Abstract
Sepsis is characterized by injury of the pulmonary microvasculature and the pulmonary microvascular endothelial cells (PMVEC), leading to barrier dysfunction and acute respiratory distress syndrome (ARDS). Our recent work identified a strong correlation between PMVEC apoptosis and microvascular leak in septic mice in vivo, but the specific role of apoptosis in septic PMVEC barrier dysfunction remains unclear. Thus, we hypothesize that PMVEC apoptosis is likely required for PMVEC barrier dysfunction under septic conditions in vitro. Septic stimulation (mixture of tumour necrosis factor α, interleukin 1β, and interferon γ [cytomix]) of isolated murine PMVEC resulted in a significant loss of barrier function as early as 4 h after stimulation, which persisted until 24 h. PMVEC apoptosis, as reflected by caspase activation, DNA fragmentation, and loss of membrane polarity, was first apparent at 8 h after cytomix. Pretreatment of PMVEC with the pan-caspase inhibitor Q-VD significantly decreased septic PMVEC apoptosis and was associated with reestablishment of PMVEC barrier function at 16 and 24 h after stimulation but had no effect on septic PMVEC barrier dysfunction over the first 8 h. Collectively, our data suggest that early septic murine PMVEC barrier dysfunction driven by proinflammatory cytokines is not mediated through apoptosis, but PMVEC apoptosis contributes to late septic PMVEC barrier dysfunction.
1. Introduction
Acute respiratory distress syndrome (ARDS), which has a 30–40% mortality rate, is characterized by severe pulmonary inflammation and high-permeability, proteinaceous edema [1, 2]. Sepsis is the most common cause of ARDS [1, 3–5]. Septic organ dysfunction, including the lung injury present in ARDS, is due in large part to systemic inflammation leading to dysfunction of the microvasculature, especially the microvascular endothelial cells (MVEC) [5–9]. Microvascular dysfunction is characterized by impaired barrier function (increased permeability leading to extravascular leak of protein-rich edema) and neutrophil (PMN) influx into organs [10–14], microvascular thrombosis [15, 16], and impaired distribution of blood flow in microvascular beds [17]. Microvascular dysfunction is clinically important, as it has been documented early in the course of sepsis in humans, and is associated with increased mortality [7, 8], especially if it persists over time [9].
Pulmonary microvascular dysfunction in sepsis and ARDS is principally due to activation, injury, and dysfunction of pulmonary MVEC (PMVEC). Multiple mechanisms promote septic PMVEC dysfunction, including activation by cytokines, mechanical interaction with activated leukocytes, and exposure to harmful leukocyte-derived molecules, such as oxidants (including nitric oxide). These factors result in PMVEC abnormalities, including disruption of inter-PMVEC junctions and cytoskeleton-driven retraction [2, 5, 10–12, 18–21]. Recently, we identified a correlation between PMVEC apoptosis in vivo and increased pulmonary microvascular permeability following cecal ligation and perforation- (CLP-) induced sepsis in mice [22, 23]. Furthermore, we demonstrated that systemic administration of Q-VD, a synthetic inhibitor of caspases, decreased septic PMVEC apoptosis, which was associated with reduced septic pulmonary microvascular permeability [23].
Apoptosis is a highly regulated, energy-dependent, enzymatic process of cell death, important in development and tissue homeostasis, but is also activated under inflammatory/pathologic conditions, such as sepsis. Apoptotic cell death is characterized by activation of cysteine proteases known as caspases, a loss of cell membrane polarization, and fragmentation of the DNA leading to condensed nuclei [24, 25]. Initiation of apoptosis is regulated by multiple pathways, which culminate in final common effector caspase activation. One of these, the extrinsic (or receptor-mediated) pathway depends on signalling by members of the tumour necrosis factor (TNF) cytokine family (i.e., TNFα) suggesting that stimulation of PMVEC with a combination of proinflammatory cytokines (e.g., mixture of TNFα, interleukin [IL] 1β, and interferon [IFN] γ) may lead to PMVEC apoptosis [24, 26]. However, while some studies support the ability of proinflammatory cytokines (i.e., TNFα) to induce endothelial cell (EC) apoptosis, these cytokines do not consistently induce apoptosis, depending on particular EC type and method of assessment of both EC barrier function and apoptosis (Table 1) [27–42]. Further, it has not been clearly established whether PMVEC apoptosis is a driving factor in early and late septic EC barrier dysfunction or whether apoptosis has a role in recovery from septic injury and repair of the microvascular permeability barrier. Specifically, previous studies, primarily in macrovascular EC such as human umbilical vein EC (HUVEC), suggest that septic EC barrier dysfunction may correlate with EC apoptosis; however, many of these studies do not clearly demonstrate that EC apoptosis causes barrier dysfunction (Table 1). Additionally, there is also evidence that EC leak can occur in the absence of EC apoptosis (Table 1). Our previous work, however, suggests PMVEC apoptosis as a critical mechanism for the loss of PMVEC barrier function in vivo [22, 23]. Thus, we hypothesize that PMVEC apoptosis is likely required for PMVEC barrier dysfunction under septic conditions in vitro. Furthermore, it is likely that PMVEC apoptosis also prevents reestablishment of normal PMVEC barrier function.
2. Methods
2.1. PMVEC Isolation
PMVEC were isolated from the lungs of C57Bl/6 mice, as previously described [10, 43]. In brief, lungs were isolated, finely minced, and then digested with collagenase before incubation with magnetic microbeads (Dynal Biotech Inc., Lake Success, NY) coupled to anti-CD31 (platelet endothelial cell adhesion molecule, PECAM) antibodies (BD Pharmingen, Franklin Lakes, NJ). Microbead-bound PMVEC were captured, washed, suspended in growth medium (Dulbecco’s modified Eagle’s medium [DMEM] with 20% Fetal Bovine Serum, 5 mM glucose, 4 mM L-Glutamine, 1 mM Sodium Pyruvate, and Phenol Red; Invitrogen, Carlsbad, CA), and then seeded in gelatin-coated cell-culture flasks. Once approximately 90% confluent, cells were stained with fluorescent acetylated-low density lipoprotein (LDL) (Biomedical Technologies, Stoughton, MA) and assessed by immunofluorescence or stained with antibodies against CD31, CD34, CD146, and CD202b conjugated to pacific blue, phycoerythrin, fluorescein isothiocyanate (FITC), or allophycocyanin, respectively (VWR Scientific Inc., Radnor, PA), and assessed by flow cytometry (easyCyte Guava 12HT; Millipore, Billerica, MA, USA). Collectively, these processes resulted in PMVEC isolates with 99% homogeneity, which were then cultured and used between passages 4 and 8.
2.2. Assessment of PMVEC Barrier Integrity
PMVEC barrier function was assessed in vitro by culturing PMVEC on gelatin-coated 24-well cell-culture inserts (3.0 μm pore, VWR) in full DMEM medium as we have done previously [10, 43]. During growth, culture medium was changed every second day and PMVEC monolayer permeability was assessed every second day by measuring transendothelial electrical resistance (TEER; EVOM2 Endothelial Voltohmmeter; World Precision Instruments, Sarasota, FL). Individual PMVEC monolayer TEER was corrected for TEER across an empty insert. A fully intact basal PMVEC permeability barrier was accepted when TEER stabilized (±5%).
PMVEC monolayer permeability under basal/resting and septic conditions (cytomix: equimolar solution of TNFα, IL1β, and IFNγ used to mimic a septic response, 0.3–100 ng/mL, PeproTech, Rocky Hill, NJ) was assessed over a time course (2–24 h) using three techniques: (i) TEER (as above), (ii) FITC-labelled dextran flux (4 kDa), and (iii) EB-labelled albumin flux (67 kDa). The levels of trans-PMVEC macromolecular flux of the smaller molecular weight FITC-labelled dextran (4 kDa) or larger molecular weight EB-labelled albumin (67 kDa) from the upper chamber into the lower chamber of the cell-culture inserts were measured over exactly 60 mins as we have done previously [10, 43]. Briefly, both EB-labelled albumin (bovine serum albumin, 33.5 μg total in 250 μL; Sigma, Oakville, Ontario) and FITC-labelled dextran (125 μg total in 250 μL; Sigma) were added directly to the upper chamber of the cell-culture insert. After 1 h, inserts were removed and the conditioned media from the lower chamber collected. EB-labelled albumin flux was determined by measuring the absorbance of the conditioned medium (620 nm) and comparing to a standard curve of EB-labelled albumin (Victor3 multilabel microplate reader, PerkinElmer, Inc. Waltham, MA, USA). Trans-PMVEC FITC-labelled dextran flux was determined by collecting the lower chamber medium, measuring the fluorescence (excitation peak wavelength: 488 nm and emission peak wavelength: 525 nm), and comparing this to completely equilibrated FITC-dextran in both chambers of control wells (labelled 100%; Victor3 multilabel microplate reader).
Basal and septic PMVEC permeability was also assessed in the presence or absence of the broad-spectrum potent caspase inhibitors carbobenzoxy-valyl-alanyl-aspartyl-[O-methyl]-fluoromethylketone (z-VAD-FMK, 100 μM, BD Biosciences, Mississauga, ON) or quinoline-valyl-aspartyl(Ome)-CH2-O-phenoxy (Q-VD, 50 μM, APExBIO, Boston, MA) [45]. For these studies, inhibitors were administered simultaneously with the septic stimulus (cytomix).
2.3. Quantification of PMVEC Apoptosis
To identify features of apoptosis in PMVEC, three different molecular markers were assessed using fluorescence microscopy and flow cytometry under basal and septic conditions: (1) caspase activation, (2) DNA fragmentation, and (3) loss of cell membrane polarity.
To detect caspase activation, PMVEC were stained with the Sulforhodamine (SR) FLICA Poly Caspase Assay Kit as per manufacturer’s instructions (Immunohistochemistry Technologies, Bloomington, MN). Briefly, SR FLICA was added to PMVEC culture medium for the final 1 h of stimulation after which PMVEC were fixed with 10% formalin. Hoechst’s stain (Hoechst 33342, Life Technologies Inc., Burlington, ON) was then used to fluorescently label PMVEC nuclei. Cells were then imaged using fluorescent microscopy (FLICA excitation/emission: 550 nm/590–600 nm; Hoechst excitation/emission: 361 nm/486 nm). The number of FLICA and Hoechst positive cells per field of view was counted through the use of a macro in ImageJ (National Institutes of Health). Automated counts of positive cells were confirmed with manual counts by two blinded reviewers.
Late-stage apoptotic DNA fragmentation in PMVEC was examined by terminal deoxynucleotidyl transferase dUTP nick end labeling (TUNEL; excitation/emission: 494/521 nm; In Situ Cell Death Detection, Roche, Laval, QC). For these studies, PMVEC were fixed in 10% formalin following basal and septic (cytomix) stimulation and then permeabilized with a 1% Na+ citrate/0.1% Triton X-100 solution. Following permeabilization, TUNEL staining was used to identify PMVEC with DNA fragmentation and Hoechst stain was used to label all PMVEC nuclei. Cells were then imaged using fluorescent microscopy and the number of TUNEL and Hoechst positive cells per field of view was determined as above.
Loss of cell membrane polarization (as indicated by presence of cell surface phosphatidylserine) was assessed by staining PMVEC with FITC-conjugated Annexin V and propidium iodide (PI; Invitrogen, Burlington, ON). For these studies, PMVEC were stimulated with PBS or cytomix, lifted by trypsinization, and stained with Annexin V and PI in binding buffer (0.1 M HEPES pH 7.4; 1.4 M NaCl; 25 mM CaCl2). The presence of Annexin V and PI staining was then analyzed by flow cytometry (easyCyte Guava 12HT). Annexin V+/PI− cells were considered apoptotic cells, whereas Annexin V+/PI+ cells were considered dead cells and Annexin V−/PI− cells were considered live cells.
2.4. Quantification of PMVEC Detachment
The degree of PMVEC attachment was assessed under basal and septic conditions and following treatment with Q-VD. Detached cells were quantified by pooling the conditioned media collected from each well with the supernatant from a single wash (PBS) of each well. Following centrifugation at 400 RCF for 10 min at 4°C, the supernatant was removed, the cell pellet resuspended in 0.1% albumin/PBS, and the detached PMVEC cytospun onto slides. Detached PMVEC were then assessed by TUNEL/Hoechst staining as described above.
2.5. Statistical Analysis
Data are reported as mean ± SEM and were analyzed using GraphPad Prism 5. Differences between groups were assessed by -tests (one measured variable) or by a two-way ANOVA with Bonferroni post hoc testing (two independent variables). Significance threshold was set at and experiments were replicated at least 3 times.
3. Results
3.1. Dose Response and Time Course of Cytomix-Induced PMVEC Permeability
In our previous in vivo and in vitro studies, there is significant septic PMVEC barrier dysfunction at 4 h after septic stimulation [12, 22, 23, 43]. To identify the concentration of cytomix required to induce maximal PMVEC permeability as indicated by two complementary techniques, TEER and EB-albumin flux, PMVEC were treated with a range of cytomix concentrations. Under basal conditions, PMVEC achieved a stable TEER of Ohms (Figure 1(a)). PMVEC TEER was significantly decreased ( versus PBS) 4 h following stimulation with 0.3 ng/mL cytomix and continued to decrease in a dose-dependent manner until 10 ng/mL cytomix ( versus PBS; Figure 1(a)). PMVEC permeability to protein, as measured by EB-labelled albumin flux across the PMVEC monolayer, was significantly increased versus baseline following stimulation with 1 ng/mL cytomix ( versus PBS; Figure 1(b)). PMVEC permeability became maximal at 30 ng/mL of cytomix ( versus PBS; Figure 1(b)).

(a)

(b)
The time course of septic PMVEC hyperpermeability was more rigorously defined following stimulation with 30 ng/mL cytomix. Following cytomix stimulation, TEER was significantly reduced by 2 h and was maximally reduced by 4 h (Figure 2(a)). After 4 h, TEER gradually recovered returning to baseline by 24 h after cytomix stimulation (Figure 2(a)). PMVEC permeability to small (4 kDa dextran) and large (67 kDa albumin) macromolecules was significantly increased at 4 h after cytomix and remained significantly elevated at 24 h after cytomix with no evidence of recovery (Figures 2(b) and 2(c)).

(a)

(b)

(c)
3.2. Time Course of Cytomix-Induced PMVEC Apoptosis
To begin to assess the role of PMVEC apoptosis in the increased PMVEC permeability following stimulation with cytomix, we examined three different molecular features associated with apoptosis over a time course: caspase activation (FLICA+), loss of cell membrane polarity (Annexin V+), and DNA fragmentation (TUNEL+). PMVEC apoptosis, as evidenced by greater FLICA and Annexin V staining, was significantly increased by 8 h after cytomix stimulation ( and versus PBS for FLICA and Annexin V, resp.), which persisted until 24 h after cytomix ( and versus PBS for FLICA and Annexin V, resp.; Figure 3). Similarly, TUNEL staining was significantly increased by 16 h after cytomix stimulation ( versus PBS) and was still evident at 24 h ( versus PBS; Figure 3).

(a)

(b)

(c)

(d)
Caspase activation [FLICA] is considered an early marker of apoptosis whereas DNA fragmentation [TUNEL] is considered a late-stage marker of apoptosis. Examination of PMVEC double stained with FLICA and TUNEL demonstrated that at 16 h afer cytomix, of FLICA+ cells were TUNEL+, and by 24 h after cytomix, the percentage of FLICA+ cells that were also TUNEL+ increased to (Figure 4). Most of the TUNEL+ cells were also FLICA+ at both 16 and 24 h after cytomix (Figure 4).

(a)

(b)
3.3. Effect of Caspase Inhibition on Cytomix-Induced PMVEC Leak and Apoptosis
To determine the contribution of PMVEC apoptosis to cytomix-induced loss of PMVEC barrier function, PMVEC were treated with two broad-spectrum caspase inhibitors, Z-VAD and Q-VD. Treatment with either Z-VAD or Q-VD had no effect on cytomix-induced decreases in PMVEC TEER compared to cytomix alone (Figure 5(a)). Similarly, no significant effects of Z-VAD or Q-VD were observed on cytomix-induced macromolecular flux (dextran and albumin) at 4 h and 8 h after cytomix (Figures 5(b) and 5(c)). Treatment with Z-VAD, however, significantly reduced cytomix-induced dextran flux versus cytomix alone at both 16 and 24 h and significantly reduced cytomix-induced albumin flux versus cytomix alone at 24 h (Figures 5(b) and 5(c)). Furthermore, treatment with Q-VD resulted in a significant reduction in both dextran and albumin flux at 16 and 24 h after cytomix compared to cytomix alone (Figures 5(b) and 5(c)).

(a)

(b)

(c)
Apoptosis is thought to be associated with an increase in detached cells [44]. Assessment of PMVEC detachment following cytomix stimulation revealed a significant reduction in cell attachment following 24 h of cytomix stimulation (Figure 6(a)). Furthermore, cytomix stimulation was also associated with a significant increase in the percentage of detached PMVEC at 16 h and 24 h following cytomix stimulation ( and versus PBS, resp.; Figure 6(b)). Importantly, treatment with Q-VD was found to significantly reduce the percentage of detached PMVEC at both 16 h ( versus PBS) and 24 h ( versus PBS) after cytomix (Figure 6(b)).

(a)

(b)
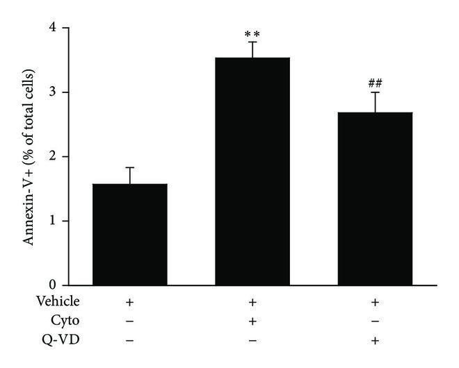
Apoptosis was then examined in Q-VD treated PMVEC to confirm that the observed decreases in cytomix-induced macromolecular flux and PMVEC detachment were due to decreases in apoptotic PMVEC death. As previously observed (Figure 3(c)), the percentage of TUNEL+ cells was significantly increased at 24 h after cytomix ( versus PBS); however, treatment with Q-VD resulted in a significant reduction in the percentage of TUNEL+ PMVEC following cytomix stimulation ( versus PBS; Figure 7(a)). Interestingly, inclusion of detached cells in the assessment of apoptosis resulted in an increase in the percentage of TUNEL+ PMVEC compared with assessment in attached cells alone (% versus resp.; Figure 7(a)). Similar to TUNEL+ PMVEC, the percentage of Annexin V+ PMVEC was significantly increased following cytomix stimulation (versus vehicle control), and treatment with Q-VD was associated with a significant reduction in the percentage of Annexin V+ PMVEC versus cytomix-stimulated PMVEC in the absence of Q-VD (Figure 7(b)).

(a)

(b)
4. Discussion
In the current report, we studied an in vitro model of septic ARDS by isolating, culturing, and studying murine PMVEC in vitro under septic conditions induced by exposure to multiple sepsis-relevant proinflammatory cytokines. Our current work confirms that stimulation of PMVEC with this mixture of 3 clinically relevant cytokines leads to a dose-dependent increase in PMVEC permeability over a biphasic time course, including acute 4–8 h barrier dysfunction characterized by both reduced trans-PMVEC electrical resistance (TEER) and enhanced macromolecular permeability and late-phase 16–24 h persistence of this septic PMVEC macromolecule hyperpermeability despite recovery of TEER to baseline. Septic PMVEC apoptosis was documented using 3 independent and complementary markers and was found to be significant as early as 8 h and persisted at 16–24 h after cytomix stimulation. Early septic PMVEC hyperpermeability was not apoptosis-dependent; however, delayed PMVEC barrier dysfunction was abrogated following effective inhibition of apoptosis using two distinct caspase inhibitors, coincident with markedly inhibited PMVEC apoptosis and PMVEC detachment.
In sepsis, multiple organ dysfunction, including ARDS, is presumed due to systemic inflammatory injury of the microvasculature, especially the MVEC [5–9]. There is evidence for microvascular and MVEC dysfunction and injury in human sepsis. For example, microvascular dysfunction has been documented early in the course of human sepsis [7, 8, 46, 47]. In addition, increased numbers of circulating EC and soluble markers of EC damage (e.g., intercellular adhesion molecule 1, von Willebrand factor [vWF], and vascular endothelial growth factor receptor 1) correlate with more severe sepsis and higher mortality [48–54]. Furthermore, this septic microvascular dysfunction is clinically relevant as the presence of microvascular dysfunction in human sepsis is associated with more severe sepsis, organ dysfunction, and increased mortality [7, 8, 46]. Moreover, clinical outcomes including survival were especially poor if septic microvascular dysfunction persisted over time despite usual clinical management [9].
Specifically, in ARDS, there are similar although more limited data to support pulmonary microvascular and MVEC injury and dysfunction. For example, pulmonary microvascular dysfunction, as reflected by higher measured ventilatory dead space was found to be associated with more severe ARDS and greater mortality [55]. Similarly, the presence of pulmonary vascular disease manifesting as pulmonary hypertension in patients with ARDS is an independent marker of poor prognosis [56]. In addition, elevated soluble plasma levels of several EC-derived proteins suggestive of more severe EC injury, including angiopoetin-2, thrombomodulin, and vWF in ARDS patients, are associated with higher mortality [57–60]. Specifically, for Ang-2, elevated levels are associated with a greater incidence of ARDS in patients at risk [57], and increasing levels over the first few days of infection-associated ARDS are more predictive of higher mortality than baseline levels [58]. Conceptually, pulmonary microvascular injury and dysfunction are thought to be central to indirect causes of ARDS (e.g., sepsis) and are also likely required for the development of ARDS in patients with clinical conditions characterized by direct lung insults (e.g., pneumonia and aspiration).
This septic microvascular and MVEC dysfunction is especially characterized by impaired barrier function, with the septic hyperpermeability resulting in protein-rich tissue edema and PMN influx into organs. Clearly, leak of protein-rich fluid from the pulmonary microvasculature into the interstitial and alveolar spaces is one of the defining pathophysiological features of ARDS [61, 62] and of animal models of sepsis-induced lung injury [11, 12, 22, 23]. Although many studies have advanced our understanding of the mechanisms regulating PMVEC barrier dysfunction in ARDS, many of these reports examined barrier function in either EC from the macrovasculature (e.g., HUVEC and pulmonary artery endothelial cells [PAEC]) or EC from systemic vascular beds (i.e., brain MVEC and corneal EC) [27–29, 33, 63–66]. While these studies provide insight into potential mechanisms, EC from the micro- and macrovasculature have different biological properties [67–71]. Moreover, the responses of EC from different vascular beds to proinflammatory cytokines vary markedly, especially with respect to apoptosis and the association of apoptosis with increased EC permeability (Table 1) [27–29, 33, 63–66]. Thus, given the importance of the pulmonary microvasculature in sepsis-associated ARDS, our current work focuses specifically on the effect of proinflammatory cytokines on PMVEC.
Multiple mechanisms of PMVEC injury in sepsis and in ARDS have been postulated. These include the actions of cytokines and other soluble circulating molecules, mechanical interaction with activated leukocytes and platelets, and paracrine exposure to injurious molecules released by these cells [2, 11, 12, 18, 19]. Ultimately, these exposures contribute to pulmonary microvascular, specifically PMVEC, injury, dysfunction, and possibly death/apoptosis [72]. EC apoptosis and resulting microvascular permeability are commonly accepted to be pathophysiologically associated, although the direct evidence in support of this relationship is limited [22, 23, 72–74]. For example, our previous work found that septic pulmonary microvascular barrier dysfunction in vivo in mice following CLP-sepsis was associated with increased PMVEC apoptosis and, moreover, that inhibition of apoptosis, via treatment of these mice with Q-VD (a synthetic caspase inhibitor), significantly reduced septic pulmonary microvascular permeability [22, 23]. Additional studies have demonstrated that inhibition of apoptosis following CLP-induced sepsis through treatment with siRNA against caspases or FAS-associated death domain (FADD) rescues septic EC dysfunction, including reducing septic hyperpermeability [72–74]. Furthermore, assessment of apoptosis in vivo revealed the presence of apoptotic EC early in the time course of sepsis (4 h) as well as much later (24 h) depending on the vascular bed studied [23, 73, 74].
Despite the in vivo evidence, however, the role of apoptosis in mediating septic impaired MVEC barrier function, and hence, the pulmonary edema characteristic of ARDS, remains unclear. Multiple studies have attempted to address this question utilizing in vitro models of septic conditions in various EC types (Table 1) [27–39]. Overall, these studies demonstrated that EC stimulation with proinflammatory cytokines sometimes led to the induction of apoptosis, depending on dose, timing, and exact combination of cytokines. However, this EC apoptosis was in many cases only defined by a single marker (e.g., TUNEL), which is a serious limitation as all putative markers of apoptosis can also be observed in other nonapoptotic death mechanisms [75, 76]. Moreover, it is now widely accepted that apoptosis must be supported by a panel of multiple complementary assays, including loss of cell membrane polarization, caspase activation, and DNA fragmentation [75, 76]. Thus, the present study provides a comprehensive assessment of apoptotic cell death (3 complementary markers) over a time course clearly identifying the progressive induction of apoptosis beginning at 8 h and increasing to 24 h after cytomix.
The connection between MVEC apoptosis and barrier dysfunction has also not been firmly established and depends on the EC type, stimulation conditions, and time course with many of the studies utilizing macrovascular EC (e.g., HUVEC) and a single time point (Table 1). For example, stimulation of brain MVEC with TNFα and IFNγ for 24 h results in apoptosis that is associated with increased brain MVEC barrier dysfunction [33]. Treatment with a caspase inhibitor (Z-VAD), however, only partially restored barrier function. Additionally, stimulation of macrovascular PAEC with TNFα resulted in apoptosis as early as 4 h after stimulation that persisted at 20 h [29]. While this apoptosis was also associated with increased permeability across the PAEC monolayer, treatment with Z-VAD did not rescue the enhanced permeability at any time point [29]. It should be emphasized that the study of macrovascular EC (e.g., HUVEC and PAEC) is not biologically relevant to the study of septic microvascular/MVEC dysfunction resulting in organ dysfunction (e.g., ARDS), as MVEC are genotypically and phenotypically very distinct from macrovascular EC [67, 68]. Further, to date, there have been no studies specifically using mouse PMVEC to assess the connection between septic MVEC apoptosis and barrier dysfunction (Table 1). This is critical as septic PMVEC dysfunction is pathobiologically responsible for septic acute lung injury in mice, and mice are one of the primary models currently used for ARDS research due to the ease of genetic manipulation [1, 77]. Thus, our examination of mouse PMVEC apoptosis over a time course clearly establishes for the first time that early septic cytomix-induced murine PMVEC barrier dysfunction is not mediated through PMVEC apoptosis.
There are multiple mechanisms through which loss of PMVEC barrier function has been found to occur; thus, it is not surprising that we found increased PMVEC permeability after 4 h of cytomix stimulation with no evidence of apoptosis. For example, TNFα has previously been found to drive loss of corneal EC barrier function through activation of p38 mitogen-activated protein (MAP) kinase and subsequent disassembly of microtubules, as well as adherens and tight junctions [66]. Additionally, examination of barrier function in mouse renal EC following stimulation with TNFα demonstrated that increased permeability to albumin was associated with altered actin cytoskeleton, as well as formation of gaps between previously confluent cells and a loss of tight junctions and the EC glycocalyx [78]. Furthermore, inhibition of Rho-associated kinase and myosin light chain kinase, but not inhibition of caspases, rescued the increased permeability as well as the loss of EC glycocalyx and tight junctions [78]. Thus, our data supports these previous studies demonstrating that early cytokine-induced leak across PMVEC is independent of apoptosis; however, it also expands on these studies by clearly demonstrating that the early apoptosis-independent leak transitions to apoptosis-dependent leak as it persists over time.
Loss of EC through loss of cell-extracellular matrix (ECM) interactions and increased EC detachment has long been thought to be involved in loss of barrier function [79]. The increased apoptosis we observed at 16 and 24 h after cytomix stimulation was found to be clearly associated with increased PMVEC detachment. This finding is supported by previous studies that found increased cell detachment following LPS and oxyhemoglobin stimulation of PAEC and brain MVEC, respectively [27, 64]. Similar to our findings, the increased cell detachment in these previous studies was also rescued by inhibition of caspases [27, 64]. Furthermore, the LPS-induced cell detachment was associated with caspase-dependent cleavage of α- and β-catenin as well as focal adhesion kinase (FAK), critical proteins involved in cell-cell and cell-ECM interactions, respectively. However, the inhibition of caspase activity, which rescued cell detachment, only prevented degradation of proteins involved in cell-ECM interactions, not cell-cell interactions, and unlike our study did not rescue the LPS-induced leak [27]. Together, these studies suggest that the increased cell detachment observed in our study may be due to loss of cell-ECM interactions. However, this remains to be determined. Furthermore, as the rescue of PMVEC detachment observed in our study was also associated with restored PMVEC barrier function, it is possible that additional mechanisms, such as altered cell-cell interactions, are involved.
Our data also demonstrates the importance of the method of assessment of EC barrier function, specifically the importance of using multiple methods to assess EC barrier function, which is not common practice (Table 1). Measurements of TEER versus macromolecular permeability reflect different aspects of EC barrier function and, not surprisingly, could respond differently to inflammatory stimulation. Specifically, the clinically relevant EB-albumin flux is a marker of paracellular and transcellular permeability to large molecules and TEER assesses permeability to charged ions [43]. The acute cytomix-induced PMVEC barrier dysfunction was consistent between TEER and both FITC-dextran and EB-albumin techniques, but persistent septic PMVEC hyperpermeability to macromolecules at later time points was divergent from the observed recovery in TEER. In addition, the acute septic cytokine-induced barrier dysfunction (both decreased TEER and increased macromolecular flux) was not rescued by caspase inhibition (Z-VAD or Q-VD), similar to previously reported studies with PAEC and corneal EC [29, 66]. However, delayed septic hyperpermeability to macromolecules at 16–24 h was rescued by treatment with Z-VAD and Q-VD. Thus, the effect of caspase (apoptosis) inhibition on persistent macromolecular flux across septic PMVEC in the absence of any effect on TEER suggests that barrier function to large molecules was enhanced by caspase inhibition, likely through increased PMVEC attachment, but that PMVEC barrier function was still impaired allowing the passage of small charged ions.
Our findings of persistent septic PMVEC barrier dysfunction at delayed time points are clinically relevant. In ARDS patients, once pulmonary microvascular injury and dysfunction are established, repair of the pulmonary alveolocapillary microvascular EC lining would be necessary and clinically important. Indeed, patients with a greater number of circulating bone-marrow derived endothelial progenitor cells (EPCs), postulated to contribute to PMVEC repopulation following loss of these cells, had better clinical outcomes, including more ventilator-free days and decreased mortality [80]. Similar resident EPC populations have also been identified in the pulmonary microvasculature [81], although their direct involvement in repair of the pulmonary alveolocapillary microvascular EC lining has not been established.
In ARDS, more prolonged clinical illness is associated with a greater need for more intensive and prolonged respiratory support, including mechanical ventilation, higher PEEP levels, and FiO2, which are associated with worse clinical outcomes, specifically greater risk of ventilator-associated pneumonia, higher rates of multisystem organ injury and dysfunction, and greater mortality [82]. As such, ongoing pulmonary microvascular alveolocapillary septic hyperpermeability and persistent high-protein interstitial and alveolar pulmonary edema would contribute to the need for more prolonged respiratory support. Future experiments to define the potential role of human PMVEC apoptosis in septic PMVEC hyperpermeability and septic ARDS, especially the presence of a similar delayed reconstitution of the pulmonary microvascular alveolocapillary permeability barrier, may suggest new therapeutic approaches to promote recovery of patients from ARDS.
Finally, we recognize that our study has limitations. Our previous work found evidence of an association between PMVEC apoptosis and septic pulmonary microvascular permeability in vivo [22, 23]. The findings of our current study, however, suggest that the initial PMVEC barrier dysfunction following stimulation with cytokines is not dependent on apoptosis. This discrepancy is likely due to inherent differences between the natures of these studies. For example, in vivo there are many different cell types, such as pericytes and circulating inflammatory cells, which interact with PMVEC, as well as a complete interstitial ECM and the presence of the glycocalyx on the surface of the PMVEC, all of which are missing or limited in the in vitro setting [83–87]. Furthermore, our in vitro model employed PMVEC cultured alone stimulated with a mixture of three sepsis-relevant cytokines, which is still a less robust septic stimulus than EC would face in vivo (activated leukocytes and bacterial products), as well as the potentially injurious effects of shear stresses associated with blood flow present in the in vivo scenario. However, use of this simplified in vitro isolated PMVEC model as well as the comprehensive assessment of apoptosis (use of three different markers) and PMVEC permeability (use of three complementary measures) allowed for the examination of the function of specifically PMVEC over a comprehensive time course and thereby the identification of the novel potential role of apoptosis-inhibition in reestablishing the PMVEC barrier following septic injury. Future directions of our work will include assessment of apoptosis in more complex models (i.e., PMVEC-PMN coculture) as well as with cells isolated from humans to ensure clinical relevance.
In conclusion, our current data suggests for the first time using mouse cells that early septic PMVEC barrier dysfunction is independent of apoptosis but that persistent septic macromolecule leak is due to loss of adherent cells due to apoptosis, and when apoptosis (specifically caspase activity) is inhibited, PMVEC detachment is decreased, permitting restoration of the normal PMVEC permeability barrier.
Competing Interests
The authors declare that they have no competing interests.
Acknowledgments
The authors would like to thank the members of the Lung Research Group at Western University, especially Drs. Ruud Veldhuizen and Lisa Cameron, for helpful discussions. This work was supported by research funding from the Ontario Thoracic Society (S. Gill), Lawson Health Research Institute Internal Research Fund (S. Gill), the Program of Experimental Medicine (S. Gill and S. Mehta), and the Heart & Stroke Foundation of Ontario/Canada Grant no. G-13-0003039 (S. Mehta).