Abstract
Interaction of HMGB1 nonhistone chromosomal protein with DNA was studied using circular dichroism spectroscopy and thermal denaturation of DNA. Melting DNA in the complex was shown to be a biphasic process. The characteristic melting temperatures of unbound DNA and the DNA bound to HMGB1 in 0.25 mM EDTA solutions were found to be °C and °C, respectively. It was shown that the binding of the HMGB1 molecule affects the melting of the DNA region approximately 30 b.p. long.
1. Introduction
HMG-box proteins (HMGB) are the most abundant nonhistone chromosomal proteins. They belong to the superfamily of HMG proteins (high mobility group) [1–3]. One of the best known members of the HMGB family is HMGB1 protein. The amino acid sequence of the protein consists of three regions forming two DNA-binding domains (HMGB-domains A and B) and an unordered regulatory C-terminal domain [2, 4, 5]. HMGB-domains have a conservative L-shaped structure [4], in which DNA-binding activity is regulated by the C-terminal domain represented by 29 Asp/Glu amino acid residues, often referred to as the “acidic tail” [5–8]. Although the individual HMGB-domains consist predominantly of α-helical regions [4, 9, 10], their structure in the whole protein depends on the interactions with the acidic tail and may change considerably [6, 11].
HMGB-domains bind DNA in the minor groove, demonstrating specificity to the prebent DNA structures rather than to the particular sequences [2, 3, 5]. Moreover, HMGB-proteins themselves are able to induce bends of the double helix upon binding. Originally, structural organization of DNA in the chromatin was thought to be the major function of HMGB-proteins [12–15]. However, it was proved recently that these proteins perform numerous regulatory functions in cell nucleus [5, 16–18], in cytoplasm [19, 20], and even outside the cell [21–24].
In spite of extensive experimental data on the interaction of the HMGB-domains with short DNA fragments [5, 25–27], the exact mechanisms of the interactions between the full HMGB1 and DNA are not clear yet. However, it is these mechanisms that determine the diversity of functions performed by HMGB1. It was demonstrated that the mode of HMGB1-DNA interaction depends on the protein to DNA ratio [7, 8, 28–30]. Large supramolecular complexes were observed at high HMGB1/DNA ratios, which appeared due to increasing contribution of the protein-protein interactions [7, 8, 29, 30]. Earlier experimental data suggest that binding to DNA may induce different structural changes of the HMGB1 itself, depending on the particular DNA species; HMGB1 interacts with [31, 32]. In the present study we investigate the interaction between HMGB1 and DNA based on DNA-melting analysis.
2. Experimental
2.1. DNA-Protein Complexes
Nonhistone chromosomal protein HMGB1 (MW 26,500) was extracted from the nuclei of calf thymus as described earlier [29, 33]. The purity of the protein was tested with sodium dodecyl sulfate polyacrylamide gel electrophoresis (SDS-PAGE). The protein concentration was determined by UV absorbance using extinction coefficients M−1 cm−1 [34]. Calf thymus DNA (type II) was purchased from Sigma-Aldrich and used without further purification. The DNA concentration was determined by measuring difference in absorbance at 290 and 270 nm () after hydrolysis in 6% HClO4 [35]. The quality of the DNA was checked by measuring the increase of its absorbance at 260 nm after denaturation (hyperchromic effect).
Protein-DNA complexes were prepared by direct mixing of equal volumes of DNA and protein solutions of appropriate concentrations, to obtain desired input protein to DNA ratio (w/w) in the complex. The HMGB1/DNA ratio varied from 0 to 0.5. The final concentration of DNA in solutions was 30 μg/mL. All solutions contained 0.25 mM EDTA and 0.2 mM NaCl.
2.2. Spectroscopy
Absorbance spectra were recorded with Specord M 40 spectrophotometer (Karl Zeiss, Germany) in temperature controlled quartz cells with 1 cm optical path length.
CD spectra were recorded with Mark V dichrograph (Jobin-Yvon, France) in a temperature controlled quartz cell with 1 cm optical path length. The spectra of each sample were recorded in the region between 200 and 320 nm in a 1 nm step mode. The signal was averaged for 1000 readings with 1 msec intervals at each wavelength. The presented spectra are the average of three sequential runs. Circular dichroism is represented by values, the difference between absorbance of left and right circularly polarized light by a sample. The CD instrument was calibrated using D-10-camphorsulfonic acid.
2.3. DNA-Melting Analysis
Melting of DNA and proteins was achieved by gradually heating a sample from 20 to 95°C. DNA-melting curves were obtained by measuring optical density at 260 nm or circular dichroism at 275 nm . The melting curves of the protein samples were obtained by measuring circular dichroism at 222 nm . Normalized melting curves for DNA samples were obtained using the equation below: where and are the minimal and maximal values of the optical density at 260 nm, corresponding to the native and melted states of the DNA in the samples. The first derivative of the melting curves was deconvoluted using Gaussian profiles.
The melting of DNA-protein complexes was characterized using melting temperature , which was determined as the position of the maximum of the first derivative of the melting curve. The hyperchromic effect was quantified according to the equation
3. Results and Discussion
The DNA molecule is a polyanion at physiological conditions. Decreasing ionic strength of the solution leads to the destabilization of the double helix resulting in lowering the melting temperature of DNA. To reduce the effect of ionic strength and to achieve better separation of the peaks on the derivative melting curve we studied the DNA melting in the complexes with HMGB1 in solutions containing 0.25 mM EDTA and 0.2 mM NaCl [36]. The concentration of DNA in all samples was 30 μg/mL. The melted DNA in all complexes demonstrated the same level of hyperchromicity at 260 nm as the pure DNA (Figure 1).

The first derivative of the pure DNA-melting curve in unbound state has a characteristic single-peak profile (Figure 1). This peak is attributed to the melting of DNA and the position of peak’s maximum provides the value of DNA-melting temperature . For the DNA in solutions of 0.25 mM EDTA/0.2 mM NaCl the melting temperature was found to be °C (Figure 1). When the protein is added to the system the first derivative of the melting curve demonstrates a different profile having two separate peaks (Figure 2) revealing a biphasic process. One of these peaks still has the maximum at approximately 44°C () and thus can be attributed to the melting of unbound DNA. The other one is shifted towards the higher temperatures and indicates the presence of some fraction of DNA with melting temperature of ~62°C (). As it was shown earlier [36–40] the second peak can be attributed to the melting of DNA regions bound to the protein. Thus, interaction of DNA with HMGB1 results in stabilization of the double helix in the vicinity of HMGB1 binding site.

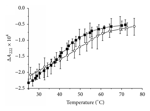
Thermal stability of the complexes was also studied using circular dichroism spectroscopy (Figure 3). CD spectroscopy is suitable for monitoring conformational changes both in DNA and in the protein during the helix-to-coil transition. Analysis of the changes in DNA CD during the melting gives the melting temperature equal to , which is in agreement with absorption spectroscopy data. The melting curve of the pure HMGB1 (Figure 4) gives the protein melting temperature of ~42°C. Similar dependence for the DNA-protein complex at gives slightly higher melting temperatures at approximately 47°C which might reflect increasing melting temperature of the protein in the complex or/and superposition with the DNA-melting transition (Figure 4). It is interesting to note that the conformational changes in the protein are essentially completed by 60°C. The first derivative of the melting curves of the complexes (Figure 2) shows that the second melting peaks rise at the temperatures higher than 60°C. Since these second peaks correspond to the melting of DNA bound to the protein, we may conclude that the melting of the bound DNA follows the conformational transition in the protein, which in turn most likely induces changes in the DNA-binding properties of the HMGB1.


Assuming that the area under the graph of the first derivative of the melting curve is proportional to the concentration of the DNA in the sample [36–40], we may conclude that the area under each of the two peaks is proportional to the amount of unbound and bound DNA in the system, respectively. The areas under the individual peaks change upon the protein binding revealing that increasing the protein to DNA ratio in the complex results in decreasing amount of unbound DNA and increasing the amount of DNA regions bound to the protein (Figure 2). Based on the comparison of the areas under these two peaks we have estimated the fraction of DNA base pairs participating in binding to HMGB1 depending on the input protein to DNA ratio (Figure 5). The fraction of DNA base pairs with higher melting temperature as a function of input protein to DNA ratio shows linear increase with increasing . Such a linear dependence indicates that in the whole range of the studied protein to DNA ratios the binding of a single HMGB1 molecule stabilizes approximately the same number of the DNA base pairs (b.p.). To estimate the size of this region we can estimate the ratio of the number of the b.p. bound to the protein to the number of the protein molecules in the system : where is the fraction of the bound DNA, is the total number of DNA b.p. in the sample, is the molar mass of DNA b.p. (660 Da) or HMGB1 (26.5 kDa), respectively, is the protein to DNA ratio (w/w), and is the slope of the graph, equal to ~0.8 (Figure 5).

Hence, the simple calculations give the estimate of the size of the stabilized DNA region equal to approximately 30 b.p., which is about twice bigger than the HMGB1 binding site determined earlier [7, 28–30, 41, 42].
Thus we may conclude that despite the considerable deformation of the double helix HMGB1 stabilizes the base pairing in DNA in the vicinity of the binding site, which is manifested by 20°C increase in melting temperature. Binding of the HMGB1 stabilizes approximately 30 b.p., which is about twice bigger than the binding site of a single HMGB-domain.
Conflict of Interests
The authors declare that there is no conflict of interests regarding the publication of this paper.
Acknowledgments
The authors are grateful to the Russian Foundation for Basic Researches for a financial support (Grant 12-08-01134) and the Government of Saint Petersburg.