Abstract
Many surface treatment methods are used to improve the corrosion resistance of magnesium alloys. LDH (layered double hydroxides) conversion coatings are currently found in the most environmentally friendly and pollution-free coatings of magnesium alloy. In this study, the CO2 pressurization method was applied to the preparation of LDH coating on magnesium alloy for the first time. The effect of CO2 pressurization on the formation and corrosion resistance of LDH coating on AZ91D alloy was investigated. The hardness and adhesion were significantly higher on LDH coating in the case of CO2 pressurization than it is in atmospheric pressure. The surface and cross-sectional morphologies show that LDH coating is more compact in the case of CO2 pressurization than with atmospheric pressure. The results of the polarization curve, hydrogen evolution, and immersion tests indicate that the corrosion resistance of the LDH coating prepared by the CO2 pressurization method was significantly improved.
1. Introduction
Magnesium and magnesium alloys are a “green engineering material” in the 21st century, having a wide range of application prospects, such as automotive, in aerospace, portable electronic devices, and in medicine. This is due to their superior strength-weight ratio, dimensional stability, light weight, recycling ability, and other excellent properties [1, 2]. However, the corrosion resistance of magnesium and magnesium alloys is extremely poor, severely restricting their further development [3, 4]. In order to expand the application of magnesium alloy and improve its corrosion resistance, the corrosion mechanism and surface protection of magnesium alloy materials have been studied extensively by domestic and foreign scholars [5–9]. Through surface modification and the coating on the surface of magnesium alloy, the defects of the corrosion resistance of magnesium alloys can be improved economically and effectively. Examples of this include conversion coating [10–12], anode oxidation [13, 14], electroplating [15, 16], and physical vapor deposition (PVD) [17, 18], among which the most widely used in the past decade is chromate conversion coating. Chromate conversion coating is a simple process, with the product coating demonstrating good heat stability and providing good protection for the magnesium alloy. However, chromate is toxic to the environment and hazardous to human beings, leading to it being banned in recent years. Lately, focus has turned to conversion coating that contains no chromium [12, 19, 20], such as phosphate [21, 22], phosphate-permanganate [23–25], stannate [26, 27], vanadate [28, 29], cerate [27, 30], lanthanite [31], and LDHs surface coatings [32–36]. Of these, LDH surface coating, as an environmentally friendly coating, has attracted more attention as it brings no pollution to the environment.
Layered double hydroxides (LDH) are environmentally friendly intercalation compounds. They are represented by a general formula of [(OH)2]·mH2O, where M2+ and M3+ represent divalent (e.g., Mg2+, Ca2+, Cu2+, Mn2+, Ni2+, and Zn2+) and trivalent metallic cations (e.g., Al3+, Cr3+, Fe3+, Mn3+, and Co3+), respectively; X indicates the molar ratio of M3+/(M2++ M3+) and its value ranges from 0.20 to 0.33, finally, with being an n- valent anion, which is exchangeable anions. The anions (e.g., Cl−, , , and ) and variety of organic anions can be exchanged between the outside and interlayer spaces occupied by the water molecules [37, 38]. Uan et al. [39–43] proposed the characterization of Mg-Al hydrotalcite conversion coating on Mg alloy. Chen et al. [44–46] studied the in situ growth mechanism of Mg-Al hydrotalcite conversion coating on AZ31 magnesium alloy. Syu et al. [47] further studied an Li-Al-CO3 double-phase hydroxide coating. Later, Zhang et al. [48] used a coprecipitation method to synthesize layered double hydroxides containing magnesium alloy. Wang et al. [49] synthesized hydrotalcite conversion coating on magnesium alloy.
In this study, considering the time consuming and weak antipollution properties owing to the complex process preparation of LDH conversion coatings for former process, a new method, CO2 pressurization method, for preparing LDH conversion coatings was proposed. The introduction of a CO2 pressurization method is based on the previous studies of Uan et al. [39–43]. LDH conversion coatings are prepared efficiently and quickly under CO2 pressurization. A systematic investigation of the microstructure, hardness, adhesion, and corrosion resistance of LDH conversion coating is carried out.
2. Experiment
2.1. Material
For the purposes of this paper, AZ91D magnesium alloy was selected as the object material to be studied. It is composed of 8.8 wt.% Al, 0.69 wt.% Zn, 0.212 wt.% Mn, 0.02 wt.% Si, 0.002 wt.% Cu, 0.005 wt.% Fe, and 0.001 wt.% Ni. The AZ91D magnesium alloy ingot was cut into 20mm×12mm×6mm samples, each of which was ground with 1000#-2000#-mesh SiC abrasive paper and ultrasonically cleaned in anhydrous ethanol.
2.2. Conversion Bath and Preparation of LDH Coating
All of the reagents/reactants used were clean and nonpolluting. In a typical preparation, the CO2 was introduced in deionized water at room temperature with the flow rate of 1 dm3/min for 20 min, in order to form the solution. The pH of the bath was approximately 4.3 [39]. The LDH coating was prepared by means of three methods (see Table 1).
The first LDH coating was prepared by a one-step immersion method. The specimens were statically immersed in the bath at 50°C for a particular period for 24h, denoted above as CO2_24h treatment [39, 40]. The second LDH coating was prepared by a two-step immersion method. The specimens were immersed in the bath and CO2 gas was continuously bubbled for 2h. Subsequently, the prep-treating bath was maintained at pH 11.5 by the dropwise addition of 1.25 M aqueous NaOH with vigorous stirring. The prep-treating specimens were immediately hydrothermally treated such treating at 50°C for 2h. The two-step treatment was denoted as CO2_2 h/pH11.5_2h [41–43]. The third LDH coating was prepared by the CO2 pressurization method (see Figure 1). The bath was placed in an autoclave and then pressurized to 3MPa by pumping CO2 gas, with the specimens of magnesium alloy being immersed in the autoclave at 50°C and under for 0.5h. This was denoted above as CO2_3MPa_0.5h.

2.3. Hardness and Adhesion
The HVS-5 digital Vickers hardness was used to test the Vickers hardness, with 5Kgf being loaded for 10s. The QFH type paint film was used to test the adhesion of the LDH coating, with the test results of the LDH coating being observed according to ISO2409-1974.
2.4. Microstructure
The surface and cross-sectional morphologies of LDH coating were observed by a Philips XL30 and JEOL JSM-6700F SEM, respectively. The microstructure was analyzed with X-ray diffraction (GAXRD) at Cu kα1(1.5405 Å).
2.5. Corrosion Resistance
Potentiodynamic polarization measurements of AZ91D alloy with and without LDH coating were performed in an electrochemical workstation (Zennium, Zahner) with a three-electrode cell, using a platinum foil as the counter electrode and a saturated calomel electrode (SCE, saturated KCl) as the reference electrode in aerated 3.5wt% NaCl solution. The corrosion of magnesium alloy is mainly shown as the hydrogen evolution of the cathode. In order to avoid the influence of the cathode process on the whole electrochemical testing process, the anodic and cathodic polarization curves of the specimens were measured from the open circuit potential (OCP) to the anodic and cathodic side in the 300mv range, with a scan rate of 0.333mV·s−1, respectively. The above measurements were repeated at least five times. Hydrogen evolution data were measured by collecting hydrogen from the reaction in a hydrogen collector. The samples were placed in a beaker containing 3.5wt% NaCl solution and in a water bath pot with a constant temperature (30±1°C). The burette was connected to the funnel, inverted into the solution, perpendicular to the sample to be tested, with it being noted that the top of the burette should be fully immersed in the solution. The hydrogen bubble produced by the magnesium alloy corrosion was introduced into the burette through the funnel so that the hydrogen evolution rate of the magnesium alloy and the film could be determined by the change of the reading on the burette after the hydrogen is collected. All of the hydrogen measurements were repeated at least three times. The immersion test was conducted to determine the corrosion rate of the AZ91D alloy with different LDH coating for 120 hours, with the macroscopic corrosion morphologies being obtained using a digital camera. For the immersion test, all measurements were repeated at least three times at 30 ± 1°C.
3. Results and Discussion
3.1. Effect of CO2 Pressurization on Hardness and Adhesion
The effect of the CO2 pressurization method on the hardness of the magnesium alloy surface is shown in Figure 2.

The surface hardness was improved by the surface treatment and the hardness increased even more of the CO2_3MPa_0.5h LDH coating. The macroscopic morphologies of the three specimens with different surface treatments after adhesion test are shown in Figure 3, where it can be clearly seen that the LDH coating detachment from the surface of the specimens was a mixed adhesive/cohesive fracture.

(a)

(b)

(c)
The results of the adhesion test are shown in Table 2). The cross cut tests are used to evaluate the adhesion of the conversion coating by attaching a 3M tape to the surface of the sample cross cut and removing it so as to observe the degree of detachment of the coating layer from the substrate. For the CO2_2h/pH11.5_2h and CO2_24h coating samples, the peeling area of the conversion film was less than 5%. The coating sample of CO2_3MPa_0.5h showed almost never anything off of it. This suggests that the adhesion values can be ranked in the following descending order: CO2_3MPa_0.5h > CO2_24h ≈ CO2_2h/pH11.5_2h.
3.2. Effect of CO2 Pressurization on Microstructure
The surface and cross-sectional morphologies of LDH coating are shown in Figures 4 and 5. The surface morphology of the CO2_3MPa_0.5h LDH coating was completely different from those of CO2_24h and CO2_2h/pH11.5_2h. The microcracks on the coating surface of CO2_3MPa_0.5h almost disappeared, resulting in a dense and flat surface with island-like features. Moreover, the cross-sectional morphology observation indicates that the CO2_3MPa_0.5h LDH coating is compact, integral, and with less microcracks.


(a)

(b)

(c)

(d)
Opposed to this, CO2_24h and CO2_2h/pH11.5_2h show a large number of microcracks on the LDH coating, with the possibility that there are some cracks reaching the interface between the coating and the substrate.
The XRD patterns of the cast and different conversion coatings of AZ91D alloy are shown in Figure 6. The diffraction peaks of α-Mg, Mg17Al12, and LDH were detected. There were no discrepancies in the crystallographic orientations, with the diffraction peaks of LDH between the CO2_24h, CO2_2h/pH11.5_2h, and CO2_3Mpa_0.5h specimens. However, there were higher peaks of LDH on the CO2_3Mpa_0.5h specimen, indicating that the CO2 pressurization method is easier for promoting the dynamic crystallization process of LDH conversion film on AZ91D magnesium alloy surfaces.

3.3. Effect of CO2 Pressurization on Corrosion Resistance
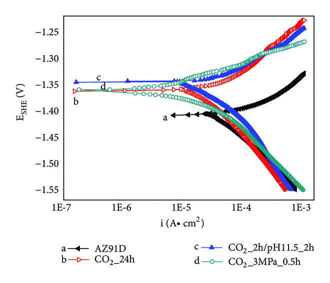
The potentiodynamic polarization curves of the AZ91D alloy with and without conversion coatings are shown in Figure 7.

The corresponding electrochemical parameters, including corrosion potential (), corrosion current density (), and percentage of efficiencies (efficiency%), are calculated from the curves and listed in Table 3.
The hydrogen evolution rate (HER) of the AZ91D alloy with and without conversion coating is shown in Figure 8. It is well-known that the HER is proportional to the corrosion rate [48–52]. After the conversion treatment, the HER of CO2_3MPa_0.5h coated AZ91D alloy (0.624±0.028 mL·h−1·cm−2) is lower by nearly 3 times that of the bare AZ91D alloy (1.920±0.114 mL·h−1·cm−2), implying that conversion coating improves the corrosion resistance of AZ91D alloy. Moreover, the HER of CO2_3MPa_0.5h coating was approximately equal to that of the CO2_2h/pH11.5_2h coating and lower than that of the CO2_24h coating. An immersion test of 120 h was employed to evaluate the corrosion resistance of the conversion coatings. The macroscopic morphologies of AZ91D alloy with and without conversion coating are shown in Figure 9.


According to the Butler-Volmer equation, the corrosion current density () should be determined based on the cathodic branch of the polarization curves by the Tafel extrapolation method [50], with being equal to the intersection of the horizontal line of the corrosion potential () and the Tafel line of the cathodic process. It can be seen that the anodic reaction of AZ91D alloy is significantly inhibited. of the CO2_3MPa_0.5h coating (-1.36 V) is higher than that of the AZ91D alloy (-1.41 V). Furthermore, of the coated AZ91D alloy (8.92±1.37 μA.cm−2) is lower by nearly one order of magnitude than that of the bare AZ91D alloy (83.62±1.63 μA.cm−2), indicating that the conversion coating effectively enhanced the corrosion resistance of the AZ91D alloy. Compared to the CO2_24h and CO2_2h/pH11.5_2h LDH coatings, the corrosion resistance of CO2_3MPa_0.5h is also higher than the CO2_24h and CO2_2h/pH11.5_2h LDH coatings, embodying the lower . Moreover, the percentage of efficiencies (efficiency%), which is calculated from the ratio of with and without conversion coating, also shows that CO2_3MPa_0.5h > CO2_2h/pH11.5_2h > CO2_24h. The above results show that of LDH coating can be ranked in the increasing series: CO2_3MPa_0.5h < CO2_2h/pH11.5_2h < CO2_24h.
Additionally, the percentage of the surface area rusted for each specimen is estimated by using the visual examples according to ASTM D610-08. It is evident that the bare AZ91D alloy underwent severe attack rust grade 3G. Meanwhile, only several corroded spots are observed on the surfaces of the CO2_3MPa_0.5h, CO2_2h/pH11.5_2h, and CO2_24h coated specimens, where the corresponding rust grades were 7G, 7G, and 6G, respectively. The results of the immersion test are in good agreement with those of the polarization curve and HER, indicating the improvement of the corrosion resistance of AZ91D alloy after CO2_3MPa_0.5h conversion treatment.
According to the above results, the anticorrosion performance of LDH coating can be ranked in the following decreasing series: CO2_3MPa_0.5h ≈ CO2_2h/pH11.5_2h > CO2_24h. However, the preparation efficiency of CO2_3MPa_0.5h coating is 8 and 48 times higher than that of the CO2_2h/pH11.5_2h and CO2_24h coatings. Considering the corrosion resistance and preparation efficiency of the three coatings, the performance of CO2_3MPa_0.5h coating is superior to that of the CO2_2h/pH11.5_2h and CO2_24h coatings.
3.4. Effect of CO2 Pressurization on Film-Forming Power Process
The film-forming process of the LDH conversion coating is a kind of physical and chemical processes. The reaction process of the AZ91D magnesium alloy matrix material mainly includes an electrochemical reaction, an ionization reaction, and a coating-forming reaction in carbonate solution. Its specific chemical reaction equation is shown in formulae (1)~(6) [50–52].The electrochemical reactions are shown in (1), (2), and (3), with it mainly being characterized as the dissolution of the metal of the anode and hydrogen ions of the cathode overflow. The ionization reactions are shown in (4) and (5), it basically being the ionization of the carbonate solution into the process of carbonate ions and bicarbonate ions. The film-forming reaction is shown in (6), with it mainly being the formation of a hydrotalcite conversion coating process, with magnesium ions, aluminium ions, carbonate ions, hydroxyl ions, and an aqueous solution. The vapor pressure of the solute in the dilute solution is proportional to the concentration of the solution, according to Henry’s law. The higher the temperature, the smaller the solubility, the greater the pressure, and the greater the solubility at a certain temperature.
Due to the CO2 pressurization, the CO2 solubility in the solution increased, with the proportion of carbonate ions in the solution also increasing, resulting in an increase in the hydrogen ion concentration increased and promoting the electrochemical reaction to the right, thus accelerating the dissolution of the aluminium and magnesium ions. Further due to the CO2 pressurization, the ionization is promoted to a positive reaction, accelerating, increasing the hydroxyl ions in the solution, and at the same time increasing the ionization reaction to the right, with the concentration of carbonate ion and bicarbonate ion in the solution being increased. The acceleration of the electrochemical reaction and ionization promoted the film-forming of the magnesium alloy matrix and the increase of the magnesium ions, aluminium ion, carbonate ions, and hydroxyl ions, promoting the film to a positive reaction and eventually improving the film-forming reaction rate. The film-forming process is shown in Figure 10.

(a)

(b)

(c)

(d)
In the initial stages, the conversion coating was very thin, with a small angular cavity or pit, such as a honeycomb cell, as can be seen in Figure 10(a). With the extension of the coating formation time, the conversion coating began to thicken and grow with layer, as shown in Figure 10(b). The surface was completely covered at 30 min, as show in Figure 10(c). With the cross-section of the coating, it can be found that the conversion coating first became in the α-Mg phase, with the conversion coating also present in the β-phase as the processing time increased. At 30 min, the surface of the magnesium alloy was covered with a complete and dense hydrotalcite conversion coating (see Figure 10).
4. Conclusion
The CO2 pressurization method was first applied to the preparation of LDH coating on AZ91D alloy. The conversion coating first became in the α-Mg phase, with the conversion coating also present in the β-phase as the processing time increased. The formation rate of LDH coating was increased, indicating that the preparation efficiency can be improved greatly under CO2 pressurization. Through this method, an LDH coating with higher thickness and less microcracks formed on the AZ91D alloy, significantly enhancing its anticorrosion performance. Compared to traditional processed, the anticorrosion performance of the CO2_3MPa_0.5h coating was approximately equal to that of the CO2_2h/pH11.5_2h coating and was higher than that of the CO2_24h coating. Considering the anticorrosion performance and preparation efficiency, the CO2 pressurization method is a promising green technique for preparing LDH coating on magnesium alloy.
Data Availability
You can access the data through the link https://fairsharing.org/accounts/profile/.
Conflicts of Interest
The authors hereby declare that there are no conflicts of interest regarding the publication of this paper.
Acknowledgments
The authors wish to acknowledge the financial support of the National program for the Young Top-notch Professionals, the National Natural Science Foundation of China (nos. 51531007, 51771050, and 51705038), and Foundation of Young Scholars in HLJIT (2014QJ12).