Abstract
The photodegradation process of m-cresol (3-methylphenol), induced by Fe(III)-Cit complex, was investigated upon irradiation at 365 nm in natural water. The composition and photochemical properties of Fe(III)-Cit complex were studied by UV-Visible absorption spectrophotometer for optimizing the stoichiometry of the complex and photolysis under irradiation at 365 nm, respectively. A dark investigation of the system was performed before studying the photochemical behavior. The photooxidation efficiencies of m-cresol were dependent on the pH value, optimized at pH 2.86, oxygen, initial concentrations of Fe(III)-Cit complex, and m-cresol. Additionally, to look into the mechanism of m-cresol degradation using Fe(III)-Cit, tertiobutanol alcohol was used as scavenger for hydroxyl radicals and the result suggested that hydroxyl radical attack was the main pathway of m-cresol degradation. Besides, oxygen can enhance the photolysis of Fe(III)-Citrate complex by trapping the electron on the carbon centered radical formed after the photoredox process. Then O2•− formed reacts rapidly leading finally to formation of •OH radical. In absence of oxygen, less reactive species are formed; consequently the disappearance of m-cresol was strongly inhibited. Our work shows that the presence of Fe(III)-Citrate complex could have a considerable impact on the fate of organic pollutant in aquatic environment.
1. Introduction
Advanced oxidation technologies (AOTs) are innovative methods for water treatment, extremely useful in the case of substances resistant to conventional technologies [1, 2]. Due to its ability to generate •OH radicals, the photocatalysis of complexing agents is a promising new technique for removal pollutant. Although thermally stable, the use of complex on photocatalyst is recommended due to their presence in natural aquatic systems. It was reported that light irradiation of Fe(III) complexes with dissolved organic matter (DOM) could produce both Fe(II) by the ligand-to-metal charge transfer (LMCT) reactions and H2O2 through the reduction of O2 by photoexcited DOM [3–5]. The efficiency of this photocatalytic process has already been observed to remove compound from water. Citric acid (C (OH)(COOH)(CH2COOH) 2, 2-hydroxy-propane-1,2,3-tricarboxylic acid, Cit) is used as model compound of several natural systems because of its presence in plants and soils. It is an Fe(III) transport agent in biological systems [6], a frequent domestic and industrial chelating agent used in the food industry and in detergents [7], and it is often used as a reducing agent in photolytic and photocatalytic systems [7]. Fe(III) is easily complexed by citric acid giving Fe(III)-Cit. The literature report that Fe(III)-Cit is stable to near UV-Visible [8], but it is decomposed by photolysis below 242 nm [9–12]. In the case of Fe(III)-Cit, UV and blue-light promote an efficient photolysis with Fe(II) formation and oxidation of the ligand [13–15]. The reported final products are acetone, carbon dioxide, and acetonedicarboxylic acid (3-oxoglutaric acid, 3-OGA), while acetic and acetoacetic acids were found as intermediates [13].
Thus, the literature reports that the presence of carboxylic acids such as oxalic, citric, or tartaric acids with Fe(III) and UVA radiation improves the water elimination rates of organics such as dyes [16–18], herbicides [19–21], pesticides [22, 23], surfactants [24, 25], benzene [26], phenols [27, 28], and other hydrocarbons [29], among other [30]. During the photochemical reaction of Fe(III)-carboxylate complexes, dissolved Fe(II) and Fe(III) species, the superoxide and hydroxyl radicals (O2•−, •OOH), and hydrogen peroxides (H2O2) are formed as the key intermediates; the hydroxyl radical •OH is also produced.
It is known that organic pollutants were attacked by hydroxyl radical and mineralized efficiently in above photochemical system.
Fe(III)-Cit photolysis has been studied in detail by different authors [7, 20, 31]. Main steps of free radical generation can be represented as in the following reactions [7]: where and .
The aims of this study were as follows: (1) characterizing the physicochemical and photochemical properties of Fe(III)-Cit complex, (2) studying the photochemical degradation of m-cresol induced by Fe(III)-Cit system, and examining several factors that controlled the kinetics of m-cresol degradation.
2. Experimental
2.1. Reagents
All reagents were of the purest commercially available grade and used without further purification. The solutions were prepared using ultrapure water. Ferric perchlorate nonahydrate (Fe(ClO4)3, 9H2O), Carlo Erba, pur and citric acid (Synth) was used as ligand. 3-Methylphenol (m-cresol) was purchased by Prolabo (purity greater than 99%). Hydrochloric Acid, Merck, 25%, tertiobutanol, Prolabo, 99%, acetate sodium (99%), and acetic acid (99.5%) provided by Panreac, sodium hydroxide, Carlo Erba 98%, 1,10-phenantroline, Fluka, >99%. The pH was measured with a pH-meter type (HANNA) equipped with a combined glass electrode. The pH meter is first calibrated with buffer solutions (pH = 4, pH = 7, and pH = 10) and was adjusted when necessary by using HCl acid 0.1 M or NaOH 0.1 M.
2.2. Preparation of Fe(III)-Citrate Complex
A stock solution containing 13.0 mM citric acid was prepared with deionized water, and 2 mL of this stock solution was diluted to 50 mL. Stock solutions were prepared containing 13.0 mM (Fe(ClO4)3, 9H2O). The solution was maintained under anoxic conditions until further use. Equimolar Fe(III)-Cit complexes were prepared by adding 2 mL each of 13.0 mM citric acid and (Fe(ClO4)3, 9H2O) solution and diluted to a final concentration of 0.52 mM. The ionic strength of the solution was not controlled, and the pH was adjusted to 6.1 by NaOH 0.1 M [32]. All complexes were prepared under low light and kept in the dark to prevent photodecomposition.
2.3. Photodegradation Experiments
The irradiation experiments were performed in a Pyrex cylindrical reactor with a double envelope with about 3 cm in diameter, open to air, was placed in the centre of the cylindrical stainless steel container. The photoreactor was exposed to the radiation sources composed of one low pressure mercury UV lamp type Philips HPW 125, (UV-A, nm).
The solution (usually 50 mL) was continuous magnetically stirred with a magnetic bar during irradiation to insure its homogeneity. Control experiments showed that no degradation of m-cresol occurred in Fe(III)-Cit complex without irradiation in this reactor.
When necessary, reaction solutions were deaerated or oxygenated by purging with nitrogen or oxygen before irradiation. The purging time for the solution is 30 min.
2.4. Analysis
At different time intervals during the irradiation, samples were collected and analyzed by HPLC. m-cresol was monitored at 272 nm by HPLC (Shimadzu) equipped with a controller model SCL-10A VP, photodiode-array UV-Vis detector model SPD-M10A VP and two pumps model LC 8A. The system is controlled by software “Class VP5 for storing and processing of chromatograms.” The mobile phase was acetonitrile/water mixture (20/80, v/v) at a flow rate of 1.0 mLmin−1 using Supelco, C18 column (5 μm, 250 mm × 4.6 mm i.d). The absorption spectra of solutions have been recorded on a spectrophotometer Unicam “Heλios α” connected to a computer for the storage and treatment of spectra.
Fe(II) concentration was determined by the method of Zuo [33] with o-phenantroline by measuring the absorbance at 510 nm of the complex (the molar absorption coefficient: 11040 M−1·cm−1 [30]).
3. Results and Discussion
3.1. Spectral Properties of Complex
The UV-visible absorption spectra of citric acid, Fe(III) and Fe(III)-Cit complex were shown in Figure 1. The citric acid does not absorb significantly beyond 230 nm. The absorption spectrum of Fe(III) 0.52 mM in aqueous solution shows a strong absorption band at 297 nm. At the same time, we note that the absorbance of Fe(III)-Cit is low in the visible; however by nearer to the short wavelengths it becomes important. Furthermore a shoulder is observed around 226 nm for Fe(III)-Cit. It was obviously interpreted by the fact that Fe(III) was complexed by citric acid in the solution.

Determination of Stability Constant of the Fe(III)-Cit Complex
The determination of stability constant is performed using the method of saturation [34]. This method was based on the spectrophotometric analysis. The concentration of metal ions () in aqueous solution was kept constant and the concentration of the relative acid () was increased in the experiment. The volume of the solution is kept constant.
As shown in Figure 2, the absorbance of the aqueous solution was set as y-axis; the corresponding ratio of was set as x-axis. Then the ratio of represents the composition of the complex.
This absorbance becomes stable, which indicates that metal ions are totally complexed by the acid. The stoichiometry and stability constants of complex are deduced from following equation [35]:
Where is absorbance corresponding to the growing part of the saturation curve. is absorbance corresponding to the level of the saturation curve. is constant of stability. is concentration of ligand for each . is stoichiometric ratio () (Figure 3).
The stoichiometry of the complex that corresponds to the ratio () is estimated at 2 : 1. The value of is deduced from the graph (). .


3.2. Photochemical Properties of Fe(III)-Cit Complex
3.2.1. Photolysis of Fe(III)-Cit Complex
Photolysis of Fe(III)-Cit complex (0.3 mM) is studied in the aqueous solution under irradiation at 365 nm. The UV-visible evolution of the aqueous solution during irradiation was reported in Figure 4. Isosbestic points appear very clearly at 354 nm. It indicates that this complex is easily photolysed and provided the possibility for the formation of excited state complexes and further generated many kinds of radicals [36].

Analysis by HPLC
In aqueous solutions, the Fe(III)-Cit complex after irradiation can undergo LMCT, which produced Fe(II) and consumed citrate. As is shown in Figure 5, the photolysis efficiency of the Fe(III)-Cit in 50 min is 90% and the initial rate mol·L−1·min−1.
The formation of Fe(II) at the same time is followed by complexometry and reveal weak formation in the beginning of the reaction, whereas for long time the concentration of Fe(II) grown up.
The generation of Fe(II) by photochemical reactions of Fe(III)-Cit complex inducing •OH radicals production suggests that citrate in the Fe(III)-Cit systems simultaneously plays the roles of a carboxylate ligand and a reductant of Fe(III).

3.2.2. Effect of Fe(III)-Cit Complex on m-Cresol Photodegradation
(1) Interaction of the Mixture in Dark at Room Temperature
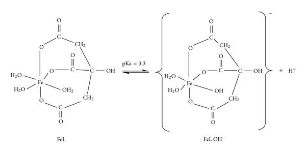
Fe(III)-Cit, with pKa = 3.3, undergoes a proteolytic equilibrium between a neutral form and the monohydroxy form Scheme 1.Though the absorption of Fe(III)-Cit complex varies with pH, it remains roughly constant at 365 nm over a large pH range [7] ( M−1 cm−1) from pH 6.1. In this research, m-cresol was used as a model and target compound to study the capacity of Fe(III)-Cit complexes in the degradation of pollutants.
The UV-visible spectra of m-cresol (0.1 mM) in aqueous solution exhibits maxima at 272 nm ( M−1 cm−1). Moreover, no detectable absorption is present above 400 nm.
A dark investigation of the system m-cresol/Fe(III)-Cit was performed before studying the photochemical behavior. The mixture m-cresol/Fe(III)-Cit(0,1 mM, 0,3 mM) was kept in the dark at room temperature.
Figure 6 shows the UV-Visible spectrum of different aqueous solutions freshly prepared.
Under our experimental conditions, no interaction occurs between the components when this mixture ages.
![]() |

(2) Photodegradation of m-Cresol Induced by Fe(III)-Cit Complex
Upon irradiation at 365 nm of a solution containing a mixture of m-cresol/Fe(III)-Cit (0.1 mM, 0.3 mM) in the natural conditions of pH and temperature, there is a decrease in the concentration of m-cresol. The concentration changes were followed by high performance liquid chromatography HPLC. In Figure 7, m-cresol disappears rapidly from the beginning of the reaction. This greatly slows down after 20 minutes of irradiation. This slowdown is explained by deficiency in Fe(III)-Cit complex. Indeed, the complex is 90% consumed after 30 minutes (insert Figure 7). This is consistent with the kinetics of disappearance of m-cresol maximum obtained after 30 minutes beyond which the concentration of Fe(II) slowed.

(3) Comparative Study by Means Inducer
The photodegradation of m-cresol (0.1 mM) was studied in this work. The control experiments were carried out in the systems with 0.3 mM FeClO4, 0.3 mM Citric Acid, and 0.3 mM Fe(III)-Cit complex. The dark reaction was carried out to keep the mixture of m-cresol, Fe(III), and Citrate in the dark. The results are presented in Figure 8.
In the single system of m-cresol under UV irradiation, the photodegradation efficiency of m-cresol reached 30% in 6 h. Therefore, direct UV irradiation is insufficient to decompose this pollutant. While in the two-component system with m-cresol and citric acid, the photodegradation efficiency at the same time is 34%. A small increase in the degradation efficiency of m-cresol is attributed to the possible oxidants (e.g., H2O2) that are produced by photolysis of citric acid ([20] and references therein):
where [37]
where [37].
The produced H2O2 is induced by UV irradiation to generate •OH [38] and then m-cresol is oxidized by •OH
In the catalytic system containing m-cresol and Fe(III), the photodegradation efficiency is increased to 22% in 6 h. This may be due to the formation of •OH radical from photoreduction of Fe(III) and m-cresol is decomposed according to
where [39].
As is reported by Wu and Deng [40], in the acidic medium, there are at least four different species of Fe(III) ions in aqueous solution: Fe(III); [Fe(OH)]2+; [Fe(OH)2]+; the dimer [Fe2(OH)2]4+. The quantum yield of •OH produced from the photolysis of [Fe(OH)]2+ is much higher than that of the other species. In the m-cresol/Fe(III)-Cit system the photodegradation efficiency reaches 52% in 6 h. It may be attributed to the formation of hydroxyl radicals through a photo-Fenton reaction system. Although •OH radicals could be produced by the direct photolysis of Fe(III) and citric acid, the amount of the radicals produced was less than in the Fe(III)-Cit system [41].

Effect of pH on m-Cresol Photodegradation
Experiments were carried out to study the pH effect on the photodegradation of m-cresol 0.1 mM in the solution with 0.3 mM of Fe(III)-Cit complex. pH was adjusted to desired value. Figure 9 shows that the optimal photodegradation efficiency was observed at acidic medium. More than 71% of the m-cresol degraded at pH = 2.86, but only 59% at pH = 3.5 and 54% at pH = 6.44 after 6 h of irradiation.The photodegradation efficiency slowed down when the value of pH increase. This fact can be attributed to the acidic condition approving the photocycling of Fe(III)/Fe(II) and the formation of active oxygen species, which was the main cause for the degradation of m-cresol.

Fe(II) Formation
Fe(II) concentration was also determined at the same time. Results presents also a strong effect of pH on the formation of Fe(II) species. Low pH is favorable for the formation of Fe(II), nevertheless, for the relative higher pH value, the concentration of iron species was slower (Figure 10).
Lower concentration of Fe(II) in the solution and lower formation of radicals species (•OH), causes the photodegradation efficiency of m-cresol to slow down.

Effect of the Complex Concentration on m-Cresol Photodegradation
Experiments were carried out to study the effect of Fe(III)-Cit concentration on the photodegradation of m-cresol. The initial concentrations of Fe(III)-Cit complex used in the work are 0.2, 0.3 and 0.47 mM. The solutions contain 0.1 mM of m-cresol with an initial pH value equal to 6.44. The results shown in Figure 11 illustrate that photodegradation efficiency of m-cresol increased with the increase of Fe(III)-Cit complex concentration. In fact, after 8 h irradiation, 54%, 52%, and 47% of the m-cresol had disappeared in the solution with 0.47, 0.3 and 0.2 mM of the Fe(III)-Cit complex, respectively.
It is clearly apparent that the increase in disappearance was roughly proportional to the concentration complex. In addition, there was no further m-cresol disappearance when complex concentrations were increased up to 0.47 mM.
In fact, if the complex concentration is too high, competition reaction will strongly exist between the organic substances (acid carboxylic and m-cresol) in aqueous solution. Less active species is available for the degradation of m-cresol.
It is important to note that during the irradiation process, Fe(III) has been photoreduced to Fe(II) and the reaction then continues (photocatalytic cycle Fe(III)/Fe(II) consuming Fe(II) and formed •OH, which is the main reason for m-cresol degradation.

Fe(II) Formation
By examining Figure 12 which presents the photogeneration of Fe(II) during the experiments two remarks will be highlighted: with higher concentration of complex, higher concentration of Fe(II) in the solution, and higher formation of radicals species, thus, the photodegradation efficiency of m-cresol is important. An additional excess in complex did not provide any additional increase in terms of pollutant removal.

Effect of m-Cresol Concentration on the Kinetic Photodegradation
Experiments were carried out under different m-cresol initial concentrations in the Fe(III)-Cit system at natural pH. As is shown in Figure 13, the photodegradation efficiency of m-cresol decreased with the increase of m-cresol concentration from 0.8 × 10−1) to 0.2 mM.For different initial concentrations of m-cresol, we calculated the half-lives (). Results were presented in Table 1.

Effect of Oxygen
Oxygen is another very important factor in the photochemical reactions. So it is necessary to study its effect on the photodegradation of m-cresol. The mixture m-cresol/Fe(III)-Cit (0.1 mM, 0.3 mM) was carried out in deaerated and oxygen saturated solution separately. The results presented in Figure 14 illustrate that oxygen has a strong effect on the reaction. The increase in oxygen in solution enhances the rate of reaction and then the photodegradation efficiency of m-cresol is improved.
These results are in good agreement with some authors [36, 42] who explain this phenomenon by generation of reactive species (, H2O2, and then •OH) in aqueous solutions in the presence of oxygen. In contrast, the m-cresol disappearance (less than 20%) seems to be related to the photolysis of m-cresol in aqueous solution at 365 nm (insert Figure 14).

Effect of Tertiobutanol
Contrary to Fe(III)-Cit disappearance that was insensitive to tertiobutanol, the degradation of m-cresol in the mixture m-cresol/Fe(III)-Cit (0.1 mM, 0.3 mM) was strongly inhibited in presence of tertiobutanol (Figure 15). This inhibition confirms the involvement of radical •OH in degradation of m-cresol induced by the complex Fe(III)-Cit.

4. Conclusion
In this work, the Fe(III)-Cit/UVA photocatalytic system is studied to remove m-cresol from water. We demonstrated that Fe(III) were complexed by citric acid, the formation and composition of Fe(III)-Cit complex was first studied. With a stoichiometry 2 : 1 and the value of stability constant being , this type of complexes could be formed in the natural aquatic environment due to the presence of citric acid and iron. Thus, under irradiation, the photolysis of Fe(III)-Cit complexes could represent the source of active oxygen radicals.
Upon irradiation at 365 nm, Fe(III)-Cit complex could enhance the photooxidation of m-cresol in the aqueous solution. The photodegradation efficiency relied on the pH, oxygen, Fe(III)-Cit complex, and m-cresol concentrations. All these factors have an impact on the concentration of Fe(II) formation and m-cresol disappearance and also on the kinetic of m-cresol degradation. High degradation efficiency was obtained at high concentrations of Fe(III)-Cit and at low pH = 2.86. However, the photodegradation efficiency was decreased with the increase of initial m-cresol concentration. The photodegradation efficiency of m-cresol is much higher in aerated solution than in the deaerated solution. Oxygen is a crucial parameter for formation of reactive species, such as ( and •OH) in the aqueous solution. Based on all these information obtained above, •OH is considered as the most important reactive species that plays the dominating role in the photodegradation process of m-cresol induced by Fe(III)-Cit complex. These observations promote much interest in the understanding of the mechanisms responsible for the degradation of m-cresol in the Fe(III)-Cit system. This work could help us to fully understand the photoreaction processes concerning Fe(III)-Cit complex for the degradation of pollutants in the aquatic environment under irradiation.
