Abstract
A stochastic discrete fractional Cournot duopoly game model with a unique interior Nash equilibrium is developed in this study. Some sufficient criteria of the Lyapunov stability in probability for the proposed model at the interior Nash equilibrium are derived using the Lyapunov theory. The proposed model’s finite time stability in probability is then investigated using a nonlinear feedback control approach at the interior Nash equilibrium. The stochastic Bellman theory is also used to explore the locally optimum control problem. Furthermore, bifurcation diagrams, time series, and the 0-1 test are used to investigate the chaotic dynamics of this model. Finally, numerical examples are given to illustrate the obtained results.
1. Introduction
Differential or difference equations are usually used as a powerful analytical tool to study complex behavior in economics [1–17]. However, this kind of model just considers what occurs in the present state but ignores past phases of the process, or what has occurred in earlier states [18]. In reality, in economic processes, these variables are affected not only by their current values but also by their previous values. As a result, the effect of memory on history needs to be considered when building models [19]. For example, the dynamical behavior of the fractional differentiated Cournot triopoly game was investigated by Al-khedhairi [20]. In addition, Al-khedhairi [21] explored the complex dynamics of the discrete version of the fractional differentiated duopoly game. Notwithstanding the memory benefits of the continuous fractional Cournot triopoly game, we are unable to directly employ its numerical discretization strategy since it will rapidly amass numerical mistakes [22, 23]. The difference equation is more useful for modeling on-discrete time scales. To capture the memory effect, a fractional version of it is now introduced.
Recently, discrete fractional calculus [24–28] has attracted more and more attention, which is particularly suitable for building discrete models with memory effects. Wu and Baleanu [29] proposed a discrete fractional logistic map and studied its chaos. Then, Wu et al. [30] studied discrete chaos in fractional sine and standard maps. Later, the Lyapunov functions are used to study in the context of nabla discrete fractional systems by Wei et al. [31]. In [32], Du and Jia discussed the finite-time stability of a family of nonlinear fractional delay difference systems. Furthermore, Yang et al. [33] studied the mean square asymptotic stability of discrete fractional stochastic neural networks with multiple time-varying delays. After that, some researchers proposed various fractional models and investigated their dynamical behaviors [34–41].
As an application, Xin et al. [23] proposed a discrete fractional Cournot duopoly game to overcome the error caused by the discretization of the continuous fractional models. Moreover, based on the above model, some discrete fractional economic models had been proposed and studied successively [18, 42–46].
However, the current literature mainly focuses on deterministic Cournot oligopoly games and little focus on stochastic settings. It is known that stochastic perturbation is an important factor in the economy. For example, Xin and Wang [47] proposed a stochastic Cournot duopoly game in a block chain cloud services market driven by Brownian motion. However, there is still a lack of research on fractional Cournot oligopoly games with stochastic perturbation.
In light of this, discrete fractional systems can better characterize the dependence of discrete systems on past information throughout their evolution. The discrete fractional operator provides us with a powerful tool to study the evolution of games. In our model, we will use a truncated version of the discrete Grünwald-Letnikov fractional difference operator that incorporates a short-term memory process, which can be interpreted as a set of sliding delays or short-term information included in the model. In the real world, this may represent differences in the time it takes to decide between different players of the game or simply be considered as the time it takes for a certain process to occur in a complex gaming system, for example, it may represent the time it takes for negotiation between the management of a firm.
On the other hand, older historical information may not accurately reflect current market demand. Therefore, two finite rational firms try to ignore older historical information and use only recent historical information when formulating their strategies and playing the game, which implies that the finite rational firms will use the short-memory adjustment mechanism against firms competing with them. Therefore, the discrete Grünwald–Letnikov fractional difference operator used in this paper is more flexible and universal compared to the discrete Caputo fractional difference operator with long memory.
In addition, because models in real-world environments are inevitably disturbed by stochastic factors, we shall introduce stochastic noise into the modeling to obtain a more general game model that captures the influence of stochastic factors.
Therefore, this study aims to bring together three areas: game theory, discrete fractional calculus, and stochastic analysis to develop a more general game model and to analyze some of the properties of that model. The main contributions of this paper are as follows:(1)We develop a new class of discrete fractional models with stochastic perturbations and apply them to the modeling of a Cournot duopoly game, which serves as a theoretical foundation for further research into various economic models, finance models, biological evolution models, and so on.(2)The Lyapunov stability in probability and finite time stability in probability are proved using the Lyapunov theory, which shows that the Lyapunov function approach to study the stability of the stochastic discrete fractional model is a powerful tool.(3)The locally optimal control conditions are obtained via the stochastic Bellman theory and feedback control principle.
The rest of this article is structured as follows. Section 2 introduces the definitions and theories of discrete fractional calculus. In Section 3, a new stochastic discrete fractional Cournot duopoly game model is constructed using the discrete Grünwald–Letnikov fractional difference operator. The stability in probability and finite time stability in probability are demonstrated in Section 4. A feedback controller is proposed to study the locally optimal control in Section 5. The stochastic discrete fractional Cournot duopoly game model with 3-period is discussed in Section 6. Section 7 gives several examples to illustrate the validity of the obtained results. Conclusions are given in Section 8.
2. Mathematical Preliminaries
Let , , , and for . Let , , and denote the set of real numbers, the set of positive real numbers, and the set of real column vectors, respectively. Let denote Euclidean norm. Let be an open set of containing the origin, and is an open ball of radius centered at in with its closed ball . Let be a complete probability space, in which for any , is a sequence of independent and identically distributed -valued random vectors , and is the expectation operator. For each , we let denote the -algebra generated by the random variables . The resulting sequence of -algebras is a filtration on the probability space . Moreover, for every , is independent of the -algebra for all [48].
We first introduce the following -order Grünwald–Letnikov difference operator.
Definition 1 (see [18, 49, 50]). For a discrete function on , the -order Grünwald–Letnikov difference operator is defined as follows:where and denote a sampling period and the fractional order, respectively, and the binomial coefficient can be computed byNow, we consider the following stochastic discrete dynamical system [51, 52].where is a stochastic process with initial condition ; and are continuous functions satisfying and , respectively.
Similar to [51], we denote the measurable map as the family of maps of the stochastic dynamical system (3) satisfying(i)the co-cycle property for all ,(ii)the identity (on ) property for all , and(iii)the measurable map is continuous for all outside a -nullset.Clearly, if the sample path trajectory is denoted by for any , then there exists a trajectory defined for all , and satisfying the dynamical process (3) with initial condition . And the process a.s. satisfying the system (3) is called the zero solution to the system (3). For convenience, we write for and for in the following.
Now, several definitions and theorems about stochastic stability are introduced below.
Definition 2 (see [51, 53]). (i)The zero solution to the system (3) is Lyapunov stable in probability if, for any and , there exists a such that for all ,(ii)The zero solution to the system (3) is asymptotically stable in probability if it is Lyapunov stable in probability and, for any , there exists a such that for all ,(iii)The zero solution to the system (3) is globally asymptotically stable in probability if it is Lyapunov stable in probability and, for all ,(iv)The zero solution of the system (3) is called mean square stable (resp. asymptotically mean square stable) if for any , there exists a such that for all , for all (resp.).
Definition 3 (see [52]). The zero solution to the system (1) is finite time stable if there exists a state indexed stochastic process , called a stochastic settling-time, such that the following statements hold:(i)Finiteness of the stochastic settling-time. For every , the stochastic settling-time is finite almost surely.(ii)Finite time convergence in probability. For every , for and , and And if , then .(iii)Lyapunov stability in probability. For every and , there exists such that, for all ,The zero solution to the system (3) is globally finite time stable in probability if it is finite time stable in probability with .
Definition 4 (see [51]). Consider the stochastic discrete dynamical system (1) and let . Then, the difference operator of is defined byThen, the difference operator of the state vector for can be written as follows:which is a random variable now.
Theorem 5 (see [51]). For the system (1), assume that there exists a continuous function such that
Then, the zero solution to the system (3) is Lyapunov stable in probability. If, in addition, for every and , where is a bounded neighborhood of the origin, there exists such thatthen, the zero solution to the system (3) is asymptotically stable in probability. Moreover, if , is radially unbounded, then the zero solution to the system (3) is globally asymptotically stable in probability.
Theorem 6 (see [52]). For the system (3), assume that there exists a continuous and radially unbounded function such thatwhere denotes a nondecreasing function, then the zero solution to the system (3) is globally finite time stable in probability. Moreover, there exists a stochastic settling-time such that ( is a finite constant).
Theorem 7 (see [48]). Consider the following controlled stochastic discrete dynamical system of the system (3) is given bywith initial condition and . Taking the performance measure asassume that there exists a continuous radially unbounded function and a control law such that
Then, zero solution to the system (15) is asymptotically stable in probability, and the feedback control minimizes the performance measure, that is, .
Remark 8. For further details on optimal control, including the construction of the Hamiltonian function, see [48].
Theorem 9 (see [53]). Consider the following stochastic discrete dynamical system is given bywith the initial condition . Here, . If there exist a nonnegative functional and two positive numbers such that the following conditions hold, then the zero solution to the system (18) is asymptotically mean square stable.where . In addition, if there exist a nonnegative functional which satisfies condition (19) and the conditionshold, then the zero solution to the system (18) is asymptotically mean square stable.
3. The Model
In this section, we will construct a stochastic discrete fractional Cournot duopoly game model based on a discrete Cournot duopoly game model in [23].
In the market, there is a standard Cournot rivalry between firms 1 and 2, both of which provide homogenous items that are perfect replacements.(a)Assume that the market-clearing price is an inverse demand function where denotes the quantity supplied by firms in period , and and are constants.(b)Assume that the cost functions are twice differentiable functions given by where are constants.
It follows from (21) and (22) that the profits of firms 1 and 2 can be calculated bywhere and denote the profits of firms 1 and 2, respectively.
Then, the marginal profits of firms 1 and 2 can be obtained by differentiating with respect to and , respectively, that is,
Note that firms can consider a repeated adjustment game mechanism based on the long-memory effect and the local estimation of the marginal profit, which can be described bywhere for , and denotes the fractional Grünwald–Letnikov difference operator, instead of the -order left Caputo-like delta difference operator in [23].
However, older historical data may not accurately reflect the current market demand. As a result, the two bounded rational firms attempt to disregard older historical data and use only recent historical data while developing strategies and playing the game, which means that boundedly rational firms will use a short-memory adjustment mechanism to update the amount produced in each period . In reality, given the markets quick renewal and unpredictability, firms frequently use just short-term historical data for reference while developing their plans. In this study, we explore the truncated version of the fractional Grünwald–Letnikov difference operator to characterize the short-memory effect.
Using the truncated form of the fractional Grünwald–Letnikov difference operator [50], the adjustment game mechanism (25) turns into the following game with the memory length .
Furthermore, it is inevitable to be disturbed by stochastic factors in the real environment. Therefore, to capture the effect of stochastic factors, we introduce stochastic noise into the above game and study the new stochastic discrete fractional Cournot duopoly game system in this paper as shown below:where are continuous functions, and all stochastic variables are independent and identically distributed with and .
Now, the Nash equilibrium for the system (27) will be explored. Assume that is a Nash equilibrium satisfying for .
Proposition 10. The system (9) has four Nash equilibria:whereand , .
Proof. To study the equilibrium points of this system, we first introduce the idea of solving equilibrium point in the following. Without loss of generality, consider a system has the formThe equilibrium point x∗ of system (30) satisfies the following form.Substituting now, into (27) yieldsby straightforward calculation; we can obtain the assertions of Proposition 10 and the proof ends.
Remark 11. Since , , and are positive constants, then and . As a result, the Nash equilibrium points in Proposition 10 have practical value. Furthermore, if the two firms adopt the same learning law (that is ), then we can obtain a positive Nash equilibrium when the memory intensity and length satisfy the condition .
Similar to [23], it follows that the equilibrium points , , and are boundary equilibria, and the equilibrium point is a unique interior Nash equilibrium point. Considering the meaning of the equilibrium point in real-world problems, we exclusively investigate the stability of the interior equilibrium point in this study.
4. Stochastic Stability
4.1. Lyapunov Stable in Probability
We present sufficient conditions on the Lyapunov stability in probability by employing the Lyapunov theory for the system (27) in this subsection.
According to the idea of [53], we will consider the asymptotically mean square stability of the linearized system of (27). Putting, first, , , and centering (27) via new variables and , we have.where
Theorem 12. Let max , , and . The system (27) is Lyapunov stable in probability at ifand
Proof. Note that the linear part of (33) is as follows:where , , and denotes the transpose operator. We now consider the auxiliary system of (37).where .
Obviously, it follows from condition (35) and Young’s inequality thatSo, we can take the Lyapunov function of (38) as follows:Therefore, the Lyapunov function of (37) is constructed as the form,By (37) and Hölder’s inequality, we haveTherefore, it follows from Theorem 9 that the zero solution to the system (37) is asymptotically mean square stable in probability, which implies that the system (27) is Lyapunov stable in probability at . The proof is completed.
4.2. Finite Time Stable in Probability
In this subsection, by adopting the feedback control principle, we will study the finite time stability in probability for the system (27).
To address this problem, consider the following controlled stochastic discrete fractional Cournot duopoly game system:where are the feedback controllers that are continuous functions with respect to .
It follows from variable substitution and that the system (43) can be reduced to
Furthermore, if we takethen substituting the controls into (44) yields
We can observe that the variables and are independent in the system (46). Therefore, we only need to consider the finite time stability in probability of the two subsystems of (46), respectively.
Let . Then, the first subsystem of (46) can be written as the following matrix form.where and . Let . The second subsystem of (46) can be discussed similarly. Therefore, the following theorem follows from Theorem 6, with its proof omitted.
Theorem 13. If there exists a continuous and radially unbounded function such thatwhere denotes a nondecreasing function and , then the system (27) is finite time stable in probability at with the feedback controllers
From the study above, it shown that the memory length and fractional order we take into consideration have a significant impact on the occurrence of a nonzero Nash equilibrium point. By taking an acceptable fractional order and memory step, a positive Nash equilibrium point can be reached, indicating that these two firms continue to operate side by side in the market. This helps to maintain the market’s stability.
5. Optimal Control
In this section, with the help of the feedback control principle, we will study stochastic locally optimal control for a quadratic performance measure under a controlled version of the system (33).
Denote the vector as the vector , then the matrix form of (33) is given bywhere ,
To address the locally optimal control problem, we consider a linear controlled version of the system (50).with a performance measurewhere the initial value is in and the controller is feasible and feedback with respect to the state in (52) satisfyingfor some continuous radially unbounded function , and the cost function is a continuous function [48].
In this paper, consider a quadratic performance measure, which is given bywhere is a positive definite matrix.
Theorem 14. The system (21) is locally asymptotically stable in probability at zero; furthermore, the feedback controller minimizes (22) such thatif the positive definite matric satisfies
Proof. Taking , the Hamiltonian function has the following form:From (58), it follows that ; therefore, setting gives the feedback control as follows:Further, it follows from (55) and (57) thatand , which means that the system (52) is locally asymptotically stable in probability at zero. Moreover, the controller minimizes (55), and by Theorem 7,The proof is completed.
6. The Stochastic Discrete Fractional Cournot Duopoly Game Model with
Specifically, we present sufficient conditions on the Lyapunov stability in probability and the finite time stability in probability for the system (27) with at the interior Nash equilibrium point.
Let , by (27), we have
Corollary 15. The system (62) has a unique interior Nash equilibrium pointwherewith parameters
Proof. The result is a direct consequence of Proposition 10 with .
Corollary 16. Let , , and , the system (62) is Lyapunov stable in probability at if
Proof. It follows from variable substitution and that the system (62) can be reduced towhereConsidering the linearized system as above, the system yieldsClearly, for the system (69), we can obtain the result of Corollary 16 by using a proof similar to Theorem 12. The proof is completed.
Remark 17. Here, we focus on the stability in probability of the equilibrium point of the system (62). In Corollary 15, we give sufficient conditions for the existence of the equilibrium point. The stability in probability of the equilibrium point of the original system (62) is transferred to the stability in probability of the zero equilibrium point of the new system (67) using a translational transformation. Furthermore, we can find that the zero solution of the linearized system (69) of the system (67) exists.
To address the finite time stability in probability for the system (62), consider the controlled stochastic discrete fractional Cournot duopoly game system below.where are the feedback controllers that are continuous functions with respect to .
Corollary 18. Let . Ifwhere and with parameters
Then, the system (62) is finite time stable in probability at the under the two controllers
Proof. It follows from variable substitution and thatNote that the variables and are independent in the system (74); therefore, we only need to consider the finite time stability of the subsystem of (74). Let , so we can obtain the matrix form of first subsystem of (74) as follows:where and .
Now, taking the Lyapunov function , it follows from (10) and Young’s inequality thatIt follows from (71) that , which means that the system (75) is globally asymptotically stable in probability. Note that (76) further implies the conditions of Theorem 6, thus it follows from Theorem 6 that the zero solution to the system (75) is finite time stable in probability with a stochastic settling-time satisfying ( is a finite constant).
Next, let , so we can obtain the matrix form of second subsystem of (74) as follows:where and .
Similar to the above proof steps, we can show that the second subsystem is also finite time stable in probability under condition (71). The proof is completed.
With the feedback control principle, next, we will study the stochastic locally optimal control for the system (62). In this case, the cost function is still (55).
First, putting , we can obtain the matrix form of (67), which is given bywhere ,Then, it follows from Theorem 14 that the following Corollary 19 holds.
Corollary 19. The system (26) is locally asymptotically stable in probability at the ; furthermore, the feedback controller minimizes (22), that is, , if the positive definite matric satisfies
7. Numerical Examples
This section gives several examples to illustrate the validity of the obtained results.
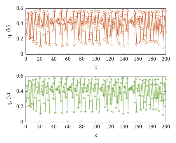
Example 1. Take . The bifurcation diagram of (62) in the path sense is shown in Figure 1. Figure 2 depicts the chaotic solutions in the path sense as bifurcation parameter , and the corresponding 0-1 test result is shown in Figure 3.



Example 2. Take . Then, the interior Nash equilibrium point is . Thus, it follows from Corollary 16 that the system (62) is Lyapunov stable in probability as . When , the numerical results are shown in Figure 4.

Example 3. Take . Then, the interior Nash equilibrium point is . The numerical results are shown in Figure 5.

8. Conclusion and Discussion
The main contributions of this paper are as follows:(a)This study proposes a class of stochastic discrete fractional models and develops the Lyapunov function stability theory for such models. Also, the method developed in this paper can be extended to study other stochastic discrete fractional models. The results obtained further enrich the theory of discrete fractional calculus, while also laying the foundations for the application of stochastic discrete fractional calculus to financial models.(b)We proposed a new stochastic discrete fractional Cournot duopoly game model based on the truncated form of a fractional Grünwald–Letnikov difference operator. This modeling approach introduces a new modeling tool for modeling and analysis in finance. Compared with [23], we considered the effects of stochastic perturbations and sliding memory, and the proposed model is more flexible and general.(c)By using the Lyapunov theory, we obtained sufficient conditions on the stability in probability and finite time stability in probability for the proposed model at the interior Nash equilibrium point. Furthermore, the locally optimal control conditions are obtained via the stochastic Bellman theory and feedback control principle.(d)The analysis conducted shows that the new model has a unique interior positive Nash equilibrium point that remains stable under certain conditions by considering appropriate fractional order value and memory step, indicating that these two firms persist and coexist in the market. Both firms can play the game by selecting the memory step and memory strength to achieve a win-win outcome. From the point of view of the evaluation of market stability, these results show that the fractional version has better application prospects.(e)In addition, the results also show that the memory effect can transform simple games into complex ones. When changing the memory strength, we found that the new short-memory game model has chaotic phenomena through numerical simulations, indicating that the behavior of the game model becomes unpredictable. As a result, the short-memory effect cannot be overlooked as an important driver in economic dynamics. The findings of this study are useful in the development of many dynamical models in economics and finance, biological evolution, and other fields.
It is worth noting that some coupling terms are separated using Young’s inequality, which is conservative. Besides, only the stability in probability of the model is investigated, while stronger stability in probability, such as the mean square stability of nonlinear stochastic discrete fractional models, is not addressed in this paper.
The following are future research programs:(a)Develop new stability conditions based on the Jacobian matrix method.(b)This paper considers that two bounded rational firms have the same memory length, but the memory length is different due to the difference in individual managers. Therefore, it would be interesting to consider the setting that two bounded rational firms have different memory lengths in future research.(c)Also, as Xin et al. indicated in [23], there may be a combination of short and long memory, which would be fascinating to investigate.(d)Because the fractional model is extremely dependent on the fractional order and the memory step , it is an open question of how to determine the appropriate step size and fractional order in a real setting.(e)Combine with real-world financial data to further develop the application of the model.
Data Availability
No additional data are available for the paper.
Conflicts of Interest
The authors declare that they have no conflicts of interest.
Authors’ Contributions
Jie Ran was responsible for methodology, investigation, conceptualization, writing the original draft, and reviewing and editing the article. Yonghui Zhou was responsible for supervision, conceptualization, reviewing and editing the article, and funding acquisition.
Acknowledgments
The authors thank Dr. Carmen Coll for some helpful discussion. This work was supported by the National Natural Science Foundation of China (Grant No. 11861025), QKZYD[2022]4055, Natural Science Research Project of Guizhou Provincial Department of Education (No. QJJ [2023]011), and Science and Technology Foundation of Guizhou Province (No. ZK[2021]020).