Abstract
This study focuses on developing an efficient and easily implemented novel technique to solve the index- Hessenberg differential-algebraic equation (DAE) with input control. The implicit function theorem is first applied to solve the algebraic constraints of having unknown state differential variables to form a reduced state-space representation of an ordinary differential (control) system defined on smooth manifold with consistent initial conditions. The variational formulation is then developed for the reduced problem. A solution of the reduced problem is proven to be the critical point of the variational formulation, and the critical points of the variational formulation are the solutions of the reduced problem on the manifold. The approximate analytical solution of the equivalent variational formulation is represented as a finite number of basis functions with unknown parameters on a suitable separable Hilbert setting solution space. The unknown coefficients of the solution are obtained by solving a linear algebraic system. The different index problems of linear Hessenberg differential-algebraic control systems are approximately solved using this approach with comparisons. The numerical results reveal the good efficiency and accuracy of the proposed method. This technique is applicable for a large number of applications like linear quadratic optima, control problems, and constrained mechanical systems.
1. Introduction
The differential-algebraic equation system is often used to model many real-life application problems arising in electrical networks, optimal control systems, and constrained multibody mechanical systems [1–5]. The index property is often used to characterize a differential-algebraic system, and it has been given several definitions [3, 4, 6]. The differentiation index is the most commonly used and represents the minimum number of times that the algebraic constraint of DAEs must be differentiated with respect to time to obtain an equivalent ordinary differential equation [4]. High-index DAEs are more challenging to solve than low-index DAEs [7]. Therefore, index reduction transformation techniques have been applied to transform higher-index DAEs into an index of zero or one before solving them [8]. Some numerical methods have been developed for solving special structure, low-index DAEs [9–14].
Hessenberg DAEs are a very important class of general DAEs with a special structure and a wide variety of scientific and engineering applications [15, 16]. The homotopy analysis method has been effectively applied for some classes to approximate the analytical solution of DAE classes [8]. A numerical method for solving index 2 and index 3 Hessenberg DAEs is presented in [17–21]. Most of these methods are based on the index reduction method, which transforms a high DAE index into a low DAE index. A novel technique for solving nonlinear high-index DAEs using the Adomian decomposition method is proposed in [22]. Reliable techniques for solving high-index Hessenberg DAEs are required.
Most of the previous methods were applied to the lower-order index problem (index less than 3) [23, 24]. The motivation of this work is to develop an easily implemented and efficient theoretical method to solve the higher-index Hessenberg control problem. The approximate analytical solution is easily obtained using the following steps: First, the implicit function theorem is applied to the algebraic constraints of the given DAEs to obtain a reduced state-space differential equation defined on a smooth manifold. Then, a variational formulation equivalent to the reduced problem is developed so that both problems have the same solution.
Finally, the analytical solution of the variational formulation is approximated on a separable complete sitting space using a countable basis function representation with unknown variables, which are obtained as a solution of the solvable linear algebraic system. By solving this system, the approximate analytical solution can be easily obtained. This approach is efficiently applied to the high-index Hessenberg problem.
2. Problem Formulation of Index- Hessenberg DAEs
One can consider the following index- linear Hessenberg DAEs with control input [10]: where denotes independent state vectors; are the constant matrices of appropriate dimensions, and does not need to be a square matrix or invertible; is a square invertible matrix, where the index is the differentiation index (see [10, 16, 18]); are appropriate constant vectors, and is the given single control input with the class of admissible control; ; denotes differentiable functions; .
The DAEs with the given are linear time-invariant Hessenberg DAEs of size , which are solvable for and have an index of . (1) can be rewritten as follows:
The square invertible matrix represents the Jacobean condition; thus, the implicit function theorem [25–27] can be applied to estimate the unknown state from the last algebraic equation using the differential index property. The algebraic constraint can be differentiated using Equation (2) with respect to :
Substituting the differential equation from Equation (2) into Equation (3) results in the following:
Equation (4) now performs a new constraint conjugated with the given differential-algebraic system in Equation (2). Moreover, the state variable does not appear in Equation (4). Therefore, we can differentiate Equation (4) with respect to as follows:
Next, one can substitute the differential equations and obtained from Equation (2):
Equation (6) represents another algebraic constraint added to system (2). The derivation is continued with respect to until the index- condition () is satisfied to estimate the state variable :
The matrix is nonsingular; thus,
Then, where ,
System (1) is an index- differential-algebraic system of the Hessenberg type. The initial condition should be chosen consistently, such that all the algebraic constraints in Equations (3), (4), and (6) are satisfied. The cost is calculated using the differentiation index to obtain an explicit linear ordinary differential equation defined on a manifold with consistent initial conditions that the time-dependent is also differentiated times, influencing the solution with as a system of input perturbation.
From the additional hidden constraint Equations (4) and (6) and , the reduced-type index- Hessenberg DAE (2) with control over the class of transforms into the following: where .
3. Solving the Reduced-Type Index- Hessenberg DAE Using Variational Formulation
To solve the problem in Equation (11) using the variational formulation, one can define the operator ; with , where is a suitable Hilbert space (e.g., ) by the following: where the operator is a linear differential and algebraic operator defined as follows:
For all , the class of admissible control, one can define
This system of linearly invariant reduced-type index Hessenberg DAEs satisfies the DAEs almost everywhere in . The solution is assumed to be an absolutely continuous function satisfying (11) almost everywhere over the setting class . In addition, is assumed to be continuously differentiable, satisfying Equation (11).
4. Variational Formulation Algorithm
The following algorithm is proposed to simplify the discussion of the presented approach:
Step 1. One can consider the index- Hessenberg control DAEs given in Equation (1).
Step 2. The equivalent reduced-type index- Hessenberg DAEs can be derived from Equation (11).
Step 3. Because of the present operator, operator defined in Equation (13) is not symmetric with respect to the usual bilinear form ,. This bilinear form should be chosen to satisfy the nondegenerate condition on the domain and the range of the linear operator (i.e., for every , , and for every . Thus, no usual variational formulation exists unless one can redefine either the linear operator or the usual bilinear (inner product) form using the form , where ( with , is the complete Hilbert space, and is assumed to be a separable Hilbert space. Then, is a symmetric linear operator (see [24–26]). If is positive (positive definite) on , then is defined; otherwise, the critical points of should be obtained, where the augmented functional over the class of the consistent initial conditions and is as follows: where This functional guarantees that the critical points of are a solution of (11) and vice versa when is selected to be in the nondegenerate bilinear form.
Step 4. The solutions of Equation (13) are the critical points of Equation (11). Using the nondegenerate property on , the critical points are a solution to Equation (11). The solution can be approximated using a countable linearly independent (bases) system ,,… (complete set of functions; base), where is apositive number; , and is determined so that is extremised.
Step 5. can be derived with respect to , where is a suitable positive number to determine the critical points as a function of parameters. One can set to obtain a solvable linear algebraic system. Moreover, ; ; is a nonsingular matrix whose coefficients are obtained from , if . Thus, the unique solution is guaranteed, and . Otherwise, if is selected as arbitrary, there may be no solution or infinitely many solutions.
Output. The approximate solution is obtained.
5. Illustration Examples
5.1. Example: Hessenberg DAEs of Size 3
For the following differential-algebraic system, with ,
Step 1. As is an invertible matrix, by differentiating the algebraic constraint with respect to , we have the following: Equation (23) is a new constraint added to Equation (19). The variable does not appear in Equation (23), and one can differentiate Equation (23) with respect to to obtain the following expression: As is an invertible matrix, using the implicit function theorem, one can obtain the following: which means that problem is an index 3 linear Hessenberg DAE. The class of consistent initial conditions can be defined as follows: From the implicit function theorem and , the reduced-type Hessenberg DAEs can be defined as follows:
Step 2. Based on the previous discussion, one can define the suitable bilinear form and determine the functional as follows: where , with The variational function with the class of consistent initial conditions is defined as follows:
Step 3. One can set the following linear combination set of independent functions with unknown variables , and as parameterization solutions over the class of continuously differentiable functions. This study is aimed at determining these unknown parameters. Accordingly, the following condition can be assumed:
where , and the unknown parameters ,,, and must be determined using the proposed approach.
Therefore,
In addition, the functional becomes a function of unknown coefficients , , , and .
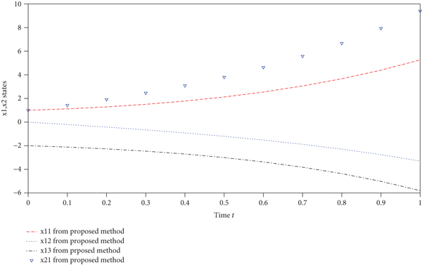
Step 4. As has a quadratic functional form, to determine its extremals (critical points), one can set, , , and , which leads to the linear algebraic equation . This problem is directly solvable for , to obtain the approximate solution . The matrix coefficient is obtained from the derivative of with respect to , , ,and . Table 1 lists the numerical values of the unknown coefficients , , , and , after solving the obtained linear algebraic system.
The numerical zeros of the tables denote any The numerical solutions with equality state constraints are plotted in Figure 1 and are compared with the exact solutions:

5.2. Example : Hessenberg DAEs of Size 4
Consider the following descriptor system: where where, and .
Step 1. To achieve Hessenberg DAEs of size 4, one can rewrite system (34) as follows: with and the invertible matrix.
The variable does not appear in the DAE system; thus, one can differentiate the algebraic constraint (36b) with respect to and substitute the differential constraints (36a) to obtain the following:
Equation (38) is a new constraint added to the system in Equations (36a) and (36b). The variable does not appear in the last constraint; thus, one can differentiate (38) again with respect to to obtain the following: where .
Next, we differentiate Equation (39) for set:
As defined previously, is estimated as follows: where the class of the consistent initial conditions is derived as follows:
Step 2. The variational function with a class of consistent initial conditions is defined as follows: where
Step 3. One can set , , , , , and , with to obtain
Step 4. As discussed earlier, the functional is a function of , , , , , and , and as is extremised, one can set , , , , , and , which leads to the linear algebraic equation , which is directly solvable for . Hence, the approximate solution is obtained. The matrix coefficient is obtained from the derivative of with respect to , , , , , and Table 2 presents the numerical values of the unknown coefficients , , , , , and
The numerical solutions with equality states are plotted in Figure 2 and are compared with the exact solution , for a given .

5.3. Example : Hessenberg DAEs of Size 2
The following illustration is taken from [28] and represents the control circuit model of DAEs, which are modeled as Hessenberg linear DAEs of size 2. This illustration is solved using the proposed approach, checking the accuracy of this method using the -norm because, to our knowledge, no numerical solution for this illustration exists elsewhere. The following circuit system can be considered:
One can choose the state vector , where of all these samples are known and as shown in Table 3. For more details about this circuit model, see [28].
Step 1. Based on these samples, the semiexplicit descriptor system can be rewritten as follows: where and () is an invertible matrix.
This system has index 2 Hessenberg DAEs given . The variable does not explicitly appear in the algebraic constraint (48b). Thus, by deriving the algebraic constraint (4) with respect to , the following can be obtained:
The determinant of () is 1; therefore, the inverse exists, and the system has an index of 2. Then, , which is solvable ; . The class of consistent initial conditions is defined as follows:
Then, the reduced-type Hessenberg DAEs are
Step 2. The solution is reduced to determine the extremum of the following functional: where
Step 3. The class of polynomials is a dense set on the class of all continuous functions defined on a compact interval with the maximum norm; thus, the solution can be approximated as a linear combination of linearly independent polynomial functions. Therefore, the following basis functions are assumed for simplicity: where , and the unknown parameters , , and must be determined using the proposed approach. Then, is determined as follows:
Step 4. One can extremize the following functional:
This process results in , , and , which leads to a solvable linear algebraic system with the numerical values of unknown coefficients , ,and, as shown in Table 4.
This system can be used in practical applications without an exact solution. Therefore, to test the accuracy of the solution from the present method, one can use the -norm by substituting the values of , , and into , , and to obtain the following -norm error:
The numerical solutions with equality constraints are plotted in Figure 3.

As can be seen in the -norm, the accuracy of the solutions for the DAEs is less than or equal to This accuracy test is excellent and provides the confidence of the solution even without knowing the exact numerical solutions. This test illustration is taken from real-life applications as index 2 DAEs. A simple basis function is applied without any prior information on the nature of the solution types, which proves the reliability and efficiency of the proposed approach.
6. Conclusions
A reliable and efficient approach of solving a high-index (index) linear Hessenberg control DAEs is presented in this paper. This approach is recommended for solving any linear differential-algebraic systems (Hessenberg DAEs), the necessary condition problem of linear quadratic differential-algebraic optimal control problem, and linear constrained mechanical systems. For nonlinear Hessenberg differential-algebraic systems, the linearization around the operating points is required before using this approach. The good selection of basis function (spline functions-orthonormal base function, etc.) may improve the numerical accuracy. As one can see from the illustrations, the efficient approximate solutions are obtained even for a low number of polynomial basis functions.
Data Availability
The data used in the article is generated by Octave that can be made available upon request.
Conflicts of Interest
The authors declare that there are no conflicts of interest regarding the publication of this paper.
Acknowledgments
The authors would like to thank Mustansiriyah University (https://www.uomustansiriyah.edu.iq) Baghdad, Iraq, for supporting this work. The authors would also like to thank the reviewers for their thoughtful comments and efforts toward improving our manuscript.