed as follows:where .
Step 1. The auxiliary functions are defined as follows:To arrive at the control objectives that deal with the unknown disturbances and , we define the estimation form of disturbance terms as follows:where , and are all positive numbers. Moreover, , and are all odd numbers that satisfied and .
Step 2. We choose Lyapunov candidate function aswherewhere and .
Remark 1. In this paper, we use the Lyapunov direct method to design the controller given in the specific form of Lyapunov function, where is derived from the system kinetic energy and potential energy , which is called the energy term. is derived from the coupling of various state quantities of the system and becomes a crossing term. and will be given later in this article, which represent the auxiliary items of the system to deal with disturbance errors. By adjusting the control laws (15)–(21) and Lyapunov candidate function, we ensure that the derivative of Lyapunov function has an upper bound and let satisfy Lemma 3 so as to prove the uniform boundedness of state variables and the finite-time convergence of disturbance errors.
Remark 2. The control signals , and in the control equations (15)–(21) can be obtained during execution, where and are obtained by the laser displacement sensors, and is obtained by the inclinometer. The remaining variables , and are further obtained by the backward difference algorithms.
Theorem 1. The Lyapunov function (22) has upper and lower bounds:where and are positive numbers.
Proof. A new function is defined as follows:Hence, we obtainwhere and are two positive numbers, , and . For , we can obtainwhere , and satisfies .
Now, we can prove equation (24) as follows:where and .
Step 3. The derivative of givesSimilarly, differentiating leads toConsidering (10) and controllers (15)–(21), we obtainwhere . In addition, because and are estimates of and , under the action of disturbance observers, the errors between them are also bounded. Thus, there exist positive numbers and , satisfying and .
Let and . The selection of intermediate parameters is provided as follows:Therefore, we can obtainwhere .
Theorem 2. Through the dynamical system and the proposed control laws, the controlled system’s states and are uniformly ultimately bounded.
Proof. Invoking (33) and multiplying yieldsIntegrating (34), we haveFurthermore, invoking (24) and Lemma 2, we haveFinally, this results in
Theorem 3. Provided that holds, the disturbance error ensures convergence to zero before , wherewith denoting an initial value of , and
Theorem 4. Provided that holds, the disturbance error converges to zero before , wherewith denoting an initial value of , and .
Proof. Differentiating and invoking (16) and (17), we haveTherefore, will converge to an equilibrium point in a finite time . We define , and then we multiply (40) by to derive the following:Letting , with the analysis made in (41), we deriveMultiplying (42) by results inThen, we obtainWe apply the integral of (44) as follows:Equation (45) can be rewritten asInvoking and (40) yieldsAccording to (46) and (47), we haveWhen and , then we have .
We can further obtainTaking the logarithm for it as follows:In a word, considering , when , we deriveInvoking (51) and , we obtain the following when ,Moreover, when , we arrive atThe disturbance estimation error is expressed as follows:The combination of (10), (20), and (54) givesInvoking (53) and (55), we can conclude that if holds, converges to zero for . Similarly, we can prove that if holds, converges to zero for .
4. Simulation
In this section, the finite difference method is used to approximate the dynamics of the system with system parameters as , , , , , and . The initial condition of the system is set as , and . Besides, we have and . The inevitable external disturbances are defined as follows:
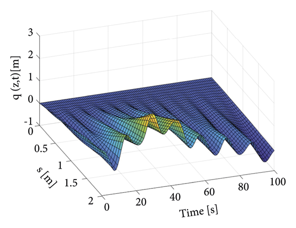
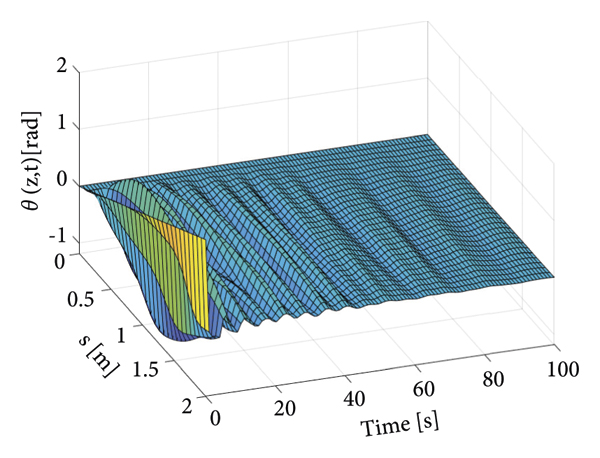
Figures 3 and 4 show the displacement of the coupled wing without control, that is, and . Figures 5 and 6 depict the three-dimensional representation of flexible wings with boundary control. The control parameters are chosen as , , , , , , , , , and . Figures 7 and 8 represent the response generated by the control inputs and . As shown in Figures 9 and 10, we can conclude that the control design can ensure that the flexible wing system has good performance by comparing with the freely vibrating situation. At last, we provide two pictures Figures 11 and 12 about the disturbance estimation errors. It can be concluded from the figures that the disturbance estimation errors can converge to zero in a finite time.










The simulation results Figures 3–12 show that the designed controller can effectively suppress the vibration of flexible wing, and the bending and torsion deformation of a flexible wing and under the presented control are guaranteed to be stable. The last two figures show the finite-time convergence of the disturbance estimation errors and . In order to further highlight the advantages of the proposed control strategy, a boundary control strategy based on the nonlinear disturbance observers (DOBC) is expressed as follows:where parameter selections are consistent with the above design. Figures 13–20 show the control effect of the system using the DOBC strategy. It can be seen that the control effect is worse than that of the control strategy proposed in this paper. As can be seen from the figures, the inputs and and displacements , , , and cannot converge to zero quickly. Although the disturbance observers can track the change of external disturbances to a certain extent, they will still produce a certain disturbance errors. To sum up, we can get that the control effect of the derived finite-time convergence antidisturbance control strategy is better than that of the DOBC strategy.








5. Conclusion
In this paper, based on Lyapunov’s direct method and the new coupled wing model, we addressed the control problem for the flexible wing subject to external disturbances with a new finite-time convergence antidisturbance control strategy. Under the action of the controllers, the external disturbance errors converged to zero in a finite time. Hence, we concluded that the proposed control scheme could stabilize the flexible wing system with a better performance. Finally, we analyzed the stability of the closed-loop system and the effectiveness of the boundary controller through strict theoretical proof and simulation results. Future research directions may include the adaptive control [50–53], intelligent techniques [54–57], and the uncertainty and disturbance estimator-based control [58–60].
Data Availability
The data used to support the results of this study are available from the first author (1707700028@e.gzhu.edu.cn).
Conflicts of Interest
The authors declare that they have no conflicts of interest.
Acknowledgments
This work was supported in part by the Innovative School Project of Education Department of Guangdong (202011078022).