Abstract
This paper presents a precision fault reconstruction scheme for a class of nonlinear systems involving unknown input disturbances. First, using the coordinate transformation algorithm, the disturbances and faults of the system are fully decoupled. Therefore, it is possible to eliminate the influence of disturbances to the system, namely, better disturbances robustness. On this basis, the design of a sliding mode state observer makes the most genuine reconstruction realizable, instead of estimation of faults. Furthermore, with the equivalent principle of sliding mode variable structure, the precision reconstruction of arbitrary nonlinear faults is achieved. Finally, the applications of fault reconstruction in a third-order nonlinear theoretical model with disturbances and in a single-link robot system, respectively, have demonstrated the validity of the proposed scheme.
1. Introduction
Fault detection and isolation (FDI) has been studied for more than three decades, and many approaches have been proposed to solve this problem for nonlinear systems [1, 2]. Among the model-based FDI approaches, the observer-based technique [3] is the most popular. Many different models have been used to generate the so-called residual vector that provides a measure of the deviation between estimated and measured signals. In general, a fault is declared if the length of the residual vector exceeds a certain threshold value [4, 5]. A useful alternative to residual generation is fault reconstruction, which not only detects and isolates the fault, but also provides an estimate of the fault so that its shape and magnitude can be better understood [6, 7]. A consequence of fault reconstruction is that more precise corrective action can be taken. This approach is very useful for incipient faults and slow drifts, which are very difficult to detect. Also, the detail of the fault’s shape, obtained from fault reconstruction, can significantly facilitate the fault tolerant control (FTC) design. The notion of fault reconstruction has been considered in many papers and much pioneering research in this area has been published [8–11]. It should be emphasized that fault reconstruction is still very challenging for many nonlinear systems, especially considering model uncertainties, noise, and other types of disturbances. Therefore, it is necessary to design a scheme so that the reconstruction is robust to disturbances in nonlinear systems.
It is well known that sliding mode control exhibits high robustness to system disturbances [12], thus the sliding mode observer (SMO) for linear uncertain systems has been extensively studied. Recently, attention on SMO has shifted to that for nonlinear uncertain systems [13, 14]. Moreover, sliding mode techniques have been successfully used for FDI [9, 15, 16] and have been shown to be effective for fault reconstruction. Edwards et al. [6] implemented fault reconstruction by means of SMO but with no explicit consideration of the disturbances. In contrast, an observer-based fault reconstruction algorithm has been presented [17] which minimizes the gain from disturbances using linear matrix inequalities. Floquet et al. [18] and Ng et al. [19] have also presented their fault reconstruction solutions with consideration of disturbances. Chen et al. [20] have presented new diagnosis observer technology for nonlinear systems by the integration of Thau observer and SMO. Yan and Edwards [21] have proposed a sensor fault reconstruction method for nonlinear systems based on sliding mode variable structure, in which the size of convergence domain is determined by the bound of disturbances.
The higher the reconstruction precision of fault is, the more comprehensive and accurate the acquired fault information will be, which lays a good foundation for realization of high accuracy FTC. However, the results of SMO-based fault reconstruction generally can only be used for estimation of the fault signal when considering disturbances. How to perform precise fault reconstruction in nonlinear systems with disturbances has become a more challenging method compared with all other methods above mentioned. The goal of the so-called precise robust fault reconstruction has been described to make the systems not only reconstruct any form of fault signals with any required precision, but also be insensitive to disturbances [6, 8]. Pertinent references have been published about this goal. A precise fault reconstruction approach based on the equivalent output error injection concept has been proposed, considering only linear systems with no disturbances [22]. A robust actuator fault reconstruction scheme has been presented [8] using the characteristics of the uncertain structure and fault distribution. Jiang et al. [23] have proposed a fault-estimation scheme for a class of systems with disturbances. A robust fault-detection method for nonlinear systems with disturbances has been proposed [24]. It should be noted that almost all the mentioned approaches involving disturbances are actually concerned with fault estimation instead of precise reconstruction. An exception has been proposed based solely on the assumption that the disturbance is an unknown constant parameter [25].
Disturbance decoupling techniques have also been used in robust fault diagnosis in recent years. Two fault reconstruction schemes based on these techniques considering only linear systems have been proposed [10, 26]. Under geometric conditions, Yang et al. [27] have presented robust FTC schemes. In the FTC, nonlinear system is transformed into two subsystems, which are suitable for both the observer and the design of FTC law. Other schemes have been proposed with unknown input observers (UIOs) and eigenvector assignment [28, 29]. As a disturbance decoupling method, coordinate transformation has obtained good results in robust fault diagnosis. Marino and Tomei [30] have presented this method for nonlinear systems with the design of related adaptive observers. Corless and Tu [31] and Chen and Chowdhory [31, 32] have presented the disturbance decoupling method for linear systems with disturbances, respectively, first considering state and input estimation area, then considering fault diagnosis. It’s easy to say that all the FDI proposals depend on the analytical redundancy method to detect and isolate the faults [28–32].
Building on the work of Corless and Tu about the coordinate transformation method in [31] and considering a class of nonlinear systems with uncertain mode and disturbances, this paper innovatively presents precisely the fault reconstruction method based on disturbance and fault complete decoupling. To fulfill the above scheme, the first step is making one of the subsystems free from disturbances, which lays a foundation for the realization of the decoupling of disturbances and faults. The second step is designing SMO for the two subsystems, respectively, by the use of equivalent principles, with which the precise reconstruction of faults can be realized. The efficiency of this proposed two-step algorithm has been illustrated in this paper by simulation examples.
This paper is organized as follows: Section 2 describes the considered nonlinear system, Sections 3 and 4 investigate and present the coordinate transformation method and the design of SMO for the given nonlinear system, respectively, Section 5 proposes the method for reconstruction of faults, and finally Section 6 shows two examples of application and draws the conclusion of this paper.
Notation. Throughout this paper the notation is used to represent the Euclidean norm for vectors and spectral norm for matrices. and refer to the largest and the smallest eigenvalues of .
2. Description
Consider a nonlinear system described by where is an immeasurable state vector, and are measurable input and output vectors, respectively, is a known nonlinear function, and is an unknown nonlinear function representing unknown input disturbances in the system, such as nonlinearities, unmodeled dynamics, or uncertainties. is the known distribution matrix of disturbance. is an unknown nonlinear function representing actuator fault, and is the known distribution matrix of actuator fault. , and are known matrices, where .
Throughout, the following assumption will be made.
Assumption 2.1. is a column full rank matrix, and .
Remark 2.2. For the disturbance distribution matrix , if being a column full rank matrix condition cannot be met, for example, , then a rank decomposition can be applied, where is a column full rank matrix and can be considered as a new unknown input disturbance. Note that for satisfying the condition , the number of rows of matrix must not be less than the number of the columns of matrix , which is also a common assumption of the fault diagnosis method of UIO [1, 33, 34]. For a scalar input and output system, this condition is equivalent to the requirement that the transfer function has relative degree equal to one [31].
Assumption 2.3. is observable.
Assumption 2.4. Fault in the system is a bounded function such that , where is a known function.
The objective of this paper is to precisely reconstruct fault of actuator by measurable output vectors and measurable input vectors .
3. Coordinate Transformation
The purpose of coordinate transformation is to decouple unknown input disturbances and fault under certain geometric conditions.
Assumption 2.1 ensures the existence of two transform matrixes and [31, 32] such that and system (2.1) and (2.2) can be accordingly transformed as where is the invertible matrix By using the matrix blocks on (2.1), we get where ,?,?,??.
can be designed as a nonsingular matrix since is a column full rank matrix. Then each matrix in (3.2) is
A nonsingular transformation matrix is selected as where is an identity matrix and is a one [32, 35].
System (3.2) can be rewritten in a condensed form: where , , , ?, , , ?, ,, , .
Systems (2.1) and (2.2) can be decomposed into the following two subsystems according to systems (3.3) and (3.8): where ???,?,?,?,??,?,?,?,?,? is a nonzero matrix.
Using the above transformation, the original system is converted into two subsystems. One of the subsystems shown in subsystem (3.9), which is decomposed from systems (2.1) and (2.2) by coordinate transformation, contains only fault explicitly but no disturbances . The effect of disturbances on subsystem (3.9) is transferred away from the subsystem by state vector , and the effect on the subsystem can also be eliminated by the following proposed observer design scheme, thus the complete decoupling of disturbances and fault is realized.
4. Design of Observer
Prior to presenting the observer design, the following assumptions shall be made to the transformed systems (3.9) and (3.10).
Assumption 4.1. and are observable [32].
Assumption 4.2. For functions and , there exist two positive constants and such that
Remark 4.3. Assumption 4.1 is not a very strict condition. The engineering examples given in [32] and an actual single-link robot system described in the subsequent Example 6.2 can meet this condition. Assumption 4.2 is the known Lipschitz condition, which is typically required in the literature on FDI for nonlinear systems, for example, [2, 14, 23]. Indeed, this global condition is strong, and globally Lipschitz nonlinear systems are only a limited class of nonlinear systems. However, since some kind of nonlinearity can be treated as unknown input disturbances [36], system (2.1) could represent a broader class of nonlinear systems than it first appears.
For subsystems (3.9) and (3.10), two SMOs are designed, respectively, as follows:
where superscript “” indicates estimate value, and , represents the input signals of SMOs, whose expressions are
where matrices , , which are the observer gains, and , which are the two positive scalars, are all to be designed.
From Assumption 4.1 we know that there exist matrices and which make and stable matrices:
There also exist the following two Lyapunov equations:
where , , , and are all symmetric positive definite (SPD) matrices.
Assumption 4.4. The matrices , , , and have to be chosen such that
Remark 4.5. Assumption 4.4 is a quite general assumption of SMO [6, 33]. The sufficient condition of existing matrix is that transfer function is strictly positive real (SPR). A known necessary condition for making an SPR is that is observable and is a column full rank matrix. It should be noted that being a column full rank matrix is a standard assumption for fault isolation problems [2, 34], where .
Assumption 4.6. represents the matching bounded disturbance, that is, , , where is a known scalar function.
Define as the state estimation errors and , as the output estimation errors. Based on (3.9), (3.10), and (4.2) and (4.3), the corresponding observation-error dynamic equations are given by
Prior to presenting the lemma, we give the following notations:
The convergence of the above observer is guaranteed by the following lemma.
Lemma 4.7. Consider the system described by the subsystems (3.9), (3.10) and its observer described by the SMOs (4.2) and (4.3). Under Assumption 2.4 and Assumptions 4.1–4.6, if ,? and the parameters of the observer are selected according to the following criteria:
then the two observers, SMOs, (4.2) and (4.3) are asymptotically convergent, that is,
Proof. Consider the following Lyapunov function:
where , and are given by (4.7), and .
Along the trajectory of systems (4.9) and (4.10), the derivative of the Lyapunov function with respect to time is
It follows from (4.16) that
where (4.12) and (4.13) have been used to obtain the last inequality.
Thus as long as , so that is a globally asymptotically stable equilibrium point. This completes the proof.
Remark 4.8. Lemma 4.7 implies that , are bounded; that is, there exists a , when
where are two finite positive scalars that, when time tends to be infinite, are close to zero.
Consider a sliding mode surface
and define
Lemma 4.7 implies that the sliding mode dynamics of the error systems (4.9), (4.10) associated with the sliding surface (4.20) is stable. According to the sliding mode theory, observer stability will be guaranteed upon proving that the error system can be driven to the sliding mode surface in finite time by choosing an appropriate gain of for the input signals (4.4). In view of this, the conclusion is presented by the following lemma.
Lemma 4.9. If inequality (4.19) holds, then the error systems (4.9), (4.10) will be driven to the sliding mode surface (4.20) when from input signals (4.4) satisfies where is a positive constant.
Proof. From (4.20) we can further obtain that
From (4.9), it follows that
Choose Lyapunov function as
From (4.25)
Then, it follows from (4.22) and (4.26) that
This means that the reachability condition of sliding mode is satisfied [33]. Consequently, according to sliding mode equivalent principle [22], a sliding motion will take place on the sliding mode surface after finite time :
The proof is complete.
Remark 4.10. Lemma 4.7 shows that the selection of SMO parameter mainly depends on , which is the upper bound of fault. The Lemma 4.7 also shows that tends to be zero when time tends to be infinite. On the overall consideration of the above facts and inequalities (4.12), one can draw that any value which is sufficiently larger than can be selected as .
The advantage of SMC is that after arrival of sliding mode surface, it has better invariant than that of robustness with regard to uncertainties such as modeling errors, parameter variations, and disturbances. Therefore, SMO has greatly improved the robustness of the fault diagnosis system.
5. Fault Reconstruction
In this section, the precise reconstruction algorithm for fault is presented, in which the reconstruction signals are based only on the available system input and output information and can be calculated on-line.
Theorem 5.1. Let the observer be described by SMOs (4.2) and (4.3). The actuator fault can be reconstructed at any required precision by where is a small positive scalar.
Proof. From Lemma 4.9, it follows that a sliding mode motion takes place in finite time and during the sliding motion
Thus, from (4.24) there is
where is the equivalent output error injection representing the average behavior of the discontinuous function defined by (4.4), which is necessary to maintain an ideal sliding mode motion [33].
From Lemma 4.7 and Assumption 4.4, we can further obtain that
Therefore, construct the following fault observer
In order to reduce the chattering, one can replace the equivalent output error injection in (5.4) with a sigmoid-behaved function in (5.6) [21]. Moreover, the term being measurable implies that is on-line computable.
From (5.4) and (5.5), the fault estimation error equation can be got in the form of
It is clear that can be made arbitrary small by the choice of which indicates that the reconstruction of actuator fault can be at any required precision.
Remark 5.2. From the proof it can be seen that the fault reconstruction scheme is proposed without any restriction on the fault type; that is, it is applicable for abrupt faults, incipient faults, and any other type of faults.
6. Examples
Two examples are given in this section to demonstrate the effectiveness of the designed scheme. A theoretical model of nonlinear system and an actual single-link robot system are used, respectively, as the application objects in the two examples.
Example 6.1. Consider the following third-order nonlinear system:
Refering to (2.1) and (2.2), individual parameter of (6.1) will be
Let input signal be
and let unknown input disturbances be
With two transformation matrixes and which are
the original system of (6.1) can be transformed into the following two subsystems:
It is easily seen that both systems presented in (6.1) and the two subsystems stated in (6.6) are observable. Moreover, let matrix such that the two poles of the matrix are all located at -5 and matrix such that the poles of the matrix A02 are at -2. Select from (4.7), an identity matrix, , . Therefore, choose the parameters of the observer as , , , , and let the system initial conditions be and . Now all of the assumptions are satisfied in this example. The state observers for subsystems (6.6) are defined as
Define the fault reconstruction algorithm as
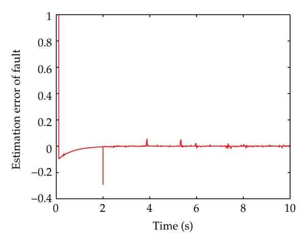
With the above simulation parameters, we use three kinds of faults to verify the effectiveness of the proposed method. In the first case, a nonlinear signal with small amplitude is chosen to simulate the fault, that is, . Assume that begins at time instant of 2 seconds, and when seconds. Figures 1, 2, 3, 4, 5, and 6 show the estimation results of the three state vectors and the corresponding estimation error. The results imply that the observers converge quickly, which lay the foundation for fault reconstruction.
Figures 7 and 8 show the results of the fault reconstruction and the corresponding reconstruction error. From the simulation results we can see that nonlinear fault can be precisely reconstructed.
In the second case, a low-frequency sinusoidal signal is selected to illustrate that the fault detection is sensitive to incipient faults, that is, . The associated simulation results in Figures 9 and 10 verify that the proposed approach can be applied to reconstruct an incipient fault rapidly.
In the third case, let the fault be a divergence function, that is, . The associated simulations are shown in Figures 11 and 12. The simulations show that, within a certain range, reconstructs the fault perfectly even if the fault destroys the stability of system.












Example 6.2. Consider a single-link robotic arm with a revolute elastic joint rotating in a vertical plane whose motion equations are [37]
where and are the link displacement and the rotor displacement, respectively. The link inertia , the motor rotor inertia , the elastic constant , the link mass , the gravity constant , the center of mass , and the viscous friction coefficients , are all positive constant parameters. The control is the torque delivered by the motor. When handling different objects, the loading of robot will change. In addition the friction coefficient of the joint will also change with time. Here we unify all of these factors to be unknown input disturbances and express them with a function , moreover expressing malfunction for robot with . Assume that , , and are measurable, and let , , , . Thus, the single joint robot model with unknown input disturbances and actuator faults is presented in the following fourth-order nonlinear form:
The simulation experiments are performed with the following robot parameters (in SI units): , , , , , ,?.
Referring to (2.1) and (2.2), parameter matrixes of (6.10) shall be
Since incipient faults normally have small amplitude and change slowly at the early stage, it is difficult to figure out them by the monitoring system. However, the earlier they are found, the easier it is to avoid severe consequence. Therefore, one of the important tasks of fault reconstruction is the early diagnosis of incipient faults. For further effective demonstration of the proposed scheme, the following sinusoidal wave is used to simulate incipient faults:
While unknown input disturbances of system are assumed to be and the input to the system is given by , two transformation matrixes and are chosen, respectively, to be
Hence, (6.10) can be decomposed to be the following two subsystems by the transformation matrixes above mentioned:
The initial conditions of the system are chosen to be and . Moreover, we set the observer parameters ,, ;?, . Similarly, construct state observer for (6.14), then we get
Hence, the algorithm of fault reconstruction is
In order to highlight the robustness of the methodology presented in this paper with respect to measurement noise, we add a uniformly distributed random noise to the original measured signal . Figures 13 and 14 show the results of fault reconstruction and the corresponding reconstruction error.
From the results we conclude that the decoupling of unknown input disturbances and faults is realized by transforming the system model into two subsystems using matrix of a linear transformation, although high nonlinearity still exists in the system and faults. Note that the suggested precise reconstruction algorithm can handle the faults with arbitrary nonlinearity, which makes the work applicable to a wider class of systems. By contrast, the proposals of adaptive observers, UIO, SMO, and the others presented in [2, 3, 6, 38], can only reconstruct some certain faults, for example, constant faults or the faults time-varying at a limited rate.


7. Conclusion
This paper has presented a scheme to meet the challenge of performing precision fault reconstruction in nonlinear systems with disturbances. The use of coordinate transformation transforms the nonlinear systems into two subsystems and one of them is free from unknown input disturbances. Based on the scheme, the designed sliding mode state observer keeps the reconstruction system with better disturbance robustness, but also has higher faults sensitivity. The use of the equivalence control method enables the system to reconstruct arbitrary form of fault signals with any required precision. Two examples are employed to illustrate the effectiveness of the proposed design approach.
Acknowledgments
This work is supported by the Natural Science Foundation of China (61273157 and 61104024), Hunan Province Education Department (12A040), and Construct Program of the Key Discipline in Hunan Province.