Abstract
Both β-FeSi2 and BaSi2 are silicides and have large absorption coefficients; thus they are very promising Si-based new materials for solar cell applications. In this paper, the dc - characteristics of n-Si/i-βFeSi2/p-Si and n-Si/i-BaSi2/p-Si thin film solar cells are investigated by solving the charge transport equations with optical generations. The diffusion current densities of free electron and hole are calculated first. Then the drift current density in the depletion regions is obtained. The total current density is the sum of diffusion and drift current densities. The conversion efficiencies are obtained from the calculated - curves. The optimum conversion efficiency of n-Si/i-βFeSi2/p-Si thin film solar cell is 27.8% and that of n-Si/i-BaSi2/p-Si thin film solar cell is 30.4%, both are larger than that of Si n-i-p solar cell ( is 20.6%). These results are consistent with their absorption spectrum. The calculated conversion efficiency of Si n-i-p solar cell is consistent with the reported researches. Therefore, these calculation results are valid in this work.
1. Introduction
A silicide is a compound that has silicon with more electropositive elements. The metal silicides have been widely investigated for several years because of their potential applications in electronics [1]. Semiconducting beta-phase iron disilicide (β-FeSi2) and orthorhombic barium silicide (BaSi2) are two transition metal silicides and they are very promising Si-based new materials for solar cell applications. It is desirable for solar cell materials to have a large absorption coefficient to yield high conversion efficiencies. β-FeSi2 has a large optical absorption coefficient (>105 cm−1 at 1.5 eV) and a direct band gap of ~0.87 eV [2–4]. Lin et al. [5] reported a conversion efficiency of 3.7% for p- (or n-) type β-FeSi2/n- (or p-) type Si solar cell. Gao et al. [6] simulated a p-Si/i-βFeSi2/n-Si solar cell structure by using the AMPS-1D software. The conversion efficiency is 24.7%. The orthorhombic barium silicide (BaSi2) also has a large absorption coefficient of over 105 cm−1 at 1.5 eV [7]. Recent reports on the photoresponse properties of BaSi2 have shown that BaSi2 is a new silicide material suitable for solar cell applications [8, 9].
Therefore, in this paper the conversion efficiencies of n-Si/i-βFeSi2/p-Si and n-Si/i-BaSi2/p-Si thin film solar cells are investigated by using self-developed analytical methods. For semiconductor solar cells, the n-i-p structure usually has superior - characteristics than the n-p structure. Since the built-in electric field exists in the intrinsic layer, the generated electron-hole pairs in the intrinsic layer are drifted by the electric field and produce larger short-circuit current and open-circuit voltage. In addition, the intrinsic silicide layer does not need doping and its manufacturing is compatible with the well-established Si solar cells. The distributions of minority carrier concentrations in the neutral n-Si and p-Si regions are calculated first. Then the total current density is the sum of diffusion current densities of free electron and hole and the drift current density in the depletion regions. The conversion efficiencies are calculated from the - curves of the solar cells with illumination of light. The calculated optimum conversion efficiency of β-FeSi2 n-i-p solar cell is 27.8% and that of BaSi2 p-i-n solar cell is 30.4% and that of Si n-i-p solar cell is 20.6%. Therefore, the conversion efficiencies of β-FeSi2 and BaSi2 n-i-p solar cells are significantly larger than that of the conventional Si n-i-p solar cells. The reported conversion efficiency of Si n-i-p solar cell is consistent with this calculation work [10]. Therefore, the calculation results are valid in this work.
2. Analysis Methods
The n-i-p structure of solar cells under investigation is shown in Figure 1. The calculations are under global AM1.5 solar spectrum (Wm−2) at 25°C. At the surface of the solar cell (i.e., at ), the generation rate of electron-hole pairs, (s−1m−3), is [11] where = the wavelength of the incident light (m), = the intrinsic quantum efficiency to account for the average number (100% maximum) of electron-hole pairs generated per incident photon, = the optical reflectivity between the air and the semiconductor, = the incident optical power intensity (Wm−2), = the energy of the incident photon (Joul), and = the absorption spectrum (m−1).

The generation rate of electron-hole pairs in the solar cell device () is In the neutral n-Si region, the charge transport equation for the excess hole concentration, , is where = the average diffusion length of holes in -type region (m) and = the diffusion coefficient of minority holes (m2s−1).
The two boundary conditions to solve (3) are as follows.(a) At the edge of n-Si depletion region (): (b) At the surface of n-Si (): where is the surface recombination velocity of holes (ms−1).
Then the hole diffusion current density is calculated at the edge of the n-Si depletion region as Similarly, the distribution of free electron density, , in the neutral region of the p-Si can be obtained by solving the charge transport equation for . And the electron diffusion current density is calculated at the edge of the p-Si depletion region as The drift current density due to optical generation in the depletion regions is calculated as where the first term accounts for the drift current density obtained from the depletion region in n-Si. The second term is the drift current density from the intrinsic layer and the third term is the drift current density from the depletion region in p-Si.
The total current density for an incident photon flux at a given wavelength is Then the total photo current is obtained by integrating all wavelengths from 300 nm to ( = the energy gap of the semiconductor material). The fill-factor (FF) is defined as where = the maximum power output which occurs at a point on the - curve, = the open-circuit voltage which occurs at the point with on the - curve, and = the short-circuit current which occurs at the point with .
Finally, the conversion efficiency, , is obtained as where = the incident optical power on the solar cell surface (W).
The optimum parameters used in this calculation are given in Table 1. The absorption spectrums of β-FeSi2 and BaSi2 are obtained by using the experiment results reported in [2], and the absorption spectrum of Si is obtained from [12].
3. Results and Discussion
The calculated p-Si/i-βFeSi2/n-Si double heterojunction energy band diagram in thermal equilibrium is shown in Figure 2. The doping concentrations for both p-Si and n-Si layers are 1018 cm−3. The thicknesses for both p-Si and n-Si layers are 1 μm and for intrinsic β-FeSi2 (or BaSi2) layer is 0.3 μm. The p-Si and n-Si layers have larger bandgap energy than β-FeSi2 and BaSi2. The wavelengths of solar radiation absorbed by the semiconductor materials are from 300 nm to . Therefore, the β-FeSi2 and BaSi2 have wider wavelength absorption ranges than Si. The generation rate of electron-hole pairs in β-FeSi2 n-i-p solar cell is shown in Figure 3 by calculating (1) and (2). At the surface of the solar cell (i.e., at ), the generation rate of electron-hole pairs, (s−1m−3), is proportional to the absorption spectrum, (m−1). The thickness of intrinsic layer is 0.3 μm. The generation rate of electron-hole pairs, , is a function of position, , and the incident wavelength, . The generation rate is exponentially decreased with the position increased. There are four curves in Figure 3 corresponding to four different incident wavelengths. Note that, at incident optical wavelength μm (curve (d)), the generation rate is zero in Si regions, but in β-FeSi2 region, the generation rate reaches maximum. Figure 4 shows the generation rate of electron-hole pairs in BaSi2 n-i-p solar cell. Similarly, at incident optical wavelength μm (curve (d)), the generation rate is zero in Si regions, but in BaSi2 region, the generation rate is maximum.



The minority carrier density distributions of β-FeSi2 n-i-p solar cell with applied voltage = 0 are shown in Figure 5 by solving (3) to (5). The doping concentrations in n-Si and p-Si regions are both equal to 1018 cm−3. The intrinsic layer thickness is 0.4 μm. The slopes of these minority carrier density distributions at the depletion region edges determine the magnitudes of the diffusion currents (as shown in (6) and (7)). As shown in Figure 5, the maximum reverse hole diffusion current density is at wavelength μm (because the slope is maximum at this wavelength). The solar radiation is incident from n-Si to p-Si. Thus, the generation rates of electron-hole pairs in n-Si region are larger than that in p-Si region. Therefore, the minority carrier density in n-Si region is larger than that in p-Si region at all wavelengths (as shown in Figure 5). And the diffusion current density is mainly determined by the hole diffusion current density. When the applied voltage reaches the open-circuit voltage ( V, now the total current is zero), the minority carrier density distributions of β-FeSi2 solar cell are shown in Figure 6. Compared with Figure 5, the minority carrier densities are increased exponentially with applied forward-biased voltage at the edges of depletion region. And the hole diffusion current density is negative at μm but is positive at μm. The calculated minority carrier diffusion current densities as a function of wavelengths for β-FeSi2 solar cell are shown in Figure 7 by calculating (6) and (7). When the applied voltage is zero (curve(a)), all of the minority carrier diffusion current densities are negative, and the maximum negative diffusion current density is at wavelength μm. When the applied voltage reaches the open-circuit voltage, V (curve(b)), the minority carrier diffusion current densities are still negative at wavelengths 0.5 μm to 0.7 μm, but the magnitudes are decreased. However, at wavelengths between 0.3 μm to 0.5 μm and 0.7 μm to 1.1 μm, the minority carrier diffusion current densities become positive, and the maximum values are at 0.3 μm and 1.1 μm. The calculated drift current densities as a function of wavelengths for β-FeSi2 solar cell are shown in Figure 8 by calculating (8). The drift current densities are calculated in the depletion regions. They are almost the same between V (curve (a)) and V (curve (b)). The drift current densities are always negative and are almost a constant for different wavelengths.




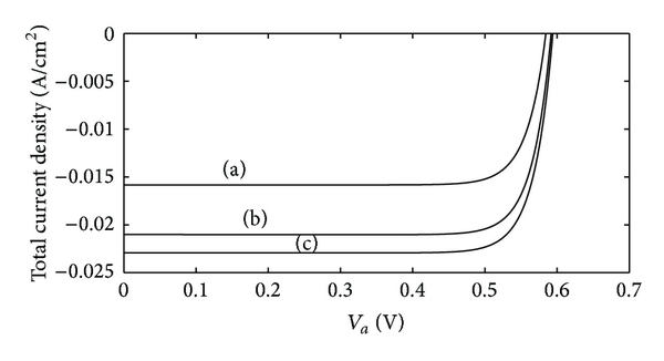
The calculated - curves with different intrinsic layer materials (the intrinsic layer thickness is 0.5 μm now) are shown in Figure 9. The reverse current density of BaSi2 n-i-p solar cell is larger than that of β-FeSi2 and Si n-i-p solar cells. The calculated results of Figure 9 are listed in Table 2. Note that BaSi2 has the maximum open-circuit current density ( mA/cm2), the maximum fill factor (FF = 82.63%), and the maximum conversion efficiency (). The calculated optimum conversion efficiency of β-FeSi2 n-i-p solar cells is 27.8% and that of Si n-i-p solar cell is 20.6%. BaSi2 has the maximum absorption spectrum and Si has the minimum absorption spectrum. Therefore, the calculation results of conversion efficiency for different materials are consistent with their absorption spectrum. The reported [10] efficiency of amorphous Si : H (pin) solar cell is 10.1%, and that of polycrystalline Si solar cell is 20.4% which is consistent with this calculation work. Thus, the calculation results are valid in this work.

4. Conclusion
The dc - characteristics of β-FeSi2 and BaSi2 n-i-p solar cells are investigated by using the analytical calculations. The distributions of minority carrier densities, the diffusion current densities of free electron and hole, and the drift current density in the depletion regions are calculated. The conversion efficiencies are obtained from the calculated - curves. The calculated results show that the conversion efficiency of β-FeSi2 solar cell is 27.8% and that of BaSi2 solar cell is 30.4%, both are larger than that of the Si n-i-p solar cell (η is 20.6% which is consistent with the reported results). These results are consistent with their absorption spectrum.
Conflict of Interests
The authors declare that there is no conflict of interests regarding the publication of this paper.