Abstract
In China, rockburst disaster occurs mostly in construction of underground engineering in Qinghai-Tibet Plateau and its adjacent region. Previous research on deep-buried tunnels has indicated that tunnels stability is related to in situ stress state. To quantify these relationships, three-dimensional finite element modeling was done to analyze the influences that the angle φ between the maximum horizontal principal stress orientation and tunnel axis, and the lateral pressure coefficient KH, had on the tangential stress in a deep-buried-curved tunnel. Based on the in situ stress condition in Qinghai-Tibet Plateau and its adjacent region, 50 different simulation conditions were used to analyze the relationship that φ and KH had on for the rock mass surrounding the tunnel. With the simulation data produced, predictive equations were generated for as a function of φ and KH using multivariate regression analysis. These equations help estimate at various key positons along the tunnel boundary at Qinghai-Tibet plateau and its adjacent region. The equations were then proved by a set of typical tunnels to ensure validity. The results concluded that the change in φ has a significant impact on , and thus, the stability of the tunnel, when 30° < φ < 60°, with the most obvious influence being when φ is about 45°. With the equations, the rockburst potential at a certain location within a curved tunnel can be quickly estimated by calculating φ and KH on , without need of geo-stress background knowledge and heavy simulation, allowing for the practical value in engineering at design phase for the projects in Qinghai-Tibet Plateau and its adjacent region.
1. Introduction
Rockburst is a sudden and violent failure of the rock mass, caused by highly stressed brittle rocks and the rapid release of accumulated strain energy [1]. It has strong suddenness, randomness, and harmfulness. Frequent rockburst disasters directly affect the construction progress, threaten the safety of workers, and cause significant loss of equipment and time [2–4].
The Qinghai-Tibet Plateau is one of the most active areas of neotectonic movement in the world [5–12]. Intense tectonic activity resulted in the topography of the Qinghai-Tibet Plateau with a lot of high-altitude mountains and deep-cutting valleys. Large number of highway and railway tunnels have been or will be built inevitably in these mountainous areas [7]; thus, rockburst disasters occurred mostly in the construction of underground engineering in Qinghai-Tibet Plateau and its adjacent region [13–16]. Scholars at China and abroad have carried out research studies and obtained many valuable conclusions about the mechanism of rockburst formation, disaster effects, and preventive measures in the region [7, 14, 17–20]. The construction of related projects has become a world problem in this complex geological environment [21].
Previous research on construction of deep-buried tunnels in areas of strong tectonic activity indicated close correlation between the stability of tunnels and in situ stress state [2, 22–24]. However, orientation and magnitude of in situ stress in such regions are very complicated due to many influencing factors including strong neotectonics activities, active faults, height difference, and so on [25, 26].
The orientation of in situ stress plays an essential factor in affecting the failure mode and stability of curved tunnels [2, 18, 27–29]. For instance, different orientations of in situ stress induce different failures types of the surrounding rock mass [30–34]. Previous research discovered that a tunnel has the highest stability when maximum horizontal principal stress orientation falls parallel with tunnel axis. In addition, the lowest stability occurs when the angle between the two is 90° [30, 32, 35].
Sufficient evidences show that lateral pressure coefficient KH, the ratio of the maximum horizontal principal stress . and the vertical stress are also critical factors affecting stability and stress redistribution of the tunnel surrounding rock mass [22, 35–40]. Many studies devoted to explore the characteristics of fracture behaviors, failure path, and strain energy density of the deep-buried tunnel under different KH. With small KH, the roof and spandrel of the tunnel emancipate strain energy in long period induced spalling, and the position of initial failures is of a certain degree discreteness [35, 39]. With the increase in KH, initial failures are mainly caused by tensile damage to roof [36]. In high-stress condition, severe rockburst activity is observed with immediate release of heavy strain energy [39]. The damage caused by the stress waves is induced from instantaneous unloading under different KH only in the 1/3 radius propinquity of excavation perimeter [40].
In conclusion, many studies have been devoted to show that the influence of orientation of in situ stress and KH, respectively, on the stability of the deep-buried tunnel has an important reference value. But the coupling effect of the influence mechanism of the angle φ between the maximum horizontal principal stress orientation and tunnel axis, and KH, on the deep-buried tunnel is unclear. With the process of φ increasing from 0° to 90°, features of failure evolution are unclear, particularly when the maximum horizontal principal stress is oblique at a large angle with the tunnel axial. In addition, most of pioneer works concentrate on circle and straight-wall-top-arch tunnels [32, 41–43]. The research studies about the stress distribution and failure characteristics for curve tunnels used widely in high-speed railway remain to be explored. Therefore, although the in situ stress measurement for most deep-buried tunnels was taken before tunnel construction [15, 44, 45], rockburst still occurred frequency during construction due to lack of professional interpretation in the design stage. As a result, it is both financially and technically critical to correctly evaluate the effects of a given in situ stress state during construction.
The coupling effect of φ and KH on the stability of the deep-buried-curved tunnel in Qinghai-Tibet Plateau and its adjacent region is investigated in this study. Stress distribution feature and the tangential stress in the surrounding rock mass of the tunnel at five key positions (roof, floor, spandrel, corner, and sidewall) are examined. In addition, prediction equations were derived to predict as a function of φ, KH at key positions along the tunnel boundary via multivariate regression analysis. The equations were then tested on various tunnels in Qinghai-Tibet Plateau and its adjacent region to confirm validity. With these equations, it has become more convenient to assess , rockburst intensity, and stability of a tunnel, all without need of tedious simulations. This will effectively serve to aid the tunnel build in planning and designing stage in Qinghai-Tibet Plateau and its adjacent region.
2. In Situ Stress Field in Qinghai-Tibet Plateau
The Qinghai-Tibet Plateau, which is formed by the strong subduction of Indian plate, extents from Altun mountains and Qilian mountains in the north, the Himalayas in the south to the Kunlun Mountains, and from the Pamirs Plateau and Karakoram Mountains in the west to the West Qinling mountains, and the Loess Plateau in the east and northeast [46]. Therefore, this study is based on the geographical space range of the Qinghai-Tibet Plateau and its adjacent region (Figure 1).

Depending on database of crustal stress in China and adjacent area, up to 2000 entries of in situ stress data measured by the hydraulic fracturing and stress relief method in Qinghai-Tibet Plateau and its adjacent region. Yao et al. [48] and Yang et al. [47] studied tectonic stress characteristics of the shallow curst, and statistical regression of measured in situ stress data with depth was analyzed. The magnitude characteristics of the maximum horizontal stress , the minimum horizontal stress , and the vertical stress changing with depth in Qinghai-Tibet Plateau and its adjacent region are shown in Figure 2(a). From the statistical regression, the relationship between , , and with depth is characterized as follows: when depth < 266 m, ; when 266 m < depth < 1133 m, ; when depth > 1133 m, . Figure 2(b) shows / variation with depth in Qinghai-Tibet Plateau and its adjacent region, which indicated that the ratio of and tends to be stable with the increase of depth. The average value of / is 1.53 in Qinghai-Tibet Plateau and its adjacent region.

3. Numerical Simulation of Three-Dimensional Stress Field
An exact analytical solution of on the boundary of a deep tunnel with circular cross-section was carried out by Kirsch [49]; whereafter, a series of analytical solution were expanded on various conditions [50–57]. However, for a deep-buried-curved tunnel with a cross-section composed of three different radiuses, it is complicated and difficult to obtain the closed form solution of the surrounding rock mass stress. When oblique with tunnel axis, the effect of initial shear stress to stress redistribution is difficult to simulate in two-dimension stress field analyzing, resulting in a deviation with the actual simulation [32, 58]. As an effective method, three-dimensional stress field analysis by finite element approaches is applicable to solve the redistribution of on the boundary of a deep-buried-curve tunnel. ANSYS was employed to examine the effect of in situ stress state for tunnel stability. Basic assumptions to execute the numerical simulation are summarized as follows: (1) rock mass is considered linear elastic, homogeneous, and isotropic; (2) the tunnel is infinitely long and deep-buried; (3) the influence of topography and fracture is not considered in this numerical simulation; (4) the orientations of and are considered horizontal, and the orientation of is vertical.
3.1. Geological Conceptual Model
The prototype of the deep-buried-curved tunnel is a typical two-lane high-speed passenger line widely used in China now (Figure 3), with speeds of 300 km/h and 350 km/h according to the code for design of high-speed railway [59]. The span and the arch height of the curved tunnel are 13.3 m and 10.53 m, respectively. The dimension of the model is x × y × z = 140 m × 140 m × 140 m. Statistics show that rockburst always occurs with the buried depth over 700 m in tunnel construction [60]; therefore, the model is considered at a depth of 700 m underground.

3.2. Numerical Modeling
3.2.1. Meshed Model and Boundary Condition
Ten numerical models were established to actualize transformation of φ from 0° to 90°. For the sake of enhancing the accuracy of the result, the models are divided into core part meshed same in each model and the marginal part meshed differently with same number of nodes and elements generally. Different loading orientations of in situ stress could be realized by marginal part grid. The interface between tunnel end and marginal part belongs to free surface. It is generally considered that stress redistributed of surrounding rock is caused by underground chamber excavation within 6 times radius of the hole [61]. The tunnel model is located at the core part of the model rather than through the whole model. Tunnel ends belong to the junction site of the core part and the marginal part. The distance from tunnel ends to the tunnel middle cross-section far exceeds six times of tunnel radius. Therefore, the effect of the tunnel ends on the middle cross-section of the selected analysis data is basically ignored.
Each model is meshed by three-dimensional eight-node solid element type (Figure 4). Since horizontal principal stress and vertical stress changed less by gradient in model range for the deep-buried tunnel, constants force of , , and are loaded to model. The boundary conditions for stress and displacement are applied to the model demonstrated in Figures 5 and 6. is applied to models with a magnitude of 19.04 MPa, which is calculated by overburden rock. and are assigned by various KH to simulate different in situ stress states; thus, the ratio Kh of and is determined. According to the in situ stress data of Qinghai-Tibet Plateau and its adjacent region with strong tectonic action, / = 1.53 is utilized in the model to loading [47, 48].



3.2.2. Mechanical Parameter
Considering the occurrence of rockburst in actual situation [62], the mechanical parameters of surrounding rock mass of grade II are selected as given Table 1, based on the prototype of surrounding rock mass of grade II in TB 10621-2009 [59].
3.2.3. Simulation Conditions
To analyze the coupling effect of the orientation of and KH, 50 different calculation conditions are presented to numerical simulation. Depending on the analyze on part 2, different in situ stress states in Qinghai-Tibet Plateau and its adjacent region were simulated. The associations of φ and KH are given in Table 2.
4. Stress Redistribution of Surrounding Rock Mass in 50 Simulation Conditions
The stress redistribution caused by deep-buried tunnels excavation leading stress concentration may trigger rockburst. Due to the failure of surrounding rock mass developing from the boundary of the tunnel to the interior rock mass along radius direction [61], in surrounding rock mass of the deep-buried-curved tunnel from numerical simulation based on in situ stress state of Qinghai-Tibet Plateau and its adjacent region is analyzed in this study.
As Figure 7 shows, the positions of stress concentration are deeply related to KH and φ for the deep-buried-curved tunnel. The main features are described as follows: KH ≥ 2: the compressive concentrated position in the surrounding rock mass of the tunnel is not obvious when φ ≤ 20°. With the increase of φ, gradually concentrates in surrounding rock mass at roof, floor, and corner, while concentration at sidewall diminishes. KH = 1.5: while φ ≤ 20°, concentration emerges mainly in the surrounding rock mass at corner and sidewall. concentration in surrounding rock mass at sidewall gradually decreases when φ increases. Meanwhile, at roof and floor increases, forming the compressive concentration. KH = 1: with the increase of φ, the compressive concentration in surrounding rock mass appears from sidewall to corner to spandrel to roof gradually. KH = 0.5: the compressive concentration in surrounding rock mass appears at sidewall, which is slightly impacted by the in situ stress orientation under weak level horizontal tectonic stress. In addition, at roof and floor is subjected to tensile stress while φ ≤ 40°, especially at floor.

Comparing the values of at the key positions of the deep-buried-curved tunnel in different simulation conditions, it can be demonstrated that the compressive at roof is obviously larger than that at bottom, and the compressive at corner is greater than that at spandrel due to the asymmetry in shape of the tunnel in horizontal and in situ stress states of Qinghai-Tibet Plateau and its adjacent region.
5. The Influence of In Situ Stress State on the Tunnel Stability
Rockburst plays a pivotal role in the failure of the tunnel under the condition of high in situ stress. Indexes correlating to the maximum tangential stress on the boundary of the tunnel and uniaxial compressive strength are widely used as empirical criteria in the potential of strain rockburst [63–68].
To analyze the feature of in the deep-buried-curved tunnel, five key positions located at roof, floor, spandrel, corner, and sidewall around the boundary of the tunnel were chosen to carry out under various in situ stress states in the numerical simulation, respectively, as shown in Figure 3. From theory and practice, the key positions are the most prone position to fracture [41, 61, 69, 70]. The rockburst potential of the five key positions analyzed under is 60 MPa (this is done for convenience, but it is not a limitation of the result).
5.1. Effect of φ on Tunnel Stability
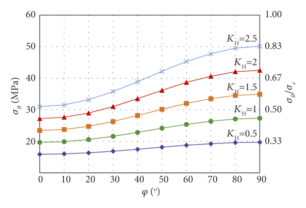
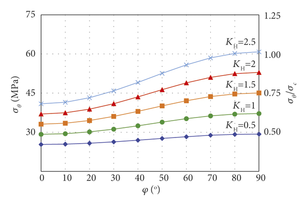
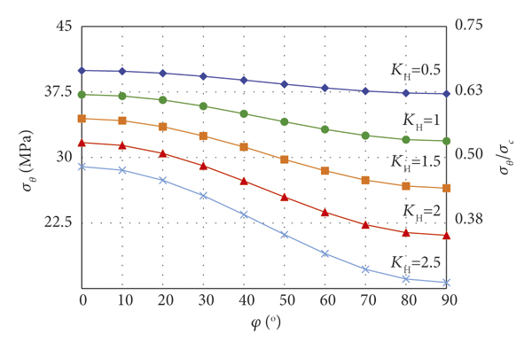
It is revealed from Figure 8 that under the identical KH condition, increases with the growth of φ at roof, floor, spandrel, and corner of the tunnel, which is disadvantageous for the safety of the tunnel; simultaneously, the risk of rockburst enhances under the same condition of . In this regard, at sidewall diminishes with the increase of φ in identical KH condition, making the potential for rockburst reduce with the same , which avails to tunnel stability. The relationship is observed between the key positions and φ with approximately trigonometric function in constant KH.

(a)

(b)

(c)

(d)

(e)
When 30° < φ < 60°, it is noticed that the transformation of φ has a significant impact on at the five key positions. Also, the transformation of φ exerts notable influence on the potential of rockburst in constant and the tunnel stability. Particularly, the effect on is the most pronounced while φ is about 45° due to the slope of the curve is the sharpest. With φ > 45°, as the increase of φ, the effect on at key positions becomes slighter. Moreover, the influence on the potential of rockburst in constant as well as tunnel stability decreases gradually by the change of φ. With φ < 45°, the effect on at the key positions becomes greater as φ increases. The influence of potential of rockburst in constant and tunnel stability increases gradually with the variation of φ. The effect on and tunnel stability is marginally affected by altering on φ, while is parallel and vertical to the tunnel axis.
5.2. Effect of KH on Tunnel Stability
It is indicated from Figure 9 that increases with the enhancement of KH under the identical φ at roof, floor, spandrel, and corner of the tunnel periphery. The corresponding rockburst potential increases sharply with constant and tunnel stability seriously reduced. However, for the sidewall of the tunnel, the increase of KH results in reduced and rockburst potential diminished in the equivalent , and thus, the stability of tunnel enhanced. The relationship is observed between the key positions and KH with approximately linear function in constant φ.

(a)

(b)

(c)

(d)

(e)
The effect of KH variation is discrepant under various φ at different key positions. It can be observed that with the increase in φ, the influence of KH transformation on is significantly enhanced, which means that the change of KH at a large φ has greater influence than that at a small φ. The effect of KH variation on potential of rockburst in constant and tunnel stability is the slightest when is parallel with the tunnel axis. On the contrary, the effect of KH variation on potential of rockburst in constant and tunnel stability is the most prominent when is perpendicular to the tunnel axis.
6. Multivariate Regression Analysis of
6.1. Analytical Solution of the Stress in Circular Cross-Section of Deep-Buried Tunnel
This study presents an analytical solution to calculate the stresses in unsupported deep-buried tunnels in various in situ stress states. Assumptions of analytical solution are the same as numerical simulation. While is not parallel with tunnel axis, the in situ stress tensor can be rotated to coordinate x′yz′, so that z′ is parallel with the tunnel axial direction for the convenience to calculate (Figure 10). The initial stress state of the tunnel based on the x′yz′ coordinate system derived from the stress transform can be expressed aswhere are the initial horizontal stress components vertical to tunnel axis; are the initial horizontal stress components parallel to tunnel axis; are the initial vertical stress components; and are the initial shear stress components in the x′-z′ plane, x′-y plane, and y-z′ plane, respectively.

Figures 11 and 12 show the x′-y section and the x′-z′ section view of stress state when z′ is parallel to the tunnel axis (φ = 0°). The redistribution stress of horizontal circular tunnels deep-buried in elastic rock mass can be solved by Kirsch [49] based on two-dimensional plain strain conditions. For liner elastic, the initial axial normal stress has no effect on the radial and the tangential stresses on an infinitely long tunnel. Redistribution of stresses in the circular tunnel in three-dimensional stress field can be obtained from the combination of Kirsch [49] and stress redistribution of the circular tunnel under initial shear stress [32]. Because of the superposition principle, it can be expressed aswhere r0 is the radius of the tunnel; r, θ represent the radius vector and polar angle in the rθz′ cylindrical coordinate; and are shear stresses in the rθz′ cylindrical coordinate.


For r = r0, the redistribution stress is equivalent to
Substituting equation (1) with (3), the analytical solution for redistribution stress in various in situ stress states can be given as
6.2. Multivariate Regression Equation of
The purpose of the multivariate regression analysis method is to construct relationships between with φ, KH at the key positions. Multivariate regression analysis develops the empirical models to introduce predictive equations which generated by results of stress redistribution in the key positions at deep-buried-curved tunnels from numerical simulation and data analysis in Qinghai-Tibet Plateau and its adjacent region. The form proposed from equation (4) can be applied to predict in different key positions. The tunnel shape in the numerical model is made up of three arcs of different diameters based on TB 10621-2009 (Figure 3), and the theoretical formula is derived from an ideal circular tunnel. The form of predictive equations developed from theoretical formula. Multivariate regression analysis develops predictive equations, generated by results of stress redistribution from numerical simulation and data analysis in Qinghai-Tibet Plateau and its adjacent region. A summary of regression equations is given in Table 3. As given in Table 3, the adjust R2 between predictive equations and stress redistribution data based on numerical simulation were all greater than 99%, which mean the predictive equation fitting the data from numerical simulation well. Hence, the effect of simplified shape of analysis is minimal, and the predictive equations reliably reflected relationships between with φ, KH at the key positions. On the other hand, predictive equation verified that the relationship between φ and at key position is trigonometric function in constant KH. Also, the relationship between KH and at the key positions is linear function in constant φ.
The validity of the overall equations can be approved using an F-test [71, 72]. The value of F is calculated by the analysis of variance (ANOVA) and is given in Table 4. As given in Table 4, the F-test, with very low probability value (Prob (F)), demonstrates a very high significance for the predictive equations and confirms the adequacy of predictive equations. Besides, as given in Table 3, very high adjusted R2 values indicate that predictive equations are believable.
Therefore, for a deep-buried-curved tunnel in Qinghai-Tibet Plateau and its adjacent region with determined in situ stress state condition, the equations can be used easily to quantitatively calculate . Combined with , the prediction of rockburst intensity evaluated by corresponding criteria and the potential location of high-risk area of rockburst are obtained without need of too much geo-stress background knowledge and heavy simulation. The response surfaces between with φ and KH at the key positions are shown in Figure 13, respectively. The predictive equations and response surfaces also represent a straightforward tool for quickly estimating the potential altering tendency of tunnel stability under different tunnel axis layout conditions and in situ stress state at tunnel design and planning stage in Qinghai-Tibet Plateau and its adjacent region. This will also serve to aid scientific evidences for rockburst risk prevention of tunnel construction.

(a)

(b)

(c)

(d)

(e)
7. Discussion
For the scientificity, practicality and availability of predictive equations for at the key positions in the deep-buried-curved tunnel are based on Qinghai-Tibet Plateau and its adjacent region, and it is essential to verify the accuracy of rockburst intensity of predictive equations.
The value of as a significant criterion is extensively applied, while many debates for the valuation of the criterion still exist [65, 67, 73, 74]. Russenes criterion was utilized in this study (Table 5).
Based on the in situ measured stress data, we calculated to obtain rockburst intensity compared with other rockburst potential assess methods (numerical simulation, physical simulation, and empirical criteria) and actual construction, as given in Table 6.
It is revealed that the multiple regression constructed by numerical results are in good agreement with rockburst intensity in actual construction as well as prediction by various methods. The result indicates that the simulated prediction equations rockburst could well reflect the rockburst feature in various in situ stress states and possess scientific merit in and wide practical value in the deep-buried tunnel in Qinghai-Tibet Plateau and its adjacent region.
It should be mentioned that the stability of the tunnel is also related to other factors apart from KH and φ, such as preexisting joints, active fault, topography, nonuniformity, and nonelasticity of rock mass.
The presence of joints, which causes asymmetrical loading and local instabilities when underground tunnel excavation, has close relationship to failures in surrounding rock. Preexisting joints in rock mass affect the mechanical behavior and weaken the strength of surrounding rock mass in tunnel boundary, reflected in the effect of frequency, orientation of joint, and shear strength along the critical joint set [89, 90].
Active faults are potential sources of earthquake. The coseismic dislocation of active faults could destroy most structures that span faults, posing a threat to the stability of the tunnel in the tectonic active area. As for railways are generally linear projects, it is important for railways to avoid crossing active faults as possible [91–93]. Moreover, active faults may change stress between the void and the discontinuity and alter the orientation of local stress [19, 26].
Furthermore, the orientations of and always have dips, not absolutely horizontal, and the orientation of also has a dip, not absolutely vertical. Based on the research results from Feng et al. [94], the assumptions of the orientations of the three principal stresses can be accepted in Qinghai-Tibet Plateau and its adjacent region.
Here, due to the complicated geological and structure of rock mass, the effect of above factors is not taken into consideration in this research. However, the predictive equations are proved effective through verification in a set of actual construction tunnels. The impact of above conditions on and stability of the tunnel is needed to explore to improve the understanding of this study in further work.
8. Conclusion
This study analyzed the coupling effect of the angle φ between the maximum horizontal principal stress orientation and tunnel axis and lateral pressure coefficient KH on the stability of the deep-buried-curved tunnel under the in situ stress state of Qinghai-Tibet Plateau and its adjacent region. The conclusions are as follows:(1)Stress redistribution of surrounding rock mass in 50 simulation conditions is systematically analyzed. When φ ≤ 20°, the positions of concentration are related to the lateral pressure coefficient. With the increase of φ, concentration at the sidewall of the tunnel diminishes gradually, while at roof, floor, and corner of the tunnel forms concentration. Whereas, under weak horizontal tectonic stress action, the positions of stress concentration are slightly impacted by the stress orientation.(2)With the increase of φ, increases at roof, floor, spandrel, and corner of the tunnel periphery under the identical KH; the corresponding decreases at sidewall. When 30° < φ < 60°, the transformation of φ has a significant impact on and tunnel stability. Especially when φ is about 45°, and the stability of the tunnel are obviously affected.(3) increases with the improvement of KH under the identical φ at roof, floor, spandrel, and corner of the tunnel periphery, whereas reduces at sidewall of the tunnel. With the increase in φ, the influence of KH transformation on and tunnel stability is significantly enhanced. The influence of tunnel stability is the slightest with φ = 0°. On the country, the influence is maximum when φ = 90°.(4)Predictive equations and response surfaces for at the key positions (roof, floor, spandrel, corner, and sidewall) of the tunnel based on multiple regression modeling are proposed and verified by a set of typical tunnels. The equations can be employed easily to quantitatively calculate for a deep-buried-curved tunnel in determined in situ stress state condition to rapidly estimate rockburst intensity and evaluate the potential altering tendency of tunnel stability under different tunnel axes and in situ stress states at the planning and designing stage of the deep tunnel.
Data Availability
The datasets used or analyzed during the current study are available from the corresponding author upon request.
Conflicts of Interest
The authors declare that there are no conflicts of interest.
Acknowledgments
The authors gratefully acknowledge the financial support from China Geological Survey (DD20160267 and DD20190317) and the National Natural Science Foundation of China (DD41702341).