Abstract
In this paper, a system of deterministic model is presented for the dynamical analysis of the interactional consequence of criminals and criminality on victimisation under two distinguishable forms of rehabilitation—the behavioural reformation of criminals and the emotional psychotherapy of victims. A threshold value, , responsible for the persistence of crime/criminality and victimisation, is obtained and, using it, stability analyses on the model performed. The impact of an effective implementation of the two forms of rehabilitation was found to be substantial on crime and criminality, while an ineffective implementation of same was observed to have a detrimental consequence. The prevention of repeat victimisation was seen to present a more viable option for containing crime than the noncriminalisation of victims. Further, the removal of criminals, either through quitting or death, among others, was also found to have a huge positive impact. Numerical simulations were performed for a variety of mixing criminal scenarios to verify the analytical results obtained.
1. Introduction
Crime is a complex dynamical phenomenon [1–8] that no one global community is free of [5, 7, 9–12]. While crime is ubiquitous, it does neither, however, appear to be uniformly distributed [7, 10–15] nor is its perception, severity, categorisation, and punishment across regions the same [12, 15]. It is thus quite challenging to provide a consistent and comprehensive definition of crime [4, 7, 16]. The common denominator for what constitutes a ‘crime’, however, consists of an unlawful act or the deviant behaviour of a perpetrator, its appropriate punishment, as prescribed by a criminal legislating institution [5, 16] and the victim of such acts [1, 16, 17]. Criminality is basically influenced by the convergence of three factors—a motivated offender, a suitable target, and the absence of a capable guardian [14, 18–20]. The rise in global crime and criminality, together with the attendant effect on victims is, in recent times, very worrisome [7, 10, 12, 17, 21–25]. Though most disturbing and absolutely unjustifiable, the assumption elsewhere is that offenders have needs that directly cause their criminal behaviour [23]. Other influencing risks factors [12, 23, 25–27] are equally very disheartening. It is expedient, therefore, to correct this dysfunctional mind-set through a systematic capacity building initiative which primarily focuses on assisting criminals to reconstruct personally meaningful and socially acceptable identities [28]. A comprehensive listing and categorisation of crime can be looked up in [8, 23]. The economic implication of crime is enormous [1, 15] and the ensuing psychological and/or physical aftermath of victimisation, to say the least, is colossal [1, 23, 26, 29–31]. Criminal activities are widely recognised to concentrate among a relatively few victims [32]. Further, empirical evidence has associated victimisation with a temporal future risk elevation of repeat and near repeat [1, 12, 23, 30–32]. Heterogenic association, either through direct contact with crime victims or indirectly through media outlets, that regularly publicise victimisation, could aggravate the fear of crime [12, 29, 31–33] or even the crime itself. Victimisation estimates should sufficiently index all occurrences of crime. However, there is a wide gap between occurrences and their records [6, 7] especially in developing countries. Victims are often reluctant or unwilling to report their ordeals for factors deserving institutional attention [7, 18, 34]. The challenges militating against easy and willful flow of crime information, as at when due, have continued to create avoidable bottlenecks in the dispensation of criminal justice [6, 7]. The social media has been explored in this regard in [35]. The short message service (SMS), like the Twitter-handle [35], has proven worthwhile in facilitating reportage [36, 37] and guaranteeing secrecy and confidentiality [9, 18, 36, 38]. A sufficient volume of research has proffered profound mathematical insight into the extent of and remedies to the menace of crime and criminality [2, 9, 13, 15, 27, 34, 39, 40–44]. The present study is motivated by the phenomenal successes in the modelling of systemic interactional dynamics [45–50]. The remainder of the paper is organised as follows. The model is formulated in Section 2. The analyses of the model (for the stability of the associated crime-free and crime persistence equilibria) are done in Section 3 and numerical simulations and discussion are carried out in Section 4. Finally, in Section 5 the conclusion is drawn.
2. Model Formulation and Basic Properties
We assume that the population being studied is a small, highly-criminally-prone subset of a larger population. The larger embedding population is relatively free of crime/criminality and provides a constant source for noncriminal individuals’ entry into the highly-criminally-prone population. Further, the understudied population is broadly considered to be categorised into human and the density of criminal cases (forwarded through SMS). The human population at time , given by , is basically divided into three mutually exclusive compartments of individuals who have not come in contact with criminals but are however at-risk of either being initiated into crime and criminality or victimisation, denoted by , criminals, denoted by and victims of crime, denoted by . In addition, both the criminal and victims of crime subpopulations are further subdivided into three subclasses. The criminal subpopulation comprises of: potentially criminally minded individuals whose moral integrity has been compromised due to a sustained criminogenic contact with individuals whose willful internalisation of criminal thoughts and ideations is influencing their behaviours, denoted by (these individuals only harbour criminal ideologies but are yet to indulge in criminality), core criminals, denoted by and individuals whose degrees of blameworthiness in the commission of certain crimes have warranted their confinement in reformation/correction facilities, denoted by . The victims of crime subpopulation on the other hand is comprised of individuals who have survived a carefully planned and meticulously carried-out criminal intention and have incurred neither loss of property nor injury to life, denoted by , individuals on which such contacts were successful and have, therefore, suffered specified levels of losses, denoted by and victimised individuals whose traumatic experiences are being psychotherapeutically managed in some competent rehabilitation centres, denoted by . Thus, the human population is
The at-risk population is assumed, at any time , to have either never had any criminally defrauding contacts or must have substantially recovered from the effect of criminality and have reassumed a susceptibility status thus becoming at-risk of criminality again. That is, they are liable to either becoming criminals or victims of crime in the event that they condone criminally influencing risky behaviours over time. The at-risk population is assumed, after a sufficient requisite effective criminogenic interactions with criminals, to either become criminalised at a rate or become victims of crime at a rate or . Thus the extent of criminogenic tendencies on criminalisation is given by
where is the effective criminalisation contact rate of criminality (criminogenic interactivity capable of recruiting new criminals). The modification parameter accounts for the relative reduced risk of criminalisation of reforming criminals (since it is assumed that the correction programme has the capacity to reform criminals) in comparison to that of core criminals. It is assumed that criminogenic interactivity has the capability of inflicting varying degrees of psychological injuries on a prospective victim. Thus at-risk individuals are prone to victimisation at rates given by
where is the effective victimisation contact rate (criminogenic contact capable of resulting in the loss of property or threat to life, but not leading to death). We propose the parameter to monitor the relative victimisation possibility (possible emotional injury resulting from fear) on individuals due to their interaction with victims of a criminal activity as compared to the victimisation causation of both career and quitting criminals. We anticipate that the rehabilitation programme for the victims of crime has the therapeutic impact of facilitating beneficiaries with the skill of relating their ordeals more objectively and so are assumed to inflict far lesser psychological injury (in the form of fear), if any, (as compared to nonrehabilitated victims) with the modification parameter accounting for the relative reduction in victimisation causation. Further, we consider the modification parameter, to model the reducing victimisation potentiality of quitting criminals (in comparison to career criminals).
2.1. Derivation of Model Equations
2.1.1. System Description
The at-risk population is generated by the recruitment (through birth or immigration) of individuals (assumed susceptible) into the population at a rate , or from the successful correction of the two adverse influences of criminality through reformation and rehabilitation of criminals and victims from the classes and , at the rates and respectively. The population of at-risk individuals is reduced due to criminalisation at a rate , or victimisation, at a rate , or by natural death at a rate . We assume that natural death occurs in each human population while only core criminals are liable to crime-induced death . The population of individuals whose moral uprightness and integrity has been compromised and now fantasise criminality (that is they contemplate indulging criminal activities), in other words, the population of the criminally exposed members of the community, is assumed to be increased when at-risk individuals, victimised individuals and individuals undergoing rehabilitation are criminalised at rates and (where the modification parameters and account for the risk of the victimised and rehabilitated victims to be criminalised). It is decreased by death and crime-career progression at the rate . The population of criminals is generated from the crime fantasising class at a rate and decreased by death (both natural and crime-induced at rates and respectively) and enrolment for reformation/correction at a rate . The population of criminally corrected or reformed individuals is generated by the identification and enrolment of individuals with confirmed disruptive behavioural disorder and its subsequent effective reformation in a competent correction facility at a rate and could decrease, in addition to natural death, by the reintegration of reformed criminals in to the susceptible population at a rate . The population of individuals in the nearly victimised class is generated from the at-risk and rehabilitated individuals at the rates and respectively, where the modification parameter models the reduced tendency for a repeat victimisation on rehabilitated individuals (it is assumed that they have been exposed to coping strategies against criminal techniques and so are therefore less prone to becoming victims of crime). It is reduced due to eventual progression to the class of victims of crime at a rate , or death. The population of the victims of crime is generated by the success of a criminal attempt on the nearly victimised individuals at a victimisation progression rate . It is assumed to be decreased by criminalisation (due to discontentment over perceived unfair judicial process and/or an inert desire for revenge) at a rate (where the modification parameter models the degree of discontentment which is liable to increase the contemplation for criminalisation). The population of rehabilitated victims of crime is increased by the admittance of traumatic victims of crime for psychotherapy at the rate . This population is decreased by dead or the successful completion of the rehabilitation cycle on victims (at a rate ) or criminalisation (at the rate ) and repeat victimisation (at the rate ), where the modification parameters and model the fear and reduced tendencies for criminalisation and repeat victimisation respectively. Finally, it is assumed that individuals in all the aforementioned classes can report criminal conducts at a rate , however, with varying levels of enthusiasm modelled by (for ) where corresponds, respectively, to individuals in and . We assume that some discontented doubled-crossed criminals would ''anonymously'' disclose the details of a “contentious” criminal case (since reportage is via SMS) at a forwarding enthusiasm rate given by . It is further assumed that the density of forwarded cases is reduced by further legal action at a rate .
Combining the aforementioned assumptions and definitions, the variable and parameter descriptions and transfer diagram for the model of the interactional dynamics between crime, criminality, and victimisation in a community are shown in the Tables 1 and 2, and Figure 1, respectively.

From Figure 1, the mathematical representation of the model is given by the following system of ordinary differential equations:
where
2.1.2. Qualitative Properties of Model 1
Since the model is proposed to monitor the dynamics of the interaction between crime, criminality, and victimisation with the impact of case reporting through SMS, it is therefore necessary that all the variables and parameters of the model be nonnegative. Further, the region for the systemic analysis of model 1 should guarantee criminological feasibility. We proceed to establish this by considering only the first seven equations of model 1 since the variable appear only in the last of the eight equations in system 1. Thus, we propose the region of criminological feasibility for model 1 to be
Then is a positively invariant set for model 1 since adding the first seven equations of model 1 gives:
From where we see that is bounded by Thus,
and so if . Thus from 2 and Gronwall's inequality it follows that
Thus provided . Hence is a positively-invariant set and therefore the model is well-posed both mathematically and in criminological sense. Thus, the dynamical flow of the model can be sufficiently considered in .
3. Equilibria and Stability Analysis
It is easy to see that the model has two equilibria – the crime-free equilibrium (CFE), and the persistent crime equilibrium (PCE), which are obtained by setting the right-hand sides of the equations in the model to zero.
3.1. Local Stability of the CFE
The CEF, of model 1, obtained by setting the right-hand sides of the equations in the model to zero, is given by
The nonnegative matrix, , of new criminality terms and the M-matrix, , of transfer terms associated with the model 1, needed for computing the crime generation number, using the next generation method [51], are given respectively, by
and
Thus, the basic reproductive number, denoted by , with as the spectral radius, is given by
where,
The following result is established from Theorem 2 of [51].
Lemma 1. The CFE of model (4), given by (10) is locally asymptotically stable (LAS) if and unstable if
The criminological implication of Lemma 1 is that crime and criminality can be eradicated from the community (with ) if the initial densities of the model’s classes are in the basin of attraction of .
3.1.1. Analyses of the Basic Reproduction Numbers
In this section, analyses of the two threshold quantities and are performed to ascertain which of the rehabilitation strategies is most effective in the containment of crime and criminality in the community. It can be observed from the expressions for and that
and
from the foregoing, sufficiently effective reformation and psychotherapeutic programmes that are implemented, respectively, on criminals (at a rate ) and victims of crime (at rate ) have the enormous capacity to effectively contain crime and criminality if in each case the right-hand sides of (15) and (16) can be made less than unity.
By computing the partial derivatives of and , respectively, with respect to and gives more insights into the impact of the rehabilitation parameters and on model (1). It can be verified that
and
From where it can be deduced, respectively, from (17) and (18) that if and that if .
3.2. Global Stability of the CFE
Theorem 1. The CFE of model (4) is globally-asymptotically stable (GAS) in whenever and .
We will perform this analysis on the assumption that . Further, we follow the procedure in [52] to confirm the present claim. To achieve this, we apply the fluctuation lemma (Lemma 2.1) of [52] which we reproduce below for emphasis.
Lemma 2. (Thieme [52]) Given a real-valued functionon. Define and; so that if is bounded and twice continuously differentiable with bounded second derivative and that is a sequence such that converges toorfor; then as
Proof. Let . Choose a sequence such that.
It then follows from the equation for and [52] that
Next, we choose a sequence with the condition that
thus using the equation for in model (1) gives
and applying the relation (20), we have
Finally, for some sequence with the condition that
thus using the equation for and model 1 together with (20), (23) and the expression for , gives
and applying the relation (20), we have
This implies that since (). But hypothetically , hence leading to a contradiction. Thus, , and therefore
Similarly, for . Choose a sequence such that
Thus from the equation for and [52] it follows that
Again, for a sequence with the property that
Then using the equation for in model (1) gives
Thus substituting (29) into (31), we have
Further, for a sequence such that
then on using the equation for from model (1), and the expression for it follows that
Thus, on substituting equations (20), (23), (29), (32), into (1), it will follow that
This implies that since (). However, the previous hypothesis that leads to a contradiction. Thus, , and therefore
From the foregoing, it thus follows that
In which case it will follow from the equation for in equation (1) that
However, with , then
Finally, from the equation for in model (1), we get that
However, with , it follows that
Thus the greatest compact invariant set in
is the singleton set . Thus
as . Therefore, every solution of the equations in the model (4) with initial conditions in approaches as , whenever . Thus, is GAS in provided that and simultaneously.
The criminological implication of this theorem is that if has a value less than unity, then a small influx of criminal individuals into the community is not sufficient to result into criminal tendencies and so criminality would be substantially contained to such levels that would not result in the escalation of crime and criminality.
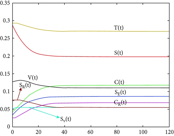
In Figure 2, the respective densities of the model’s subpopulations confirm that the CFE, , of the model 4 is indeed globally asymptotically stable with , thus verifying Theorem 1.

3.3. Existence and Stability of Persistent-Crime Equilibria
Existence The presence of crime, criminality and victimisation in the community will guarantee the existence of a persistent-crime equilibrium, . Again, we will perform this analysis on the assumption that . That is, that persistence does not require any form of modification. Further, as previously stated, it is sufficient to exclude the eighth equation of system (4). It can easily be seen also from model (4) that
thus reducing the model (4) to:
The unique persistence equilibrium of the reduced system (45) is given by
, where
The corresponding forces of criminalisation and victimisation become, respectively
and
Simplifying (47) and (48) using (46) gives
and
where and
The positive equilibrium of the reduced system (45) can be obtained by simultaneously solving for and in (49) and (50) and using the result in (46). Obviously is a fixed point of (49) and (50). On the other hand, the values and in (49) and (50) gives the nontrivial solutions of and as
and
Since all parameters are necessarily nonnegative, it follows that both (51) and (52) are also nonnegative for , and , while for and both (51) and (52) are negative, which is meaningless in criminological sense. Finally, , will imply that both (51) and (52) are zero, which corresponds to the CFE Thus, we have establish the following result.
Lemma 3. The unique PCE of the reduced crime and victimisation model (68) is locally asymptotically stable if and only if .
Theorem 2. The PCE of the crime model (4) is GAS whenever .
.
Proof. The prove is achieved using the Goh-Volterra type nonlinear. Lyapunov function.
Consider the following Lyapunov function
Thus the time derivative of the Lyapunov function is
where
with . The forces of criminalisation and victimisation therefore become and , respectively. Further, it can easily be shown from model (4) that at the persistent steady-state,
Substituting these expressions together with the right hand sides of the equations in model (1) into the time derivative of the Lyapunov function (54) and simplifying give
Since the arithmetic mean exceeds the geometric mean, the following inequalities hold:
We observe that at the crime persistent steady-state, since , then
Hence
Thus, since all the model parameters are nonnegative, it follows that for . Hence is a Lyapunov function on . The proof is thus completed following through from LaSelle's Invariance Principle [53] that every solution to the equation in model (4) with initial conditions in , approaches as , so that is GAS in whenever .
In Figure 3, the respective densities of the model's subpopulations confirm that the PCE, , of model 4 is globally asymptotically stable with , thus verifying Theorem 2. The sociological implication of this theorem is further buttressed by Figures (9, 10, 11 and 12). Here, the convergence of the densities of crime/criminality and victimisation to the PCE is observed despite the increasing contact rates of criminalisation and victimisation. It can be seen from Figures 9 and 11 that though an increasing criminalisation contact rate increases crime and criminality, the model always converges to the PCE. Similarly, from (Figures 10 and 12), it is noted that though the cumulative density of victimisation always increases with increasing rate of victimisation, these trajectories will, in each case, converge to the PCE.





3.3.1. Backward Bifurcation Analysis
In the following, system 1 is considered for the investigation of the phenomenon of backward bifurcation involving the CFE, , for . More precisely, the conditions on the parameter values that cause the bifurcation (either forward or backward) are sought. The Centre Manifold Theory (CMT), [3, 49, 54], will be explored to investigate the phenomenon of backward bifurcation. To describe the CMT, consider a general system of an ODE with a parameter given by
where 0 is an equilibrium point of the system. That is, and assume that:(1) is the linearisation matrix of system (62) around the equilibrium point 0 with evaluated at zero. Zero is a simple eigenvalue of and other eigenvalues of have negative real parts;(2) has a right and left eigenvectors, and , respectively; each corresponding to the zero eigenvalue.
Let be the component of and
Then the local dynamics of system (63) around the point 0 is totally determined by the signs of and as follows. (i) When with 0 is locally asymptotically stable and there exists a positive unstable equilibrium; when , 0 is unstable and there exists a negative locally asymptotically stable equilibrium. (ii) When with 0 is unstable; when , 0 is a locally asymptotically stable equilibrium, and there exists a positive unstable equilibrium. (iii) When with 0 is unstable, and there exists a locally asymptotically stable negative equilibrium; when , 0 is stable and there exists a positive unstable negative equilibrium. (iv) When changes from negative to positive, 0 changes its stability from stable to unstable. Correspondingly, a negative equilibrium becomes positive and locally asymptotically stable.
Note: if and , the a backward bifurcation occurs at .
Pursuant to the forgoing and preparatory to systemic transformation for computational convenience, the following simplifications and change of variables is made. Let , , , , , , and ; so that on using the vector notation , system (1) can be rewritten in the form , where , as follows:
The CFE is Consider the case (that is ). Also, suppose that is chosen as the bifurcation parameter. Solving for from in the transformed system (64) above gives
The linearisation matrix of system (64), evaluated at the CFE with is
Following from [2], zero is a simple eigenvalue (with all other eigenvalues having negative real parts) of . Therefore, the CMT can be used to analyse the dynamics of the transformed system (64) near .
Eigenvectors of , corresponding to . For the case , a left eigenvector of that is associated with the zero eigenvalue denoted by , is such that
Thus, if then and if , then and , while provided and with .
Similarly, the components of the right eigenvector (corresponding to the zero eigenvalue), denoted by , is such that
So that if , then and it will follow immediately that , then , , and .
Computation of a and b.
The associated nonzero second order partial derivatives of F (at the CFE ()) are given by
Following from above and (63), the resulting expression for a is
It can easily be seen that .
Similarly, the associated nonzero derivatives of F needed for the computation of the corresponding sign of b are So that, Thus, the transformed system (64), or equivalently, system (1) undergoes a forward bifurcation at .
4. Numerical Simulation
We subject system (1) to numerical analysis primarily to monitor its dynamics and to further illustrate some of the theoretical results arrived at in the paper as well as to provide evidences that our results are likely to provide insight in a more general situation. To achieve this, we have considered the following parameter values from Table 2. , , , , , , , , , , , , , , , , , , , , , , , , , , , This is summarised in Table 3. The simulations are carried out as follows.
The three solution trajectories for model (1) in Figure 4 describes the impact of an effective psychotherapy () on the cumulative density of criminals/criminal cases as a result of a situational combinations of the parameters and , so that: the trajectory with identifies empowering and facilitating victims to avert repeat victimisation as having the most effective containment effect on crime and criminality while guarding against criminalising victims under psychotherapy has the least containment effect.

Figure 5 depicts the projected decrease in the overall criminal population and the corresponding criminal cases that could be averted due to the effective implementation of reformation programme on identified criminals.

Figure 6 shows the solution trajectories of model (1) where we observe enormous benefit of implementing an effective psychotherapy () for victims of crime. It can be observed that the ineffectiveness of such a programme () potents a detrimental consequence as compared even to an absolute absence of the programme () to note the detrimental consequence for such a programme to be ineffective. This implication is further confirmed by the trajectories in Figure 7.


Figure 8 indicates that the removal of criminals (death of criminals as a result of criminal activities or quiting criminality even without formal reformation) can significantly reduce the cumulative number of new victimisation cases.

It is noted from Figure 13 that an effective reformation programme will result in the reduction of texted criminal cases, supposedly due to the obvious fact that the decriminalisation of core criminals would result in reducing the number of criminal activities.

Like the scenario depicted in Figure 13, a similar reduction in the cumulative density of texted criminal cases is observed from Figure 14 and we conclude that an effective psychotherapy will result in the reduction of texted criminal cases, probably because rehabilitated victims may not so easily fall victims of repeat victimisation.

The advantages of prioritising psychotherapy is captured in Figure 15. Here, we note that the absolute deployment of psychotherapeutic techniques against the prevention of the criminalisation of rehabilitated victims would be less effective in reducing the number of criminal activities as compared to emphasising such deployments to guarding against the criminalisation of non-rehabilitated victims, talk less of when repeat victimisation is completely prevented.

5. Conclusion
A deterministic model for monitoring the interactional dynamics of crime, criminality and victimisation in a population is designed and analysed. The model includes two levels of rehabilitation--a reformation programme for criminal individuals and a psychotherapy for individuals who are victims of crime. The model is shown to have a globally-asymptotically stable crime-free equilibrium whenever the largest of the two associated reproduction numbers is less than unity; and has a unique and locally-asymptotically stable endemic equilibrium when the number exceeds unity. Using Centre Manifold theory, the model was shown to undergo the a forward bifurcation, when the the largest reproduction number is less than unity. Further, the model is shown to have a crime free equilibrium which is locally-asymptotically stable whenever the largest reproduction number is less than unity. By analysing the various associated reproduction numbers, it was shown that by effectively implementing both the reformation and psychotherapy programmes, respectively for criminals and victims, the menace of crime and criminality would be sufficiently contained in a criminally prone community. Some major findings from numerical simulations of the model include:(i)The none implementation of rehabilitation is more beneficial than when it is done ineffectively;(ii)Focusing psychotherapy on the enlightenment of victims against the phenomenon of repeat victimisation is most effective in containing crime and criminality while priotising enlightenment against criminalising victims is least effective;(iii)The removal of criminals, either through criminally-induced deaths or the willingness to quit crime even without formal reformation, can significantly lead to the containment of crime and criminality;(iv)The effective reformation of criminals can fundamentally reduce criminals and criminal activities;(v)The decreases in texted crime cases as a result of the eventual outcome of implementing psychotherapy is a function of the priority direction of psychotherapy. It is noted, just like in (ii), that the absence of repeat victimisations will have the most containment effect on crime as obvious in the minimal number of texted cases while the none criminalisation of victims will have the least of such effects.
Data Availability
No data were used to support this study.
Conflicts of Interest
The authors declare that they have no conflicts of interest.
Acknowledgments
This paper is entirely a part of a doctoral thesis of the University of Nigeria Nsukka-Nigeria. We therefore appreciate the supervisors of the thesis for their valuable comments and suggestions which led to an improvement of our original manuscript.