Abstract
We solve some different type of Urysohn integral equations by using the radial basis functions. These types include the linear and nonlinear Fredholm, Volterra, and mixed Volterra-Fredholm integral equations. Our main aim is to investigate the rate of convergence to solve these equations using the radial basis functions which have normic structure that utilize approximation in higher dimensions. Of course, the use of this method often leads to ill-posed systems. Thus we propose an algorithm to improve the results. Numerical results show that this method leads to the exponential convergence for solving integral equations as it was already confirmed for partial and ordinary differential equations.
1. Introduction
Integral equations have been solved by many different methods [1, 2]. In [3] integral equations and methods of their solving are classified. This reference includes some traditional methods for solving integral equations. But some recent methods are Adomian decomposition method (ADM) [4], homotopy perturbation method (HPM) [5], He’s variational iteration methods [6], optimal control [7], wavelets [8–11], neural networks [12], simulation method [13], block-pulse method [14], and so forth. Also, there are many other articles which contain new approaches in solving integral equations [15–18]. It is necessary to recall that most of the mentioned methods are not easy for solving integral equations in higher dimensions [19–24] and also for solving the mixed Volterra-Fredholm cases [6, 25–27]. However, in the present paper, we restrict ourselves to the method of radial basis functions (RBFs).
The RBF methodology was introduced by Hardy [28]. At first, it was popular in multivariate interpolation [29–34]. In 1990, Kansa introduced a way to use these functions for solving parabolic, hyperbolic, and elliptic partial differential equations [35]. After that, radial basis functions have been widely applied in numerous fields. In spite of many other applications of RBFs, we only focus on the use of RBFs for solving integral equations.
In 1992, Makroglou [36] applied the collocation technique to solve various linear and nonlinear integral equations. In 2002, Galperin and Kansa [37] applied RBFs for solution of weakly singular Volterra integral equations by global optimization. In 2007, Alipanah and Dehghan [38] used RBFs for solving one-dimensional nonlinear Fredholm integral equations without optimization technique and via quadrature integration methods. In [39], this method is generalized for two dimensions problems and the accuracy of the method is compared with the traditional spectral method in [40]. Also, Avazzadeh et al. used the RBFs for solving partial integrodifferential equations [41–43].
In [38, 39], the method was applied for Fredholm integral equations. In this paper, we describe the method for solving more different types of integral equations such as Volterra and mixed Volterra-Fredholm equations. In fact, some singular types of integral equations can be solved by this method. Therefore, the method can solve linear and nonlinear Fredholm, Volterra, and mixed Volterra-Fredholm equations even in higher dimensions.
The paper is organized in the following way. In Section 2, the radial basis functions as a tool for approximation are introduced. In Section 3, we recall the method of the solution of Fredholm integral equation [38, 39] and then the Volterra and mixed Volterra-Fredholm integral equations will be solved by using radial basis functions. In Section 4, some illustrating examples are presented. The last section includes conclusion and some ideas for future work.
2. Radial Basis Functions
Definition 1. Consider a given set of distinct data points and the corresponding data values , the basic RBF interpolant is given by
where is the Euclidean norm, ( is a positive finite integer), and is scalar. Also , , is some radial basis functions. The coefficient is determined from the interpolation , , which leads to the following symmetric linear system:
where the entries of , , and are given by
Sometimes, are called center points. Every basis is directly related to one center point. Since these points are chosen arbitrarily, we have a mesh-free method [44–46].
The sufficient conditions for in (3) to guarantee nonsingularity of the matrix are given in [47]. Also, Micchelli [33] showed that a larger class of functions could be considered, and thus the RBF method is uniquely solvable.
There are two kinds of radial basis functions, the piecewise smooth and the infinitely smooth radial functions. For infinitely smooth radial functions, we have a shape parameter . The parameter is a free parameter for controlling the shape of functions. As the radial functions become flatter [48, 49].
Some piecewise smooth RBFs are (Cubic) and (Thin plate spline) and some common infinitely smooth examples of the that lead to a uniquely solvable method are in the following forms: linear: , Gaussian (GA): , Multiquadric (MQ): , , inverse multiquadric (IMQ): , inverse quadric (IQ): .
Madych and Nelson have proved exponential convergence property of multiquadratic approximation [31, 50]. He has shown that under certain conditions the interpolation error is (note that MQ RBF has been redefined from Hardy’s original definition by the transformation ), is the mesh size, and is a constant. As is said in [51], this implies that there are two ways to improve the approximation: either by reducing the size of or by increasing the magnitude of . It means that if then . While reducing leads to the heavy computations, increasing is without the extra computational cost. However, according to “uncertainty principle” of Schaback [52], as the error becomes smaller, the matrix becomes more ill-conditioned; hence the solution will break down as becomes too large. Nevertheless, there exists a wide range of that high accurate results can be produced. So, if we could solve the ill-conditioned system, we could increase and obtain the best approximation [50]. There are some experimental trials about the shape parameter, ill-conditioning, and convergence [53–55].
There are some methods for trade-off between and error [56, 57]. The golden section algorithm [56] as a new method for finding a good shape parameter can be effective but often it is expensive. Baxter [58] investigated the preconditioned conjugate gradient technique. Casciola et al. [59] regularized the solutions with changing the Euclidean norm to the anisotropic norm. Karageorghis et al. [60] applied the matrix decomposition algorithm for improving 3D elliptic problems. Also, there are the regularization techniques for solving ill-conditioned systems such as truncated singular value decomposition (TSVD) and Tikhonov regularization method. Reader can see details in [58–60] and the references there in.
3. Integral Equation
3.1. Fredholm Integral Equation
Consider the following Fredholm integral equation of the Urysohn form: where is constant; and are assumed to be defined on the interval , . Let be a radial basis function and we approximate with the following interpolant function: where and . Now, by replacing (5) in (4) we obtain In the above equation, , , are unknown. For computing them, we collocate the points , , as follows: By applying the Legendre quadrature integration formula [61], (5) can be changed to the following form: This is a nonlinear system of equations that can be solved by Newton’s iterative method to obtain the unknown vector .
Similarly, for the two-dimensional integral equation, consider the Fredholm integral equation as follows: where and are given analytic functions. According to (1) the function may be represented by approximate series as where is any natural number, , and . Noting the previous section, it is clear that the collocation points can be chosen as the centers. However, the selection process of the center points can affect accuracy; sometimes the uniform points or random points are preferred.
Replacing (10) in (9) we have In the above equation, only () are unknowns and it is an interesting technical advantage in using of RBFs. It means the process of solving is no more complicated in spite of increasing the dimension of the given problem.
Now we substitute the given collocation points in the above equation. Collocation points can be the same center points or any other arbitrary points: By applying the quadrature integration formula, (12) can be changed to the following form: This is a nonlinear system of equations that can be solved by Newton’s iterative method to obtain the unknown vector . We recall that the obtained linearized system by Newton’s method is ill-conditioned and the use of regularization methods is efficient. Also, we can apply some other iterative regularization methods for solving an ill-conditioned nonlinear system of equations [62].
The mentioned method for solving Fredholm integral equation was discussed in [38, 39] and in the current paper it is generalized for solving Volterra and Volterra-Fredholm integral equations.
3.2. Volterra Integral Equation
Consider the following Urysohn Volterra integral equation: where is constant; and are assumed to be defined on the interval , . Similar to the previous section, we substitute (5) in (14) and collocate the points , . So we have Using the linear transform as follows, reduces (15) to the following integral equation: Now, by applying a quadrature integration formula, we approximate the integral in (17) and thus we have a nonlinear system of equations that can be solved by Newton’s iterative method to obtain the unknown vector .
It is easy to use that the proposed method for solving the two-dimensional Volterra integral equation gives where and are given analytic functions. Similarly, we substitute (10) in (18) and collocate the points , . So we have In the above equation, let the linear transforms Therefore, (19) is reduced to the integral equation which can be solved easily: Now, by applying a quadrature integration formula, we approximate the obtained integrals; then the nonlinear system of equations can be solved by Newton’s iterative method to obtain the unknown vector .
3.3. The Mixed Volterra-Fredholm Integral Equation
In general, Volterra-Fredholm integral equations can be classified into different types [6, 26]. We will only investigate the mixed Volterra-Fredholm integral equations in the following form: where and are given analytic functions. Similarly, we must substitute (10) in (22) and collocate the points , . After that, let the linear transforms and apply the quadrature integration formula corresponding to . Similar to the previous section, we get the following system of equations: The obtained nonlinear system of equations can be solved by Newton’s iterative method to fulfill the unknown vector .
4. Numerical Example
In this section, some examples are given to show validity and efficiency of the mentioned method. In this paper, the computations have been done using the Maple 13 with 100 digits precision. Note that digits are important factor because the obtained systems are ill-conditioned. For improving the results we have two ways: increasing digits and applying a regularization method. Since decreasing of digits leads to intensive decreasing of accuracy [54], we preferred to use high digits instead of applying complicated regularization methods. It can be a trade-off between increasing of complexity of mathematical operations in applying a regularization algorithm and increasing digits.
In our practical experiments with 100 digits, even applying SVD, QR, and iterative refinement methods did not affect the results for solving the linear systems. It must be mentioned that although it occurred in our experiments, it can be related to the rate of ill-conditioning. Hence, we reported the result of solving the obtaining nonlinear systems by Newton’s iteration method without applying any regularization method. In this study, the criterion of accuracy is the value of infinity norm of the error function.
Example 1. Consider the following Volterra integral equation [63]:
where and the exact solution is . The error for some radial basis functions and for different values of is given in Table 1.
As it is mentioned, the interpolation error is , is the mesh size, , and is a constant [50]. However the proof is for an interpolant function [50] and we are involved with a nonlinear integral equation; since we apply the collocation method, the error of the approximation and interpolation techniques are nearly the same.
Now we investigate how affects error. Note that is directly related to because is inversely related to mesh size:
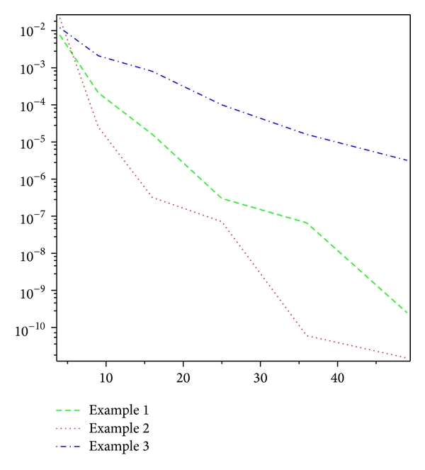
So, we expect increasing of decreases exponentially [44, 50]. In Figure 1, we show how affects error. Also, we show the effect of on error in Figure 2. We must note the obtained system is nonlinear. Therefore, although we expect the exponential trend, the nature of nonlinearity has negative effect on the rate of convergence which is different for each problem.

(a)

(b)

(c)

(d)

Example 2. Consider the following Volterra nonlinear integral equation [20]: with the exact solution . Error for some radial basis functions for different values of is given in Table 2. The effect of on error is shown in Figure 1.
Example 3. Consider the following Volterra-Fredholm integral equation of Urysohn type [24]:
where and the exact solution is . Error for some radial basis functions for different values of is given in Table 3. The exponential effect of on error is shown in Figure 1.
So far we compute the errors in the infinity norm that are shown in Tables 1, 2, and 3. Now, we compute the root mean square residual errors by the formula
where
such that is the approximated solution, is a large number, and are points uniformly distributed over the domain. This criterion shows tolerance of error in the solution region.
The results for Examples 1, 2, and 3 are reported in Table 4 for the Gaussian radial basis function with . In fact, if we have the exact solution, we can compute the absolute maximum of error or infinity norm of error function; otherwise, we must compute the root mean square residual error which is defined in (29). The comparison between Tables 1, 2, 3, and 4 confirms the strong correlation between the absolute maximum of errors and the root of mean square of residual errors. So, even without having the exact solution we still will be able to estimate the error of approximation.
5. Conclusion
First, we exploit some technical methods that can be used to improve results.
Supplementary Techniques
Quadrature Integration Methods. we applied the generalized Gauss-Lobatto quadrature on interval where the boundaries of the interval coincide with the collocation points. Since and in Gauss-Lobatto quadrature, we can improve the approximation on boundaries and the results are stable on boundary.
Regularization. We suggest applying the regularization methods for solving the resulting linear and particularly nonlinear systems. Considering there is no guarantee that Newton’s method leads to the convergent solution, using of the regularization methods such as Tikhonov or Landweber is definitely recommended for ill-conditioned nonlinear system [62].
Partitioning. As mentioned the obtained systems by the collocation points are ill-conditioned. Moreover, the ill-conditioning is worse by increasing the number of collocation points. Therefore, to avoid the ill-conditioning we can partition domain of problems to the smaller area. This technique gives the smaller systems that can be solved easier. The numerical experiments show that performance of this technique can be effective when it is not possible to improve the tools of computation.
Finding the accurate solution of the two-dimensional integral equations is usually difficult. In this work, the linear and nonlinear, Fredholm, Volterra, and mixed Volterra-Fredholm integral equations of the second kind are solved by applying the radial basis functions (RBFs) method. The illustrative examples confirm the exponential convergence rate for integral equations similar to rate of convergence for solving partial and ordinary deferential equations using RBF method reported in [53].
Conflict of Interests
The authors declare that there is no conflict of interests regarding the publication of this paper.
Acknowledgments
The work described in this paper was supported by the National Basic Research Program of China (973 Project no. 2010CB832702), the National Science Funds for Distinguished Young Scholars of China (1077403), NSFC Funds (no. 11372097), the 111 project under Grant B12032. Also, the authors greatly appreciate the precious time of Professor Mahdi Dehghan (from Amirkabir University, Iran) who help them generously.